干旱气象 ›› 2022, Vol. 40 ›› Issue (2): 222-233.DOI: 10.11755/j.issn.1006-7639(2022)-02-0222

• 论文 • 上一篇    下一篇

不同气候背景下南疆暖季暴雨特征和差异

杨霞1(), 许婷婷1, 张林梅1, 华烨1, 周鸿奎2   

  1. 1.新疆维吾尔自治区气象台,新疆 乌鲁木齐 830002
    2.新疆维吾尔自治区气象信息中心,新疆 乌鲁木齐 830002
  • 收稿日期:2021-01-22 修回日期:2021-03-19 出版日期:2022-04-30 发布日期:2022-05-10
  • 作者简介:杨霞(1980— ),女,甘肃武威人,硕士,正研级高级工程师,主要从事灾害性天气机理和预报技术研究. E-mail: Yangxia921@163.com
  • 基金资助:
    国家自然科学基金地区基金项目(42065001);国家自然科学基金重点项目(42030612);第二次青藏高原综合科学考察研究项目(2019QZKK0102)

Characteristics and differences of rainstorm in the southern Xinjiang during warm season under different climatic backgrounds

YANG Xia1(), XU Tingting1, ZHANG Linmei1, HUA Ye1, ZHOU Hongkui2   

  1. 1. Xinjiang Meteorological Observatory, Urumqi 830002, China
    2. Xinjiang Meteorological Information Center, Urumqi 830002, China
  • Received:2021-01-22 Revised:2021-03-19 Online:2022-04-30 Published:2022-05-10

摘要:

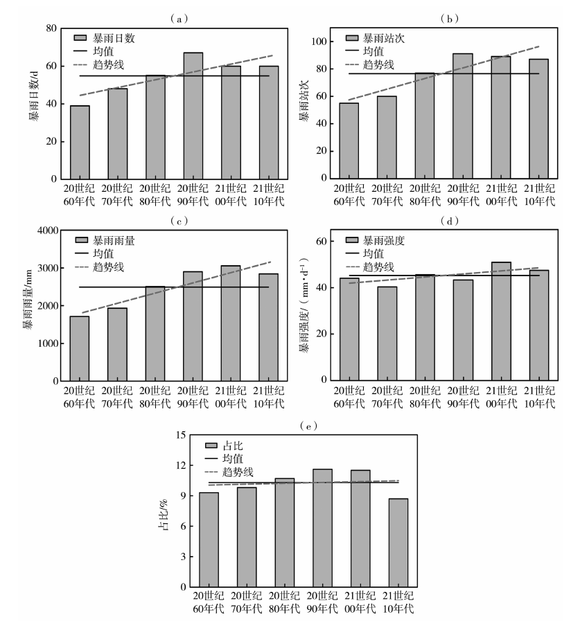
利用1961—2020年5—9月(暖季)南疆44个国家气象站逐日降水资料和NCEP/NCAR(National Centers for Environmental Prediction/National Center for Atmospheric Research)再分析资料,分析不同年代际和气候背景(暖干期和暖湿期)下南疆暖季暴雨的时空变化特征及大尺度环流异常特征。结果表明:1961年以来南疆暖季累计暴雨日数、暴雨站次和暴雨雨量均呈增加趋势,暴雨强度和暴雨雨量占总降水量比例的变化趋势不明显。南疆暖季累计暴雨日数、暴雨站次和暴雨雨量在暖湿期明显多于暖干期,暴雨强度和暴雨雨量占总降水量的比例在暖干期及暖湿期的差异不大。进入暖湿期后,南疆大部分站点的暴雨日数和暴雨雨量都有所增加,且西南部站点增加最明显,但山区的增加幅度小于平原。中亚低槽、中亚低涡和塔里木东风低空急流是造成南疆暖季暴雨的主要影响系统,南疆暖季暴雨在暖干期以低涡型为主,暖湿期以低槽型为主;850 hPa偏东气流在低涡型暴雨中比低槽型暴雨西伸更加明显,在暖湿期与暖干期环流差值场中,低槽型暴雨和低涡型暴雨中高纬地区的环流异常呈现反向变化特征。

关键词: 暴雨, 年代际变化, 气候转型, 大尺度环流, 南疆

Abstract:

Based on daily precipitation data from 44 national meteorological stations in the southern Xinjiang and the NCEP/NCAR reanalysis data from May to September (warm season) during 1961-2020, the spatial and temporal variation characteristics of rainstorm and large-scale circulation anomalies under different decades and climatic background (warm-dry period and warm-wet period) in the southern Xinjiang were analyzed. The results show that the cumulative rainstorm days, rainstorm stations and rainstorm rainfall in the warm season of the southern Xinjiang has been increasing since 1961, but the variation trend of rainstorm intensity and the proportion of rainstorm rainfall in total precipitation was not obvious. The cumulative rainstorm days, rainstorm stations and rainstorm rainfall in the warm-wet period in the southern Xinjiang were significantly more than those in the warm-dry period, and the rainstorm intensity and the proportion of rainstorm rainfall in the total precipitation had little difference in the warm-wet period and the warm-dry period. After entering the warm-wet period, the rainstorm days and rainstorm rainfall amount increased in most stations in the southern Xinjiang (the most obvious increase was at southwest stations), but the increase extent in mountain area was smaller than that in plain. The central Asian trough, central Asian vortex and Tarim easterly low level jet were the main influencing systems for the heavy rain in the warm season in the southern Xinjiang. The heavy rain in the warm season in the southern Xinjiang was dominated by low vortex type in the warm-dry periods, and low trough type in the warm-wet periods. The easterly flow 850 hPa extended westward more obviously in the low vortex rainstorm than in the low trough rainstorm. In the circulation difference field between the warm-wet periods and the warm-dry period, the circulation anomaly in the high latitude area of the low trough rainstorm and the low vortex rainstorm showed reverse change characteristics.

Key words: rainstorm, interdecadal change, change of climate pattern, large-scale circulation, the southern Xinjiang

中图分类号: