Journal of Arid Meteorology ›› 2024, Vol. 42 ›› Issue (5): 744-754.DOI: 10.11755/j.issn.1006-7639-2024-05-0744
• Articles • Previous Articles Next Articles
YANG Jingkun1(
), LI Xiehui1,2(
), LEI Qinya1, GONG Guangze1
Received:2024-03-21
Revised:2024-08-05
Online:2024-10-31
Published:2024-11-17
通讯作者:
李谢辉(1977—),女,新疆石河子人,博士,副教授,主要从事区域气候与环境变化研究。E-mail: 作者简介:杨静坤(2001—),女,四川西昌人,硕士研究生,主要从事城市极端气候事件变化研究。E-mail: 462488104@qq.com。
基金资助:CLC Number:
YANG Jingkun, LI Xiehui, LEI Qinya, GONG Guangze. Correlation impact of extreme temperature events and urbanization development in Sichuan Province[J]. Journal of Arid Meteorology, 2024, 42(5): 744-754.
杨静坤, 李谢辉, 雷沁雅, 龚光泽. 四川省极端气温事件与城镇化发展的关联影响[J]. 干旱气象, 2024, 42(5): 744-754.
Add to citation manager EndNote|Ris|BibTeX
URL: http://www.ghqx.org.cn/EN/10.11755/j.issn.1006-7639-2024-05-0744
| 分类 | 代码 | 指数名称 | 定义 | 单位 |
|---|---|---|---|---|
| 极值指数 | TXx | 月最高气温极大值 | 每月中日最高气温的最大值 | ℃ |
| TNx | 月最低气温极大值 | 每月中日最低气温的最大值 | ℃ | |
| TXn | 月最高气温极小值 | 每月中日最高气温的最小值 | ℃ | |
| TNn | 月最低气温极小值 | 每月中日最低气温的最小值 | ℃ | |
| 绝对指数 | FD0 | 霜冻日数 | 一年中日最低气温<0 ℃的日数 | d |
| SU25 | 夏季日数 | 一年中日最高气温>25 ℃的日数 | d | |
| ID0 | 冰封日数 | 一年中日最高气温<0 ℃的日数 | d | |
| TR20 | 热夜指数 | 一年中日最低气温>20 ℃的日数 | d | |
| 相对指数 | TN10P | 冷夜日数 | 日最低气温<10 %分位值的日数 | d |
| TX10P | 冷昼日数 | 日最高气温<10 %分位值的日数 | d | |
| TN90P | 暖夜日数 | 日最低气温>90 %分位值的日数 | d | |
| TX90P | 暖昼日数 | 日最高气温>90 %分位值的日数 | d | |
| 其他指数 | WSDI | 热日持续指数 | 每年至少连续6 d日最高气温>90 %分位值的日数 | d |
| CSDI | 冷日持续指数 | 每年至少连续6 d日最高气温<10 %分位值的日数 | d | |
| DTR | 月平均日较差 | 日最高气温与日最低气温之差的月平均值 | ℃ | |
| GSL | 作物生长期 | 首次出现连续6 d的日平均气温>5 ℃与7月后首次出现 连续6 d的日平均气温<5 ℃之间的日数 | d |
Tab.1 Overview of 16 extreme temperature indices
| 分类 | 代码 | 指数名称 | 定义 | 单位 |
|---|---|---|---|---|
| 极值指数 | TXx | 月最高气温极大值 | 每月中日最高气温的最大值 | ℃ |
| TNx | 月最低气温极大值 | 每月中日最低气温的最大值 | ℃ | |
| TXn | 月最高气温极小值 | 每月中日最高气温的最小值 | ℃ | |
| TNn | 月最低气温极小值 | 每月中日最低气温的最小值 | ℃ | |
| 绝对指数 | FD0 | 霜冻日数 | 一年中日最低气温<0 ℃的日数 | d |
| SU25 | 夏季日数 | 一年中日最高气温>25 ℃的日数 | d | |
| ID0 | 冰封日数 | 一年中日最高气温<0 ℃的日数 | d | |
| TR20 | 热夜指数 | 一年中日最低气温>20 ℃的日数 | d | |
| 相对指数 | TN10P | 冷夜日数 | 日最低气温<10 %分位值的日数 | d |
| TX10P | 冷昼日数 | 日最高气温<10 %分位值的日数 | d | |
| TN90P | 暖夜日数 | 日最低气温>90 %分位值的日数 | d | |
| TX90P | 暖昼日数 | 日最高气温>90 %分位值的日数 | d | |
| 其他指数 | WSDI | 热日持续指数 | 每年至少连续6 d日最高气温>90 %分位值的日数 | d |
| CSDI | 冷日持续指数 | 每年至少连续6 d日最高气温<10 %分位值的日数 | d | |
| DTR | 月平均日较差 | 日最高气温与日最低气温之差的月平均值 | ℃ | |
| GSL | 作物生长期 | 首次出现连续6 d的日平均气温>5 ℃与7月后首次出现 连续6 d的日平均气温<5 ℃之间的日数 | d |
| 类别 | 名称 | 气象站点 |
|---|---|---|
| Class 1 | 乡村站点 | 石渠、若尔盖、红原、松潘、理塘、雷波、叙永 |
| Class 2 | 城郊站点 | 德格、甘孜、色达、小金、都江堰、康定、木里、盐源、广元、万源 |
| Class 3 | 城市站点 | 道孚、马尔康、温江、巴塘、新龙、稻城、峨眉山、乐山、九龙、 |
| 越西、昭觉、宜宾、西昌、会理、阆中、高坪、遂宁、达县、巴中 |
Tab.2 Meteorological station classification results
| 类别 | 名称 | 气象站点 |
|---|---|---|
| Class 1 | 乡村站点 | 石渠、若尔盖、红原、松潘、理塘、雷波、叙永 |
| Class 2 | 城郊站点 | 德格、甘孜、色达、小金、都江堰、康定、木里、盐源、广元、万源 |
| Class 3 | 城市站点 | 道孚、马尔康、温江、巴塘、新龙、稻城、峨眉山、乐山、九龙、 |
| 越西、昭觉、宜宾、西昌、会理、阆中、高坪、遂宁、达县、巴中 |
| 分类 | 指数 | 变化率 | 分类 | 指数 | 变化率 |
|---|---|---|---|---|---|
| 极值指数 | TXx | 0.46 ℃·(10 a)-1*** | 相对指数 | TN10P | -2.40 d·(10 a)-1*** |
| TNx | 0.29 ℃·(10 a)-1*** | TX10P | -1.81 d·(10 a)-1*** | ||
| TXn | 0.28 ℃·(10 a)-1** | TN90P | 2.52 d·(10 a)-1*** | ||
| TNn | 0.14 ℃·(10 a)-1*** | TX90P | 2.64 d·(10 a)-1*** | ||
| 绝对指数 | FD0 | -5.32 d·(10 a)-1*** | 其他指数 | WSDI | 0*** |
| SU25 | 10.56 d·(10 a)-1*** | CSDI | 0 | ||
| ID0 | 0** | DTR | 0.24 ℃·(10 a)-1*** | ||
| TR20 | 0*** | GSL | 6.10 d·(10 a)-1*** |
Tab.3 Interdecadal variation rate of 16 extreme temperature indices in Sichuan Province during 1980-2020
| 分类 | 指数 | 变化率 | 分类 | 指数 | 变化率 |
|---|---|---|---|---|---|
| 极值指数 | TXx | 0.46 ℃·(10 a)-1*** | 相对指数 | TN10P | -2.40 d·(10 a)-1*** |
| TNx | 0.29 ℃·(10 a)-1*** | TX10P | -1.81 d·(10 a)-1*** | ||
| TXn | 0.28 ℃·(10 a)-1** | TN90P | 2.52 d·(10 a)-1*** | ||
| TNn | 0.14 ℃·(10 a)-1*** | TX90P | 2.64 d·(10 a)-1*** | ||
| 绝对指数 | FD0 | -5.32 d·(10 a)-1*** | 其他指数 | WSDI | 0*** |
| SU25 | 10.56 d·(10 a)-1*** | CSDI | 0 | ||
| ID0 | 0** | DTR | 0.24 ℃·(10 a)-1*** | ||
| TR20 | 0*** | GSL | 6.10 d·(10 a)-1*** |
| 分类 | 指数 | 乡村 | 城郊 | 城市 | Ω21 | Ω31 | CRUIΩ21/% | CRUIΩ31/% | |||
|---|---|---|---|---|---|---|---|---|---|---|---|
| δ1 | 趋势线方程 | δ2 | 趋势线方程 | δ3 | 趋势线方程 | ||||||
| 极值 指数 | TXx | 0.41*** | y=0.041x+23.5 | 0.47** | y=0.047x+27.36 | 0.62*** | y=0.062x+33.27 | 0.06 | 0.21 | 11.98 | 33.55 |
| TNx | 0.43*** | y=0.043x+10.44 | 0.30*** | y=0.03x+17.04 | 0.25*** | y=0.025x+20.64 | -0.13 | -0.18 | 42.86 | 74.44 | |
| TXn | 0.62*** | y=0.062x-4.87 | 0.25* | y=0.025x+1.61 | 0.24 | y=0.024x+3.46 | -0.37 | -0.38 | 100.00 | 100.00 | |
| TNn | 1.00*** | y=0.1x-21.7 | -0.13 | y=-0.013x-6.59 | 0.13 | y=0.013x-3.33 | -1.13 | -0.87 | 100.00 | 100.00 | |
| 绝对 指数 | FD0 | -6.82*** | y=-0.69x+212.77 | -3.75** | y=-0.38x+77.88 | -5.00*** | y=-0.5x+32.5 | 3.07 | 1.82 | 81.82 | 36.36 |
| SU25 | 0*** | 12.44*** | y=1.24x+29.86 | 7.60*** | y=0.76x+108.84 | 12.44 | 7.60 | 100.00 | 100.00 | ||
| ID0 | -2.50*** | y=-0.25x+13 | 2.50 | 2.50 | 100.00 | 100.00 | |||||
| TR20 | 0.73 | y=0.073x+3.13 | -0.73 | -0.73 | 100.00 | 100.00 | |||||
| 相对 指数 | TN10P | -2.96*** | y=-0.3x+15.52 | -2.50*** | y=-0.25x+14.61 | -2.04*** | y=-0.20x+13.77 | 0.46 | 0.91 | 18.38 | 44.59 |
| TX10P | -2.17*** | y=-0.22x+13.45 | -2.07*** | y=-0.21x+14.13 | -1.75*** | y=-0.17x+13.42 | 0.10 | 0.42 | 4.84 | 24.11 | |
| TN90P | 3.28*** | y=0.33x+3.33 | 3.38*** | y=0.34x+2.73 | 2.17*** | y=0.22x+5.076 | 0.10 | -1.10 | 3.01 | 50.79 | |
| TX90P | 2.46*** | y=0.25x+4.68 | 2.35*** | y=0.24x+4.55 | 2.85*** | y=0.28x+3.51 | -0.10 | 0.39 | 4.45 | 13.61 | |
| 其他 指数 | WSDI | 0*** | 0*** | 0*** | 0 | 0 | 0 | 0 | |||
| CSDI | 0 | 0** | 0 | 0 | 0 | 0 | 0 | ||||
| DTR | -0.16** | y=-0.016x+14.15 | 0.20*** | y=0.02x+11.6 | 0.30*** | y=0.03x+9.82 | 0.36 | 0.46 | 100.00 | 100.00 | |
| GSL | 8.42*** | y=0.84x+170.32 | 3.20* | y=0.32x+316.08 | 0.91 | y=0.09x+350.55 | -5.22 | -7.51 | 100.00 | 100.00 | |
Tab.4 The Sen’s slope estimation change rates of extreme temperature indices, urbanization impact, and contribution rate of three types of weather stations in Sichuan Province during 1980-2020
| 分类 | 指数 | 乡村 | 城郊 | 城市 | Ω21 | Ω31 | CRUIΩ21/% | CRUIΩ31/% | |||
|---|---|---|---|---|---|---|---|---|---|---|---|
| δ1 | 趋势线方程 | δ2 | 趋势线方程 | δ3 | 趋势线方程 | ||||||
| 极值 指数 | TXx | 0.41*** | y=0.041x+23.5 | 0.47** | y=0.047x+27.36 | 0.62*** | y=0.062x+33.27 | 0.06 | 0.21 | 11.98 | 33.55 |
| TNx | 0.43*** | y=0.043x+10.44 | 0.30*** | y=0.03x+17.04 | 0.25*** | y=0.025x+20.64 | -0.13 | -0.18 | 42.86 | 74.44 | |
| TXn | 0.62*** | y=0.062x-4.87 | 0.25* | y=0.025x+1.61 | 0.24 | y=0.024x+3.46 | -0.37 | -0.38 | 100.00 | 100.00 | |
| TNn | 1.00*** | y=0.1x-21.7 | -0.13 | y=-0.013x-6.59 | 0.13 | y=0.013x-3.33 | -1.13 | -0.87 | 100.00 | 100.00 | |
| 绝对 指数 | FD0 | -6.82*** | y=-0.69x+212.77 | -3.75** | y=-0.38x+77.88 | -5.00*** | y=-0.5x+32.5 | 3.07 | 1.82 | 81.82 | 36.36 |
| SU25 | 0*** | 12.44*** | y=1.24x+29.86 | 7.60*** | y=0.76x+108.84 | 12.44 | 7.60 | 100.00 | 100.00 | ||
| ID0 | -2.50*** | y=-0.25x+13 | 2.50 | 2.50 | 100.00 | 100.00 | |||||
| TR20 | 0.73 | y=0.073x+3.13 | -0.73 | -0.73 | 100.00 | 100.00 | |||||
| 相对 指数 | TN10P | -2.96*** | y=-0.3x+15.52 | -2.50*** | y=-0.25x+14.61 | -2.04*** | y=-0.20x+13.77 | 0.46 | 0.91 | 18.38 | 44.59 |
| TX10P | -2.17*** | y=-0.22x+13.45 | -2.07*** | y=-0.21x+14.13 | -1.75*** | y=-0.17x+13.42 | 0.10 | 0.42 | 4.84 | 24.11 | |
| TN90P | 3.28*** | y=0.33x+3.33 | 3.38*** | y=0.34x+2.73 | 2.17*** | y=0.22x+5.076 | 0.10 | -1.10 | 3.01 | 50.79 | |
| TX90P | 2.46*** | y=0.25x+4.68 | 2.35*** | y=0.24x+4.55 | 2.85*** | y=0.28x+3.51 | -0.10 | 0.39 | 4.45 | 13.61 | |
| 其他 指数 | WSDI | 0*** | 0*** | 0*** | 0 | 0 | 0 | 0 | |||
| CSDI | 0 | 0** | 0 | 0 | 0 | 0 | 0 | ||||
| DTR | -0.16** | y=-0.016x+14.15 | 0.20*** | y=0.02x+11.6 | 0.30*** | y=0.03x+9.82 | 0.36 | 0.46 | 100.00 | 100.00 | |
| GSL | 8.42*** | y=0.84x+170.32 | 3.20* | y=0.32x+316.08 | 0.91 | y=0.09x+350.55 | -5.22 | -7.51 | 100.00 | 100.00 | |
| 极值指数 | ||||||||||||
| 时段 | TXx变化趋势/[℃·(10 a)-1] | TNx变化趋势/[℃·(10 a)-1] | TXn变化趋势/[℃·(10 a)-1] | TNn变化趋势/[℃·(10 a)-1] | ||||||||
| 区域平均 | δ3-δ1 | δ2-δ1 | 区域平均 | δ3-δ1 | δ2-δ1 | 区域平均 | δ3-δ1 | δ2-δ1 | 区域平均 | δ3-δ1 | δ2-δ1 | |
| 1980—2010 | 0.35** | 0.06 | 0 | 0.13 | -0.28 | 0.05 | 2.74** | -0.52 | -0.42 | 0.43* | -0.95** | -0.98 |
| 1980—2015 | 0.53*** | 0.33 | 0.17 | 0.29** | -0.26 | -0.03*** | 0.28 | -0.35 | -0.37 | 0.18 | -0.89 | -1.07 |
| 1980—2020 | 0.46*** | 0.21*** | 0.06** | 0.29*** | -0.19*** | -0.13*** | 0.28** | -0.38 | -0.37 | 0.14*** | -0.87 | -1.13 |
| 绝对指数 | ||||||||||||
| 时段 | FD0变化趋势/[d·(10 a)-1] | SU25变化趋势/[d·(10 a)-1] | ID0变化趋势/[d·(10 a)-1] | TR20变化趋势/[d·(10 a)-1] | ||||||||
| 区域平均 | δ3-δ1 | δ2-δ1 | 区域平均 | δ3-δ1 | δ2-δ1 | 区域平均 | δ3-δ1 | δ2-δ1 | 区域平均 | δ3-δ1 | δ2-δ1 | |
| 1980—2010 | -8.57*** | 3.21*** | -2.5*** | 15.00*** | 7.5*** | 13.82*** | 0** | 4.00 | 4.00 | 0 | -0.67 | 0 |
| 1980—2015 | -6.39*** | 1.33*** | -1.22*** | 13.33*** | 8.52** | 13.33** | 0** | 3.00 | 3.00 | 0* | 0.36 | 0 |
| 1980—2020 | -5.32*** | 1.81 | 3.07 | 10.56*** | 7.60 | 12.44 | 0** | 2.50 | 2.50 | 0*** | 0.41 | 0 |
| 相对指数 | ||||||||||||
| 时段 | TN10P变化趋势/[d·(10 a)-1] | TX10P变化趋势/[d·(10 a)-1] | TN90P变化趋势/[d·(10 a)-1] | TX90P变化趋势/[d·(10 a)-1] | ||||||||
| 区域平均 | δ3-δ1 | δ2-δ1 | 区域平均 | δ3-δ1 | δ2-δ1 | 区域平均 | δ3-δ1 | δ2-δ1 | 区域平均 | δ3-δ1 | δ2-δ1 | |
| 1980—2010 | -2.67*** | 1.11*** | 0.21*** | -1.97*** | 0.77*** | 0.14*** | 2.29*** | -1.13*** | 0.36*** | 2.74*** | -0.09*** | -0.26*** |
| 1980—2015 | -2.49*** | 1.08*** | 0.45*** | -1.84*** | 0.55*** | 0.11*** | 2.16*** | -1.11*** | -0.38*** | 2.82*** | 0.11*** | -0.27*** |
| 1980—2020 | -2.40*** | 0.91*** | 0.46*** | -1.81*** | 0.42*** | 0.10*** | 2.52*** | -1.10*** | 0.10*** | 2.64*** | 0.39*** | -0.10*** |
| 其他指数 | ||||||||||||
| 时段 | WSDI变化趋势/[d·(10 a)-1] | CSDI变化趋势/[d·(10 a)-1] | DTR变化趋势/[℃·(10 a)-1] | GSL变化趋势/[d·(10 a)-1] | ||||||||
| 区域平均 | δ3-δ1 | δ2-δ1 | 区域平均 | δ3-δ1 | δ2-δ1 | 区域平均 | δ3-δ1 | δ2-δ1 | 区域平均 | δ3-δ1 | δ2-δ1 | |
| 1980—2010 | 0** | 0 | 0 | 0 | 0 | 0 | 0.15* | 0.22 | 0.04 | 11.25*** | -7.06*** | -1.88*** |
| 1980—2015 | 0*** | 0 | 0 | 0 | 0 | 0 | 0.27*** | 0.34 | 0.19 | 6.59*** | -5.97 | -1.29** |
| 1980—2020 | 0*** | 0*** | 0*** | 0 | 0 | 0 | 0.24*** | 0.46** | 0.36** | 6.10*** | -7.51 | -5.22 |
Tab.5 Change trends of annual average extreme temperature indices and the variation differences of extreme temperature indices among three types of weather stations in Sichuan Province
| 极值指数 | ||||||||||||
| 时段 | TXx变化趋势/[℃·(10 a)-1] | TNx变化趋势/[℃·(10 a)-1] | TXn变化趋势/[℃·(10 a)-1] | TNn变化趋势/[℃·(10 a)-1] | ||||||||
| 区域平均 | δ3-δ1 | δ2-δ1 | 区域平均 | δ3-δ1 | δ2-δ1 | 区域平均 | δ3-δ1 | δ2-δ1 | 区域平均 | δ3-δ1 | δ2-δ1 | |
| 1980—2010 | 0.35** | 0.06 | 0 | 0.13 | -0.28 | 0.05 | 2.74** | -0.52 | -0.42 | 0.43* | -0.95** | -0.98 |
| 1980—2015 | 0.53*** | 0.33 | 0.17 | 0.29** | -0.26 | -0.03*** | 0.28 | -0.35 | -0.37 | 0.18 | -0.89 | -1.07 |
| 1980—2020 | 0.46*** | 0.21*** | 0.06** | 0.29*** | -0.19*** | -0.13*** | 0.28** | -0.38 | -0.37 | 0.14*** | -0.87 | -1.13 |
| 绝对指数 | ||||||||||||
| 时段 | FD0变化趋势/[d·(10 a)-1] | SU25变化趋势/[d·(10 a)-1] | ID0变化趋势/[d·(10 a)-1] | TR20变化趋势/[d·(10 a)-1] | ||||||||
| 区域平均 | δ3-δ1 | δ2-δ1 | 区域平均 | δ3-δ1 | δ2-δ1 | 区域平均 | δ3-δ1 | δ2-δ1 | 区域平均 | δ3-δ1 | δ2-δ1 | |
| 1980—2010 | -8.57*** | 3.21*** | -2.5*** | 15.00*** | 7.5*** | 13.82*** | 0** | 4.00 | 4.00 | 0 | -0.67 | 0 |
| 1980—2015 | -6.39*** | 1.33*** | -1.22*** | 13.33*** | 8.52** | 13.33** | 0** | 3.00 | 3.00 | 0* | 0.36 | 0 |
| 1980—2020 | -5.32*** | 1.81 | 3.07 | 10.56*** | 7.60 | 12.44 | 0** | 2.50 | 2.50 | 0*** | 0.41 | 0 |
| 相对指数 | ||||||||||||
| 时段 | TN10P变化趋势/[d·(10 a)-1] | TX10P变化趋势/[d·(10 a)-1] | TN90P变化趋势/[d·(10 a)-1] | TX90P变化趋势/[d·(10 a)-1] | ||||||||
| 区域平均 | δ3-δ1 | δ2-δ1 | 区域平均 | δ3-δ1 | δ2-δ1 | 区域平均 | δ3-δ1 | δ2-δ1 | 区域平均 | δ3-δ1 | δ2-δ1 | |
| 1980—2010 | -2.67*** | 1.11*** | 0.21*** | -1.97*** | 0.77*** | 0.14*** | 2.29*** | -1.13*** | 0.36*** | 2.74*** | -0.09*** | -0.26*** |
| 1980—2015 | -2.49*** | 1.08*** | 0.45*** | -1.84*** | 0.55*** | 0.11*** | 2.16*** | -1.11*** | -0.38*** | 2.82*** | 0.11*** | -0.27*** |
| 1980—2020 | -2.40*** | 0.91*** | 0.46*** | -1.81*** | 0.42*** | 0.10*** | 2.52*** | -1.10*** | 0.10*** | 2.64*** | 0.39*** | -0.10*** |
| 其他指数 | ||||||||||||
| 时段 | WSDI变化趋势/[d·(10 a)-1] | CSDI变化趋势/[d·(10 a)-1] | DTR变化趋势/[℃·(10 a)-1] | GSL变化趋势/[d·(10 a)-1] | ||||||||
| 区域平均 | δ3-δ1 | δ2-δ1 | 区域平均 | δ3-δ1 | δ2-δ1 | 区域平均 | δ3-δ1 | δ2-δ1 | 区域平均 | δ3-δ1 | δ2-δ1 | |
| 1980—2010 | 0** | 0 | 0 | 0 | 0 | 0 | 0.15* | 0.22 | 0.04 | 11.25*** | -7.06*** | -1.88*** |
| 1980—2015 | 0*** | 0 | 0 | 0 | 0 | 0 | 0.27*** | 0.34 | 0.19 | 6.59*** | -5.97 | -1.29** |
| 1980—2020 | 0*** | 0*** | 0*** | 0 | 0 | 0 | 0.24*** | 0.46** | 0.36** | 6.10*** | -7.51 | -5.22 |
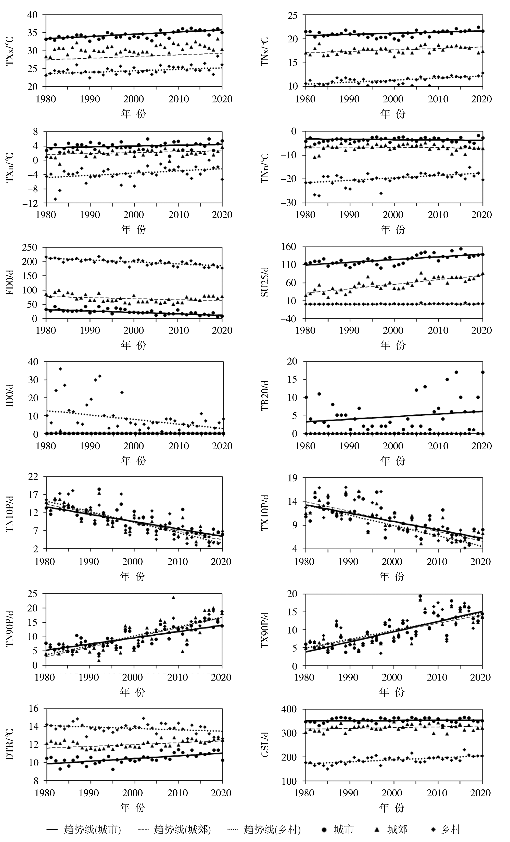
Fig.4 Spline interpolation smoothing curve of annual average extreme temperature indices of Sichuan Province during 1980-2010, 1980-2015 and 1980-2020
| [1] | 敖雪, 崔妍, 翟晴飞, 等, 2020. 辽宁省气温变化趋势中的城市化影响研究[J]. 冰川冻土, 42(3): 1 067-1 076. |
| [2] |
蔡怡亨, 李帅, 张强, 等, 2023. 1997—2021年四川省干旱时空变化特征分析[J]. 干旱气象, 41(2): 241-250.
DOI |
| [3] | 高丹阳, 游如玥, 朱虹, 等, 2021. 基于RClimDex模型的四川省极端降水时空变化特征分析[J]. 水电能源科学, 39(8): 10-13. |
| [4] | 郭蕾, 李谢辉, 刘雨亭, 2023. 城市化对川渝地区极端气候事件的影响[J]. 应用气象学报, 34(5): 574-585. |
| [5] | 黄鹤楼, 丁烨毅, 姚日升, 等, 2020. 宁波城市化进程对夏季极端气温和高温热浪的影响[J]. 气象与环境科学, 43(2): 56-62. |
| [6] |
黄蓉, 龚年祖, 刘华玮, 等, 2017. 南京城市化对极端气温的影响[J]. 中国农学通报, 33(21): 118-125.
DOI |
| [7] |
贾艳青, 张勃, 张耀宗, 等, 2017. 城市化对长三角地区极端气温影响的时空分异研究[J]. 自然资源学报, 32(5): 814-828.
DOI |
| [8] |
焦毅蒙, 赵娜, 岳天祥, 等, 2020. 城市化对北京市极端气候的影响研究[J]. 地理研究, 39(2): 461-472.
DOI |
| [9] |
罗鑫玥, 陈明星, 2019. 城镇化对气候变化影响的研究进展[J]. 地球科学进展, 34(9): 984-997.
DOI |
| [10] |
任国玉, 张雷, 卞韬, 等, 2015. 城市化对石家庄站日气温变化的影响[J]. 地球物理学报, 58(2): 398-410.
DOI |
| [11] | 沈志超, 2023. 东北冬季极端气温趋势变化及其城市化影响[J]. 安徽农业科学, 41(31): 12 387-12 391. |
| [12] | 司鹏, 梁冬坡, 陈凯华, 等, 2021. 城市化对天津近60年平均温度和极端温度事件的增暖影响[J]. 气候与环境研究, 26(2): 142-154. |
| [13] | 孙文慧, 韩琳, 刘雪宇, 2023. 1969—2019年四川省极端气温事件时空分布特征[J]. 水利水电技术, 54(7): 113-127. |
| [14] |
孙昭萱, 张强, 孙蕊, 等, 2022. 2022年西南地区极端高温干旱特征及其主要影响[J]. 干旱气象, 40(5): 764-770.
DOI |
| [15] | 魏凤英, 2007. 现代气候统计诊断与预测技术[M]. 第二版. 北京: 气象出版社. |
| [16] |
温晓培, 吴炜, 李昌义, 等, 2022. 土地利用资料的更新对四川盆地高温天气数值模拟的影响[J]. 干旱气象, 40(5): 868-878.
DOI |
| [17] | 吴利华, 成鹏, 董李勤, 等, 2022. 1951—2017年丽江极端气温和降水事件的变化特征[J]. 南京信息工程大学学报:自然科学版, 14(3): 253-266. |
| [18] | 吴蓉, 孙怡, 杨元建, 等, 2016. 城市化对安徽省极端气温事件的影响[J]. 气候变化研究进展, 12(6): 527-537. |
| [19] | 于凤硕, 廉丽姝, 李宝富, 等, 2019. 城市化对山东省极端气温事件的影响[J]. 气象科技, 47(1): 129-139. |
| [20] | 于浩慧, 周长艳, 陈超, 等, 2023. 2021年7—8月四川盆地高温热浪大气环流背景及影响分析[J]. 干旱气象, 41(6): 923-932. |
| [21] | 张小玲, 刘梦娜, 青泉, 等, 2022. 1960-2018年成都地区极端气温变化及城市化贡献分析[J]. 高原山地气象研究, 42(1): 10-17. |
| [22] | 赵东升, 高璇, 吴绍洪, 等, 2020. 基于自然分区的1960—2018年中国气候变化特征[J]. 地球科学进展, 35(7): 750-760. |
| [23] | 赵宗慈, 徐国昌, 王琨玲, 1990. 都市化对气候变化的影响[J]. 气象科技(1): 71-76. |
| [24] | 郑祚芳, 高华, 李青春, 2013. 城市化对北京一次极端降水过程影响的数值分析[J]. 气象, 39(3): 340-346. |
| [25] | 周雅清, 任国玉, 2014. 城市化对华北地区极端气温事件频率的影响[J]. 高原气象, 33(6): 1 589-1 598. |
| [26] | BASARA J B, BASARA H, ILLSTON B G, et al, 2010. The impact of the urban heat island during an intense heat wave in Oklahoma City[J]. Advances in Meteorology, 7: 1-10. DOI:10.1155/2010/230365. |
| [27] | CLEVELAND W S, 1979. Robust locally weighted regression and smoothing scatterplots[J]. Journal of the American Statistical Association, 74(368): 829-836. |
| [28] | IPCC, 2022. Climate change 2021: physical science basis[M]. Cambridge: Cambridge University Press. |
| [29] | LI X H, CHEN Z F, WANG L, 2020. Analysis of the spatiotemporal variation characteristics of main extreme climate indices in Sichuan Province of China from 1968 to 2017[J]. Applied Ecology and Environmental Research, 18(2): 3 211-3 242. |
| [30] | LIN L J, GAO T, LUO M, et al, 2020. Contribution of urbanization to the changes in extreme climate events in urban agglomerations across China[J]. Science of The Total Environment, 744. DOI: 10.1016/j.scitotenv.2020.140264. |
| [31] | NIU Z G, WANG L C, FANG L L, et al, 2020. Analysis of spatiotemporal variability in temperature extremes in the Yellow and Yangtze River basins during 1961-2014 based on high-density gauge observations[J]. International Journal of Climatology, 40(1): 1-21. |
| [32] | ROY S S, YUAN F, 2009. Trends in extreme temperatures in relation to urbanization in the Twin Cities Metropolitan Area, Minnesota[J]. Journal of Applied Meteorology & Climatology, 48(3):669-679. |
| [33] | UNITED NATIONS, 2018. Department of economic and social affairs, population division. world urbanization prospects: The 2018 revision[M]. New York: United Nations. |
| [1] | HUANG Yao, YUAN Meng, GUO Jie, SONG Wenwen, LIU Xinchao. Synoptic circulation patterns clustering analysis and physical diagnosis of high temperature weather in the lower reaches of the Jinsha River [J]. Journal of Arid Meteorology, 2024, 42(2): 217-227. |
| [2] | WANG Binyan, WANG Jiajin, XIAO Dixiang, LONG Keji. Evaluation of forecasting ability of four numerical models for heavy precipitation processes in Sichuan Province [J]. Journal of Arid Meteorology, 2024, 42(2): 315-323. |
| [3] | HUANG Xiaolong, WU Wei, XU Xiaoli, WANG Liwei, SONG Yunfan, LI Xue. Study on the suitability of surface meteorological stations in Sichuan Province based on relief degree of land surface [J]. Journal of Arid Meteorology, 2023, 41(4): 579-588. |
| [4] | CAO Pingping, XIAO Dixiang, LONG Keji, WANG Jiajin, YANG Kangquan. Deviation correction of precipitation forecast by ECMWF model based on quantile mapping method in Sichuan Province [J]. Journal of Arid Meteorology, 2023, 41(4): 666-675. |
| [5] | CAI Yiheng, LI Shuai, ZHANG Qiang, DENG Biao, LUO Yu, SUN Rui. Spatio-temporal variation of drought in Sichuan Province from 1997 to 2021 [J]. Journal of Arid Meteorology, 2023, 41(2): 241-250. |
| [6] | ZHOU Yaman, SUN Di, ZHAO Yong, LI Anbei, GUO Yulin. Characteristics of Wide-range Extreme Precipitation in Summer and Its Circulation Anomalies in Northern Xinjiang#br# [J]. Journal of Arid Meteorology, 2021, 39(2): 215-224. |
| [7] | YAN Xiaoyu, GOU Xiaohui, GONG Xiaoli, LIU Jianjun, NA Li, SU Zhansheng, LIU Yao, LI Xiaohong, WU Baoguo. Analysis of Ozone Pollution and Its Transport Paths in Ningxia [J]. Journal of Arid Meteorology, 2021, 39(1): 119-129. |
| [8] | XIN Zhihong, GUO Jianping, TAN Kaiyan, LIU Kaiwen, YANG Rongguang, ZHANG Lihua, SUN Yi. Relationship Between Amino Acid Quality of Winter Wheat and Meteorological Ecological Factors [J]. Journal of Arid Meteorology, 2020, 38(1): 148-156. |
| [9] | YUAN Shujie, LI Yuchun, XIANG Le, ZHANG Yiwei. Spatial and Temporal Distribution Characteristics of Direct Solar Radiation over Rugged Terrains in Sichuan Province [J]. Journal of Arid Meteorology, 2016, 34(1): 20-25. |
| [10] | . Comparison of Observation Data from Weichang National Basic StationImpact of Urbanization on Meteorological Factors Based on [J]. J4, 2011, 29(2): 205-210. |
| Viewed | ||||||
|
Full text |
|
|||||
|
Abstract |
|
|||||
©2018 Journal of Arid Meteorology
Tel: 0931-2402270、0931-2402775 Email:ghqx@iamcma.cn、ghs_ghqx@sina.com