干旱气象 ›› 2023, Vol. 41 ›› Issue (2): 215-222.DOI: 10.11755/j.issn.1006-7639(2023)-02-0215

• 干旱与粮食安全 • 上一篇    下一篇

干旱胁迫下春玉米叶片光合参数对叶温的响应

齐月1,2(), 张强1,2(), 胡淑娟2, 王润元1, 杨阳1, 雷俊1, 王鹤龄1, 赵鸿1, 褚超3, 靳荣4   

  1. 1.中国气象局兰州干旱气象研究所,甘肃省干旱气候变化与减灾重点实验室,中国气象局干旱气候变化与减灾重点实验室,甘肃 兰州 730020
    2.兰州大学大气科学学院,甘肃 兰州 730000
    3.甘肃省张掖市气象局,甘肃 张掖 734000
    4.甘肃省酒泉市气象局,甘肃 酒泉 735000
  • 收稿日期:2022-09-23 修回日期:2022-11-01 出版日期:2023-04-30 发布日期:2023-05-09
  • 通讯作者: 张强(1965—),男,甘肃靖远人,研究员,主要从事干旱气候变化、陆气相互作用研究。E-mail:zhangqiang@cma.gov.cn
  • 作者简介:齐月(1988—),女,山东章丘人,副研究员,主要从事气候变化对农业影响研究。E-mail:goodqiyue@163.com
  • 基金资助:
    国家自然科学基金项目(42175192);国家自然科学基金项目(42230611);国家自然科学基金项目(41975016);国家自然科学基金项目(42075116);甘肃省青年基金项目(20JR10RA451);甘肃省青年基金项目(20JR10RA450);甘肃省青年基金项目(21JR7RA773);甘肃省青年基金项目(21JR7RA708);酒泉市科技局科技支撑项目(2022CA1007)

Response of photosynthetic parameters to leaf temperature of spring maize under drought stress

QI Yue1,2(), ZHANG Qiang1,2(), HU Shujuan2, WANG Runyuan1, YANG Yang1, LEI Jun1, WANG Heling1, ZHAO Hong1, CHU Chao3, JIN Rong4   

  1. 1. Lanzhou Institute of Arid Meteorology, Chinese Meteorological Administration, Key Laboratory of Arid Climate Change and Reducing Disaster of Gansu Province, Key Laboratory of Arid Climate Change and Disaster Reducing of CMA, Lanzhou 730020, China
    2. College of Atmospheric Sciences, Lanzhou University, Lanzhou 730000, China
    3. Zhangye Meteorological Bureau of Gansu Province, Zhangye 734000, Gansu, China
    4. Jiuquan Meteorological Bureau of Gansu Province, Jiuquan 735000, Gansu, China
  • Received:2022-09-23 Revised:2022-11-01 Online:2023-04-30 Published:2023-05-09

摘要:

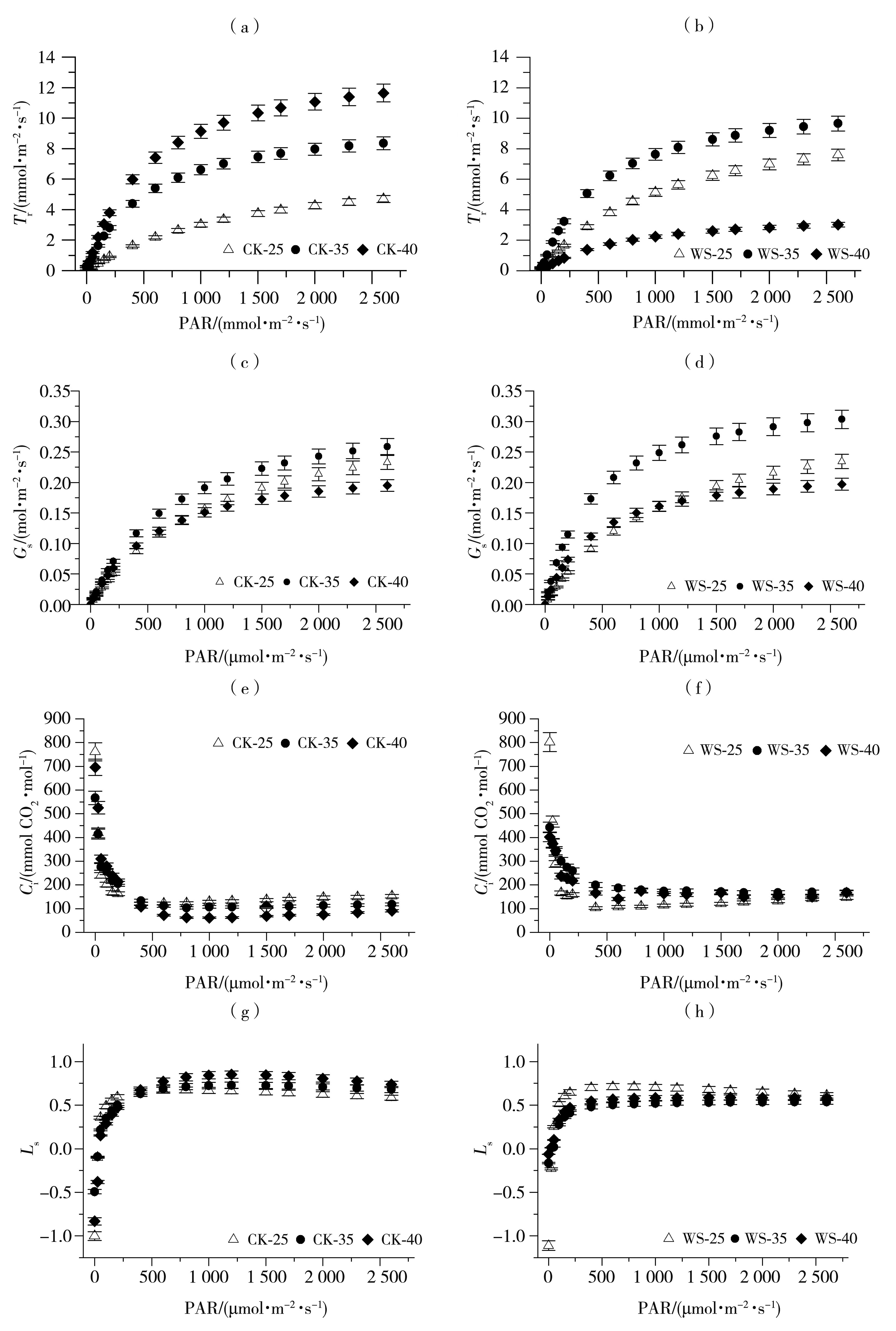
气候变化背景下,为探索黄土高原半干旱区春玉米光合生理过程对土壤水分、温度变化的响应机制,以春玉米为研究对象,于2017年在中国气象局定西干旱气象与生态环境试验基地进行盆栽水分控制试验,在春玉米七叶期设置对照处理(Control,简称“CK处理”,土壤水分为田间持水量的80%)和控水处理(Water Stress,简称“WS处理”,土壤水分为田间持水量的45%~50%)以及3个叶片温度梯度,分别为适宜温度25 ℃、高温35 ℃及极端高温40 ℃(CK处理对应CK-25、CK-35及CK-40;WS处理对应WS-25、WS-35及WS-40),分析春玉米叶片气体交换参数和水分利用效率对土壤水分、温度变化的响应特征。结果表明:在一定的光合有效辐射(Photosynthetically Active Radiation, PAR)范围内,春玉米叶片净光合速率(Net Photosynthetic Rate, Pn)随PAR的增加逐渐增大。水分供给不足时,随着PAR不断增加,WS处理春玉米叶片气孔限制因素向非气孔限制因素转变,光合作用出现明显的光抑制,WS-35处理叶片Pn最大,WS处理叶片Pn在PAR高值区明显小于CK处理,且不同温度梯度下叶片达到光饱和的PAR下降;与CK-40处理相比,WS-40处理春玉米叶片Pn随PAR增大显著减小(P<0.05),光合作用表现出明显的光抑制。水分供给充足时,蒸腾速率(Transpiration Rate, Tr)随温度升高而增大;水分供给不足时,WS-40处理春玉米叶片Tr、气孔限制(Ls)较CK-40处理显著降低(P<0.05),胞间CO2浓度(Ci)显著增加(P<0.05)。WS-40处理春玉米Tr随着PAR的增大而减小,水分利用效率(Water Use Efficiency, WUE)较CK处理高。该研究可为气候变化背景下黄土高原半干旱区春玉米应对极端气候生理特征变化提供参考。

关键词: 春玉米, 干旱胁迫, 光合参数, 叶温, 土壤水分, 半干旱区

Abstract:

In order to explore the response mechanism of photosynthetic physiological process of spring maize to soil water and temperature changes in semi-arid region of the Loess Plateau under the background of climate change, taking spring maize as the research object, the pot water control experiment was carried out in the Dingxi Arid Meteorology and Ecological Environment Experimental Base of China Meteorological Administration in 2017. Control treatment (CK treatment, soil moisture at 80% of field water capacity) and water treatment (WS treatment, soil moisture at 45%-50% of field water capacity) were set at spring maize seven-leaf stage. Three leaf temperature gradients were set, which were optimum temperature 25 ℃, high temperature 35 ℃ and extreme high temperature 40 ℃ (CK treatment corresponds to CK-25, CK-35 and CK-40; WS treatment corresponds to WS-25, WS-35 and WS-40). The response characteristics of leaf gas exchange parameters and water use efficiency to soil moisture and temperature changes at seven-leaf stage of spring maize were analyzed. The results show that within a certain range of photosynthetically active radiation (PAR), the net photosynthetic rate (Pn) of leaves gradually increased with the increase of PAR. When water supply was insufficient, with the increasing of PAR, stomatal limiting factors of spring maize leaves under WS treatment transferred to non-stomatal limiting factors, and photosynthesis is inhibited obviously. The Pn of spring maize leaves under WS-35 treatment was the highest, and Pn of maize leaves under WS treatment was significantly lower than that under CK treatment in the PAR high value area. The PAR at light saturation point decreased under different temperature gradients. Compared with CK-40 treatment, the Pn of spring maize leaf under WS-40 treatment decreased significantly with the increase of PAR (P<0.05), and photoinhibition was obvious. When the water supply was sufficient, the transpiration rate (Tr) increased with temperature increasing. When the water supply was insufficient, compared with CK-40 treatment, the Tr and stomatal limitation (Ls) of spring maize leaf decreased significantly (P<0.05), while intercellular CO2 concentration (Ci) increased significantly (P<0.05) under WS-40 treatment. With the increase of PAR, Tr decreased and water use efficiency (WUE) of spring maize treated by WS-40 was higher than that CK treatment. This study can provide reference for the physiological characteristics of spring maize in semi-arid region of the Loess Plateau under the background of climate change.

Key words: spring maize, drought stress, photosynthetic parameters, leaf temperature, soil moisture, semi-arid region

中图分类号: