Journal of Arid Meteorology ›› 2026, Vol. 44 ›› Issue (1): 15-27.DOI: 10.11755/j.issn.1006-7639-2026-01-0015

• Column on "Regional Drought" • Previous Articles     Next Articles

Assessment of applicability of a refined drought index based on ERA5 precipitation data for the middle and upper reaches of the Yellow River

YIN Zhe1(), YAN Pengcheng1,2, ZUO Dongdong3, LI Shuping1()   

  1. 1. College of Hydraulic Science and Engineering,Yangzhou University,Yangzhou 225009,Jiangsu,China
    2. Institute of Arid Meteorology,China Meteorological Administration,Lanzhou 730020,China
    3. School of Mathematics and Physics,Yancheng Institute of Technology,Yancheng 224000,Jiangsu,China
  • Received:2025-09-22 Revised:2026-01-04 Online:2026-02-28 Published:2026-03-25

基于ERA5降水数据的精细化干旱指数在黄河中上游地区的适用性评估

尹喆1(), 颜鹏程1,2, 左冬冬3, 李淑萍1()   

  1. 1.扬州大学水利科学与工程学院,江苏 扬州 225009
    2.中国气象局兰州干旱气象研究所,甘肃 兰州 730020
    3.盐城工学院数理学院,江苏 盐城 224000
  • 通讯作者: 李淑萍
  • 作者简介:尹喆(2002—),男,江苏扬州人,硕士生,主要从事区域气候模拟与极端事件研究。E-mail: mz120251140@stu.yzu.edu.cn
  • 基金资助:
    气象能力提升联合研究专项重点项目(22NLTSZ003);干旱气象科学研究基金项目(IAM202511);干旱气象科学研究基金项目(IAM202409);中央引导地方科技发展资金项目(24ZYQA031);国家自然科学基金项目(42305065);甘肃省自然科学基金项目(22JR5RA748)

Abstract:

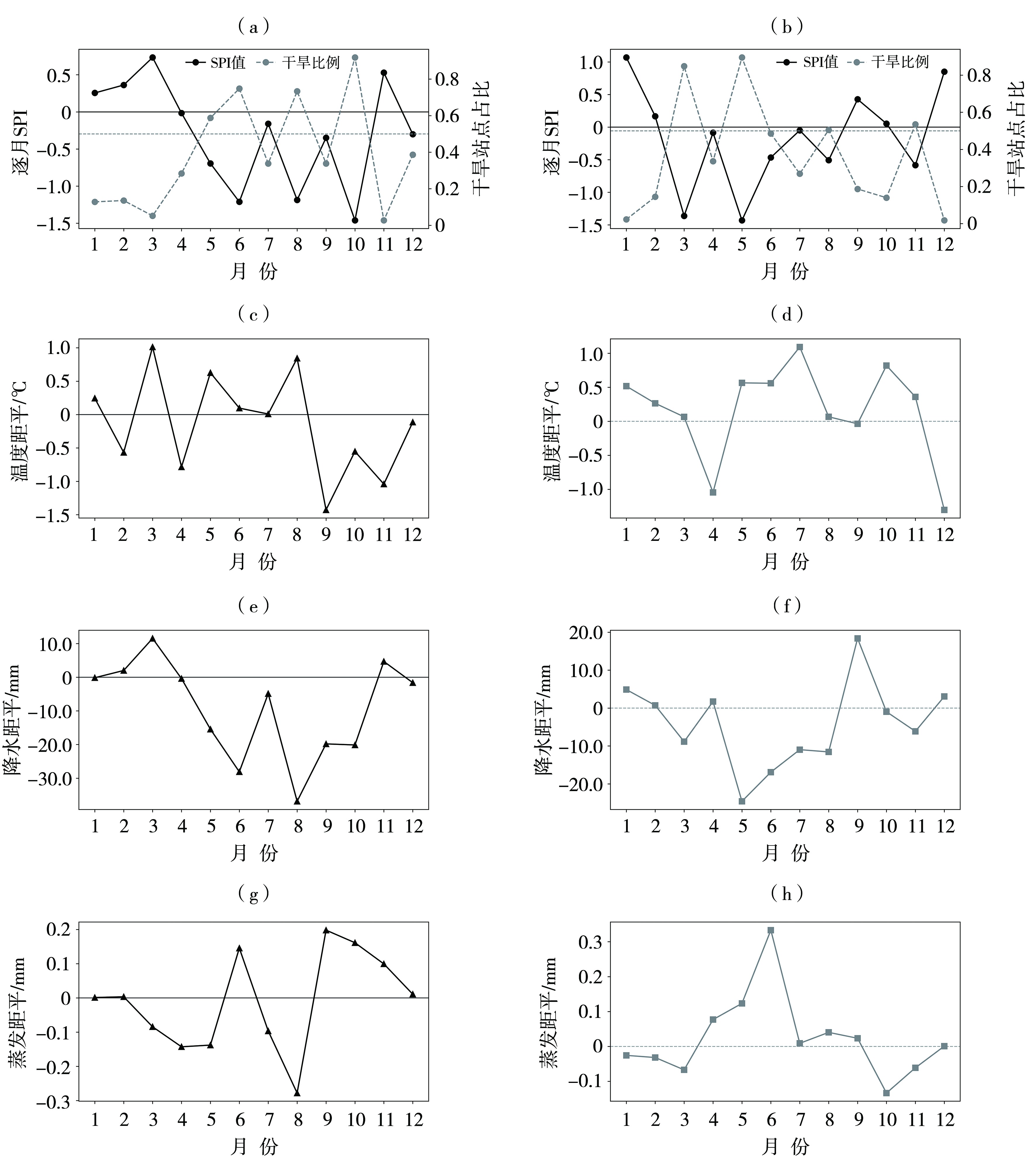
Conventional standardized precipitation index (SPI) datasets generally suffer from low temporal resolution, which limits their capability to support fine-scale monitoring of drought evolution. To address this issue, this study constructs a daily SPI dataset for China based on ERA5 reanalysis precipitation data (SPID-ERA5). Taking the middle and upper reaches of the Yellow River as the study area, two typical drought years, 1997 and 2001, are selected, and the applicability of SPID-ERA5 is evaluated using station-based monthly SPI and the daily meteorological composite index (MCI). The results show that SPID-ERA5 can clearly depict the onset, development, expansion, and weakening processes of drought, and can reasonably reflect the spatial extent and intensity variations of drought, while the daily MCI places more emphasis on the cumulative effects of moisture deficits and shows a relatively lagged response to drought evolution. The sign consistency rate and correlation coefficients between daily MCI and SPID-ERA5 are generally high, with broadly consistent variation trends, and MCI fully considers the contribution of antecedent precipitation, exhibiting evident cumulative characteristics. SPID-ERA5 can continuously capture fluctuations in drought intensity and process transitions, whereas station-based monthly SPI is constrained by temporal resolution and is insufficient to represent short-term drought variations. The high spatiotemporal resolution SPID-ERA5 provides a new approach to compensate for the deficiencies of traditional drought datasets and has promising application value in drought monitoring, risk assessment, and early warning services.

Key words: the middle and upper reaches of the Yellow River, drought, SPI, data validation

摘要:

传统标准化降水指数(Standardized Precipitation Index,SPI)数据集时间分辨率较低,难以满足干旱过程演变特征的精细化监测需求。本文基于欧洲中期天气预报中心ERA5再分析降水数据构建中国区域逐日SPI数据集(SPID-ERA5),并以黄河中上游为研究区,选取1997年和2001年两个典型干旱年,结合站点逐月SPI及逐日气象综合干旱指数(Meteorological Composite Index,MCI)对SPID-ERA5的适用性进行评估。结果表明,SPID-ERA5能够清晰刻画干旱的发生、发展、扩张和减弱过程,较好反映干旱的空间范围与强度变化;逐日MCI更侧重水分亏缺的累积效应,对干旱演变的响应相对迟缓。逐日MCI与SPID-ERA5的符号一致率和相关系数整体较高、变化趋势基本一致,且MCI在表征干旱时充分考虑前期降水贡献,体现出较强的累积特征;SPID-ERA5能够连续刻画干旱强度的波动与过程转折,而站点逐月SPI受时间分辨率限制,难以反映干旱的短期变化。高时空分辨率SPID-ERA5为弥补传统干旱数据的不足提供了新途径,在干旱监测、风险评估和预警服务中具有较高的应用价值。

关键词: 黄河中上游, 干旱, SPI, 数据验证

CLC Number: