干旱胁迫下春玉米叶片光合参数对叶温的响应
Response of photosynthetic parameters to leaf temperature of spring maize under drought stress
通讯作者: 张强(1965—),男,甘肃靖远人,研究员,主要从事干旱气候变化、陆气相互作用研究。E-mail:zhangqiang@cma.gov.cn。
责任编辑: 黄小燕;校对:蔡迪花
收稿日期: 2022-09-23 修回日期: 2022-11-1
| 基金资助: |
|
Received: 2022-09-23 Revised: 2022-11-1
作者简介 About authors
齐月(1988—),女,山东章丘人,副研究员,主要从事气候变化对农业影响研究。E-mail:goodqiyue@163.com。
气候变化背景下,为探索黄土高原半干旱区春玉米光合生理过程对土壤水分、温度变化的响应机制,以春玉米为研究对象,于2017年在中国气象局定西干旱气象与生态环境试验基地进行盆栽水分控制试验,在春玉米七叶期设置对照处理(Control,简称“CK处理”,土壤水分为田间持水量的80%)和控水处理(Water Stress,简称“WS处理”,土壤水分为田间持水量的45%~50%)以及3个叶片温度梯度,分别为适宜温度25 ℃、高温35 ℃及极端高温40 ℃(CK处理对应CK-25、CK-35及CK-40;WS处理对应WS-25、WS-35及WS-40),分析春玉米叶片气体交换参数和水分利用效率对土壤水分、温度变化的响应特征。结果表明:在一定的光合有效辐射(Photosynthetically Active Radiation, PAR)范围内,春玉米叶片净光合速率(Net Photosynthetic Rate, Pn)随PAR的增加逐渐增大。水分供给不足时,随着PAR不断增加,WS处理春玉米叶片气孔限制因素向非气孔限制因素转变,光合作用出现明显的光抑制,WS-35处理叶片Pn最大,WS处理叶片Pn在PAR高值区明显小于CK处理,且不同温度梯度下叶片达到光饱和的PAR下降;与CK-40处理相比,WS-40处理春玉米叶片Pn随PAR增大显著减小(P<0.05),光合作用表现出明显的光抑制。水分供给充足时,蒸腾速率(Transpiration Rate, Tr)随温度升高而增大;水分供给不足时,WS-40处理春玉米叶片Tr、气孔限制(Ls)较CK-40处理显著降低(P<0.05),胞间CO2浓度(Ci)显著增加(P<0.05)。WS-40处理春玉米Tr随着PAR的增大而减小,水分利用效率(Water Use Efficiency, WUE)较CK处理高。该研究可为气候变化背景下黄土高原半干旱区春玉米应对极端气候生理特征变化提供参考。
关键词:
In order to explore the response mechanism of photosynthetic physiological process of spring maize to soil water and temperature changes in semi-arid region of the Loess Plateau under the background of climate change, taking spring maize as the research object, the pot water control experiment was carried out in the Dingxi Arid Meteorology and Ecological Environment Experimental Base of China Meteorological Administration in 2017. Control treatment (CK treatment, soil moisture at 80% of field water capacity) and water treatment (WS treatment, soil moisture at 45%-50% of field water capacity) were set at spring maize seven-leaf stage. Three leaf temperature gradients were set, which were optimum temperature 25 ℃, high temperature 35 ℃ and extreme high temperature 40 ℃ (CK treatment corresponds to CK-25, CK-35 and CK-40; WS treatment corresponds to WS-25, WS-35 and WS-40). The response characteristics of leaf gas exchange parameters and water use efficiency to soil moisture and temperature changes at seven-leaf stage of spring maize were analyzed. The results show that within a certain range of photosynthetically active radiation (PAR), the net photosynthetic rate (Pn) of leaves gradually increased with the increase of PAR. When water supply was insufficient, with the increasing of PAR, stomatal limiting factors of spring maize leaves under WS treatment transferred to non-stomatal limiting factors, and photosynthesis is inhibited obviously. The Pn of spring maize leaves under WS-35 treatment was the highest, and Pn of maize leaves under WS treatment was significantly lower than that under CK treatment in the PAR high value area. The PAR at light saturation point decreased under different temperature gradients. Compared with CK-40 treatment, the Pn of spring maize leaf under WS-40 treatment decreased significantly with the increase of PAR (P<0.05), and photoinhibition was obvious. When the water supply was sufficient, the transpiration rate (Tr) increased with temperature increasing. When the water supply was insufficient, compared with CK-40 treatment, the Tr and stomatal limitation (Ls) of spring maize leaf decreased significantly (P<0.05), while intercellular CO2 concentration (Ci) increased significantly (P<0.05) under WS-40 treatment. With the increase of PAR, Tr decreased and water use efficiency (WUE) of spring maize treated by WS-40 was higher than that CK treatment. This study can provide reference for the physiological characteristics of spring maize in semi-arid region of the Loess Plateau under the background of climate change.
Keywords:
本文引用格式
齐月, 张强, 胡淑娟, 王润元, 杨阳, 雷俊, 王鹤龄, 赵鸿, 褚超, 靳荣.
QI Yue, ZHANG Qiang, HU Shujuan, WANG Runyuan, YANG Yang, LEI Jun, WANG Heling, ZHAO Hong, CHU Chao, JIN Rong.
引言
玉米是全球重要的谷物作物之一,也是重要的粮食作物、饲料作物及经济作物,其单位面积产量位于禾谷类作物之首,对保障全球粮食安全有重要作用。中国是仅次于美国的第二大玉米生产国,2020年我国玉米年产量2.65亿吨,占世界总产量的23%(https://baogao.chinabaogao.com/liangshi/542999542999.html#r_order),而干旱半干旱区则是我国玉米主产区之一,约占全国种植面积的30%(Huang et al., 2012;李新周等,2004)。玉米生长不仅受自身遗传特性控制,还受气温、降水、空气湿度、二氧化碳浓度等环境因素的影响(张继波等,2021;Sofo et al., 2009;张振文等,2010;赵鸿等,2016),其生长发育阶段最适温度为25 ℃左右(张绍伟,2016),上限温度为40 ℃左右,温度过高不利于玉米生长发育。近年来,极端高温干旱严重影响我国半干旱区春玉米生长发育和产量形成。
光合作用是绿色植物细胞利用光能将CO2和H2O合成碳水化合物等有机物,并释放O2的过程(梁星云和刘世荣,2017),是作物产量形成的基础。光合作用是对水分、温度胁迫最敏感的生理过程之一,作物受到干旱胁迫后会导致光合速率下降(Galle et al., 2007;魏爱丽等,2003;Flexas et al., 2006;Subrahmanyam et al., 2006;高英波等,2020)。玉米光合速率与土壤水分密切相关,干旱胁迫下作物的净光合速率显著降低(靳欣等,2011),轻度水分胁迫会降低玉米叶片的光合作用效率,直接影响光合产物向籽粒转移(苏华等,2012;Dimina et al., 2018),光合作用的升降还受气孔和非气孔因素的限制,胞间CO2浓度、气孔导度、蒸腾作用等气体交换指标能够快速准确反映干旱胁迫对作物生理过程的影响,体现了作物对环境变化的适应性(Asseng et al., 2011;Stupko et al., 2021)。
目前,许多学者从气象条件对玉米光合生理特性(王振华等,2015;许大全,2013;赵鸿等,2007;陈凤丽等,2013)、生产力(姚玉璧等,2018)和产量(齐月等,2019)等影响方面开展了大量研究,黄土高原半干旱雨养农业区是气候变化的敏感地带,大多研究集中于气候变化背景下气象因子变化对春玉米生产和产量的影响,而有关土壤水分和叶温变化对春玉米光合生理特性影响的定量研究较少。近年来,黄土高原半干旱区6月下旬到7月上旬最高气温达35 ℃左右,恰逢春玉米七叶期,高温对春玉米生长造成影响。因此,本文通过盆栽控制试验,设置春玉米水分正常灌溉(土壤相对湿度在80.0%以上)和七叶期持续干旱处理,研究黄土高原半干旱雨养农业区春玉米七叶期叶片光合生理参数对土壤水分、气温变化的响应特征,寻找不同要素变动引起光春玉米叶片光合生理参数的变化规律,为春玉米应对极端气候提供参考。
1 资料与方法
1.1 研究区概况
试验在中国气象局定西干旱气象与生态环境试验基地开展,该基地位于黄土高原半干旱雨养农业区的定西市安定区(104°37′E,35°35′N;海拔1 896.7 m)(图1),属于典型的半干旱气候,年平均气温6.7 ℃,年日照时数2 433.0 h,年太阳总辐射5 923.8 MJ·m-2。该地区降水分布不均匀,年平均降水量386.0 mm,大多集中在6—8月。供试土壤为黄绵土,土质疏松,保水保肥能力差,易发生干旱。
图1
1.2 试验设计与方法
1.2.1 试验设计
供试玉米当地常规品种为“承单20号”。采用盆栽试验法,盆内径29 cm、高45 cm。从大田采集0~50 cm层土壤,风干过筛装盆(每盆装土14 kg),盆装土平均容重为1.15 g·cm-3,田间持水量为25.5%,萎蔫系数为5.5%。试验设置两个水分处理:对照处理(Control,简称“CK处理”),全生育期土壤相对湿度在80.0%以上;控水处理(Water Stress,简称“WS处理”),七叶期之前正常灌溉,土壤相对湿度保持在80.0%左右,七叶期(播种后第23天)开始控水,控水后第4天观测的土壤相对湿度约47.8%。每个处理10组重复,共20盆,于2017年6月18日播种,每个桶内播3~4粒,播种深度约5 cm,三叶初期定苗,保留1株。观测时段气温为25.5 ℃,利用Li-6400XT光合作用观测系统(LI-COR Biosciences Inc., USA)控制叶片温度,每个处理设置不同叶温,分别为适宜温度(25 ℃)、高温(35 ℃)及极端高温(40 ℃)(CK处理对应CK-25、CK-35及CK-40;WS处理对应WS-25、WS-35及WS-40)。播种前记录好每个盆栽空桶的重量,开始处理前3天每天下午19:00进行称重,记录每个盆栽重量,按照试验设计,土壤水分低于设置时进行补水,下雨时拉上遮雨棚遮雨,所有处理田间管理措施保持一致。文中所有时间均为北京时。
1.2.2 测定项目和方法
利用Li-6400XT光合作用观测系统测定玉米顶部第一片展开叶的光合生理指标,包括叶片净光合速率(Net Photosynthetic Rate, Pn)、蒸腾速率(Transpiration Rate, Tr)、胞间CO2浓度(Intercellular CO2 Concentration, Ci)和气孔导度(Conductance to H2O, Gs)等气体交换参数,并计算得出气孔限制值Ls(Ls=1-Ci/Ca,其中Ca为大气中CO2浓度)及叶片水分利用效率(Water Use Efficiency, WUE;WUE=Pn/Tr)(王振华等,2015)。
在春玉米播种后第27天(控水后第4天)进行光合观测,春玉米处于营养生长阶段的七叶期需水量大,对水分变化响应敏感。利用Li-6400XT红蓝光源测定光响应曲线,设置光合有效辐射(Photosynthetically Active Radiation, PAR)为0、25、50、75、100、150、200、400、600、800、1 000、1 200、1 500、1 800、2 100、2 400 μmol·m-2·s-1 16个点,以及叶室CO2浓度为400±5 μmol·mol-1。08:00—12:00,叶片在设置的不同温度下用1 800 μmol·m-2·s-1的光强诱导30~40 min,待光合参数稳定后,设置自动测量程序进行测量,每个处理重复测定3次。
1.2.3 统计分析方法
采用SPSS 18.0软件计算玉米叶片光合生理参数的单因素方差分析(one-way ANOVA,SSR)、差异显著性检验(P<0.05)和光响应曲线拟合。
2 结果与分析
2.1 春玉米叶片光合参数对土壤水分与叶温变化的响应
图2
图2
CK处理(a)和WS处理(b)下不同叶温春玉米七叶期叶片光响应曲线
(柱状线棒为标准差。下同)
Fig.2
Light response curves of leaves with different temperatures under CK (a) and WS (b) treatments at seven-leaf stage of spring maize
(The bars are standard deviation. the same as below)
表1 不同处理春玉米七叶期叶片光响应生理特征参数
Tab.1
| 处理 | 最大净光合速率 | 表观量子率 | 光补偿点 | 光饱和点 | 暗呼吸速率 | 决定系数 |
|---|---|---|---|---|---|---|
| CK-25 | 31.355±2.382a | 0.039±0.008a | 20.8±1.162a | 2 246.4±35.421b | 3.7 771±0.143b | 0.9 999±0.000 |
| CK-35 | 40.953±2.581a | 0.065±0.005a | 22.0±2.532b | 2 433.6±29.831a | 3.2 248±0.085ab | 0.9 998±0.002 |
| CK-40 | 40.032±0.544b | 0.033±0.007b | 28.2±0.751a | 2 512.2±22.451b | 3.0 620±0.183b | 0.9 999±0.000 |
| WS-25 | 32.206±2.563a | 0.083±0.003b | 26.0±1.522bc | 1 367.6±32.158d | 3.7 023±0.114b | 0.9 944±0.006 |
| WS-35 | 35.513±1.427b | 0.085±0.003b | 26.0±2.427a | 1 482.5±33.142a | 3.8 124±0.052ab | 0.9 944±0.006 |
| WS-40 | 27.521±2.568a | 0.059±0.006a | 20.8±3.251b | 1 482.2±33.142a | 3.6 354±0.106a | 0.9 942±0.007 |
注:小写字母表示通过0.05的显著性检验,但不同字母表示不同处理间差异显著,相同字母则表示差异不显著。
干旱胁迫下不同叶温叶片Pn的变化分析表明,WS和CK处理Pn均表现为高温(35 ℃)>适宜温度(25 ℃)>极端高温(40 ℃)的变化趋势。当PAR>1 000 μmol·m-2·s-1时,CK和WS处理各温度间Pn存在显著差异,WS-25、WS-35处理Pn分别较CK-25、CK-35差异较小,WS-40处理Pn较CK-40差异显著(P<0.05)。主要由于相对于水分条件,春玉米对温度的变化响应更敏感,适宜温度促使春玉米净光合速率提高,当温度过高时,玉米叶片通过自身调节来响应光强的变化而引起净光合速率的变动。WS-40处理Pn较CK-40显著减小(P<0.05),春玉米叶片表现出明显光抑制现象。
2.2 春玉米气体交换参数对土壤水分与叶温变化的响应
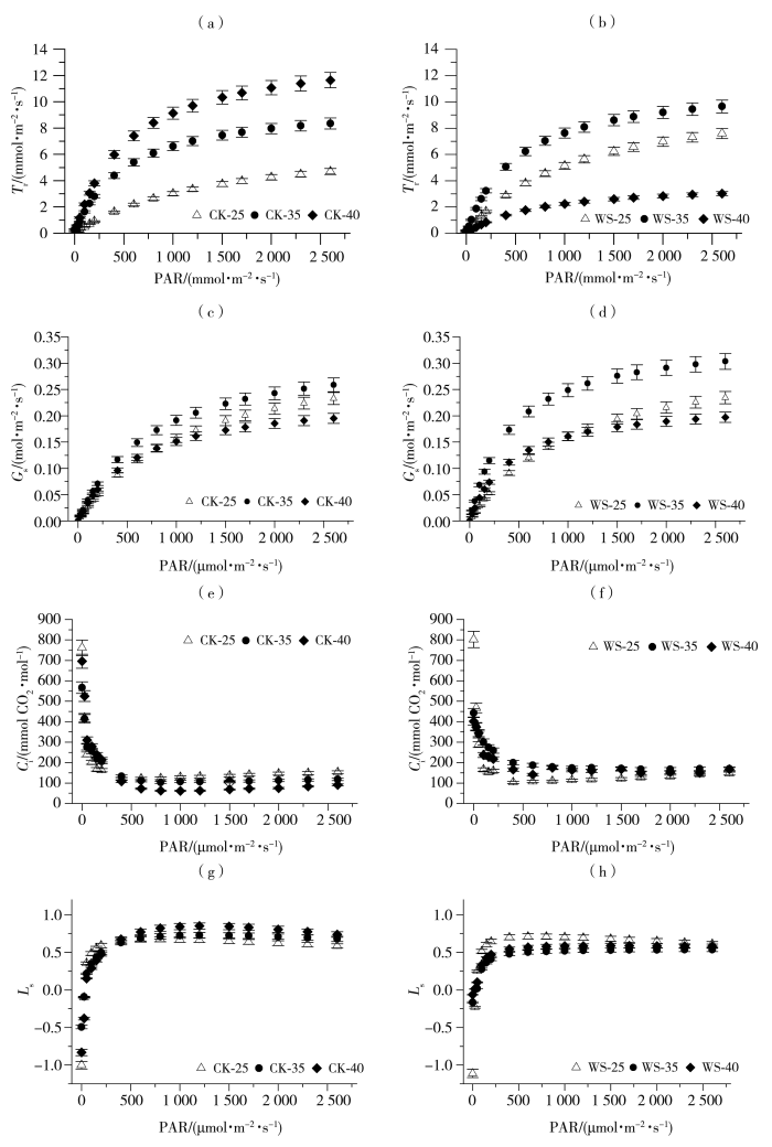
图3为不同处理下春玉米七叶期气体交换参数对光合有效辐射(PAR)的响应。可以看出,不同处理叶片蒸腾速率(Tr)随着PAR的增加而增大。当PAR<500 μmol·m-2·s-1时,随着PAR的增加,CK处理叶片Tr快速增大;各处理叶片Tr均为快速上升阶段,上升速率表现为WS-35>CK-40>WS-40>CK-35>WS-25>CK-25;PAR>500 μmol·m-2·s-1时,Tr上升相对平缓,趋于稳定。随着PAR增加,WS-25、WS-35和WS-40处理Tr均小于CK处理,表明干旱胁迫严重影响了叶片的Tr。
图3
图3
CK处理(a、c、e、g)和WS处理(b、d、f、h)下不同叶温春玉米七叶期叶片气体交换参数对光合有效辐射的响应
(a、b)叶片蒸腾速率,(c、d)叶片气孔导度,(e、f)叶片胞间CO2浓度,(g、h)叶片气孔限制值
Fig.3
Response of gas exchange parameters to photosynthetic available radiation of leaves with different temperatures under CK (a, c, e, g) and WS (b, d, f, h) treatments at seven-leaf stage of spring maize
(a, b) leaf transpiration rate,(c, d) leaf stomata conductance,(e, f) leaf intercellular CO2 concentration,(g, h) leaf stomata limitation value
比较干旱胁迫下春玉米七叶期不同叶温Tr的光响应过程,PAR<500 μmol·m-2·s-1时,Tr随着PAR的增加而增大。供水充足时,Tr对温度变化的响应更敏感,表现为CK-40>CK-35>CK-25,且通过0.05的显著性检验;供水不充足时,WS处理Tr随着PAR的增加缓慢增大,表现为WS-35>WS-25>WS-40,且WS-40处理Tr较WS-35和WS-25处理明显下降。
与Pn、Tr基本一致,玉米叶片气孔导度(Gs)随着PAR增加也呈增大趋势,3个温度梯度下Gs均先快速增大,而后缓慢增大。当PAR<500 μmol·m-2·s-1时,CK处理Gs在0~0.12 mol·m-2·s-1,WS处理Gs在0~0.18 mol·m-2·s-1,差异不显著;当PAR>500 μmol·m-2·s-1时,Gs表现为WS-35>CK-35>WS-25>CK-25>WS-40>CK-40,WS-35处理Gs较CK-35处理增加0.06 mol·m-2·s-1,约32.4%,差异显著(P<0.05)。
当PAR<500 μmol·m-2·s-1时,春玉米叶片胞间CO2浓度(Ci)随PAR增加而迅速减小;当PAR>500 μmol·m-2·s-1时,随着PAR的增加,Ci变化幅度减慢并逐渐趋于平缓;当PAR>500 μmol·m-2·s-1时,CK处理Ci随着PAR增加呈微弱增加趋势。在PAR高值区,WS-35和WS-40处理Ci随着PAR增加呈微弱增加趋势。当PAR>500 μmol·m-2·s-1时,不同叶温下CK处理Ci的变化表现为CK-25>CK-35>CK-40,但差异较小;WS处理Ci的变化表现为WS-35>WS-40>WS-25,差异也较小(P>0.05)。
当PAR<500 μmol·m-2·s-1时,WS和CK处理春玉米叶片气孔限制值(Ls)均随PAR的增加而迅速增大;当500≤PAR<1 500 μmol·m-2·s-1时,Ls随着PAR的增加呈缓慢增大趋势;当PAR≥1 500 μmol·m-2·s-1时,随着PAR增加Ls有微弱减小趋势,其中CK-25和WS-25处理降低趋势最明显。比较不同叶温下Ls的变化,CK-25处理在PAR高值区Ls明显小于其他两个温度处理,而CK-35和CK-40处理间则差异不大;在PAR较弱时,WS处理不同叶温Ls差异不大,随着PAR的增加,WS-25、WS-35和WS-40处理Ls大小趋于一致。
2.3 春玉米水分利用效率对土壤水分和叶温的响应
干旱胁迫和叶温协同影响下春玉米叶片水分利用效率(WUE)随光合有效辐射(PAR)的变化如图4所示,在PAR低值区(PAR<500 μmol·m-2·s-1),WUE随PAR增加而快速增大;PAR>500 μmol·m-2·s-1时,随着PAR增加,不同处理WUE的变化有所差异。其中,CK-25处理WUE随着PAR先增大后缓慢减小,CK-35和CK-40处理WUE则随着PAR先增大后趋于平稳。比较CK处理不同温度梯度WUE的变化,CK-25处理WUE最高,其次为CK-35,CK-40最低。WS处理不同叶温下WUE随着PAR增加先快速增大后缓慢下降,并逐渐趋于稳定,其中WS-35处理WUE明显小于WS-25和WS-40,WS-40处理WUE最高。对比发现,在适宜叶温(25 ℃)和高温(35 ℃)条件下,随着PAR增加,WS-25和WS-35处理WUE分别较CK-25和CK-35处理减小,而极端高温(40 ℃)条件下,在PAR高值区,WS-40处理WUE较CK-40处理明显增大。
图4
图4
CK处理(a)和WS处理(b)下不同叶温春玉米七叶期水分利用效率对光合有效辐射的响应
Fig.4
Response of water use efficiency to photosynthetic available radiation of leaves with different temperatures under CK (a) and WS (b) treatments at seven-leaf stage of spring maize
3 讨论与结论
3.1 讨论
玉米是一种喜温的C4作物,温度对其生长发育起着重要作用。适宜温度能够促进玉米生长发育,但超出适宜温度范围,其新陈代谢、光合作用等受到抑制(张振平等,2009;Hatfield et al.,2011)。气孔是CO2和水分进入植株体内的重要通道,空气中的CO2通过气孔扩散进入叶片光合细胞间隙,并溶解于液相中,在光能作用下发生光合作用进而合成有机物,同时,大量的水分通过蒸腾作用经气孔扩散进入大气中(盛得昌等,2020)。充足供水下,随着光强的增加,极端高温(40 ℃)引起叶片气孔的饱和水汽压升高、蒸腾作用增大,使得细胞严重失水,气孔收缩,气孔导度明显下降,胞间CO2浓度降低,气孔限制值Ls增大,CO2供应受阻,光合速率下降。高温(35 ℃)促进了春玉米细胞活性,使得气孔导度增大,胞间CO2浓度增加,气孔限制值Ls减小,光合速率增大。水分不足时,高温(35 ℃)条件下春玉米光合速率显著升高,能够促进玉米的生长,与张振平等(2009)研究结果一致。Hatfield等(2011)研究表明,玉米的最佳生长和生殖温度约为34 ℃,与本研究结果一致。本试验中,充足供水下玉米叶片蒸腾速率随叶温的增加而增大,对温度变化的响应更敏感。在干旱胁迫下,叶温升高使得春玉米蒸腾速率显著下降,可能与作物自我保护有关,温度越高,气孔导度下降越快,部分气孔的关闭导致蒸腾速率不断减小,因此,适宜的温度有利于春玉米光合作用,高温和极端高温与干旱胁迫协同作用会造成春玉米光合过程受阻,抑制其生理过程,从而影响生长发育,使产量降低。
高温和极端高温对玉米影响的研究大多通过盆栽试验或者气候生长箱来控制温度,研究温度对玉米生长产量的影响,而玉米叶片光合参数对温度响应的研究较少(付刚和钟志明,2016)。本研究试图通过设置叶片温度来反映春玉米叶片对不同温度的生理响应来达到试验目的,玉米叶片在30~40 min的温度诱导后进行测量,使得玉米叶片完全适应环境温度,模拟高温和极端高温对玉米叶片生理特性的影响。在未来研究中,将通过野外大田试验进行高温模拟,能够更准确研究玉米对高温的响应机理。随着全球气候变暖,黄土高原半干旱区玉米生育期适宜温度是否发生变化,还需进一步研究。
3.2 结论
本文以春玉米为研究对象,通过盆栽水分控制试验,分析春玉米叶片气体交换参数和水分利用效率对土壤水分、温度变化的响应特征,得到以下结论:
(1)水分是春玉米叶片光合生理参数的重要影响因素之一。在水分供给充足时春玉米叶片净光合速率明显大于水分供给不足时的净光合速率,与适宜叶温(25 ℃)相比,高温(35 ℃)条件下春玉米净光合速率显著增大,而极端高温(40 ℃)抑制了春玉米光合作用,使得净光合速率降低。
(2)叶片蒸腾速率在充足供水时较干旱胁迫下明显增大。充足供水下叶片蒸腾速率随光合有效辐射的增加而增大,叶温的升高使得蒸腾速率增大。水分供给不足时,高温(35 ℃)使得蒸腾速率、气孔导度、胞间CO2浓度增加,气孔限制值降低;极端高温(40 ℃)使得蒸腾速率下降,气孔导度减小,气孔限制值增大,胞间CO2浓度降低。
(3)在一定的光合有效辐射范围内,春玉米叶片水分利用效率随光合有效辐射的增加而增大,充足供水时,春玉米叶片水分利用效率在适宜叶温(25 ℃)条件下最大,供水不足时极端高温(40 ℃)下最大。
参考文献
干旱气象科学研究——“我国北方干旱致灾过程及机理”项目概述与主要进展
[J].干旱灾害是影响社会经济发展、农业生产和生态文明建设的重要自然因素,随着气候变暖,极端干旱事件发生频率和强度均呈增加趋势,影响不断加重。“干旱气象科学研究”是由中国气象局等国家部委组织的三大气象科学试验研究计划之一,是继“第三次青藏高原大气科学试验”实施后,于2015年以行业科研重大专项项目形式批准立项的又一重大科学研究计划。本文简要介绍了本项目的基本架构以及在外场观测试验和科学研究方面所取得的重点研究成果,展望了干旱气象科学研究趋势及可能取得的主要突破。项目以提升我国干旱防灾减灾能力、保障粮食与生态安全为科技支撑目标,以发展干旱基础理论为科学研究目标,以提高干旱监测预测预警及影响评估技术水平为业务应用目标,以我国北方地区为重点研究区域,开展跨学科、综合性、系统性的干旱气象科学试验和科学研究。实施以来,已在西北至华北的干旱半干旱区建立“V”型的干旱致灾过程及其陆—气相互作用观测试验站网布局,并开展系统性观测试验。科学研究方面也取得重要成果。研究发现,自我防御机制有助于我国北方草地主要优势种和建群种——贝加尔针茅适应未来气候变化。气候变化使中国骤发性干旱显著增加,尤其在湿润和半湿润地区可能性更大,且在未来几十年有可能持续下去,这对中国农业和水资源持续利用造成严重影响。另外,复杂下垫面地区的地—气交换研究方法得到有效改进;干旱半干旱区域的模式系统发展取得进展;发现春小麦、春玉米对干旱胁迫的响应特征,构建了玉米冠层含水量的普适性高光谱遥感估算方法等。
FvCB生物化学光合模型及A-Ci曲线测定
[J].由Farquhar、von Caemmerer和Berry提出的生物化学光合模型(以下简称FvCB模型)是一个基于光合碳反应过程的CO<sub>2</sub>响应模型。此模型认为C<sub>3</sub>植物叶片光合速率(A)由3个生物化学过程速率中的最低者——核酮糖-1,5-双磷酸羧化酶/加氧酶(Rubisco)所能支持的羧化速率、电子传递所能支持的核酮糖-1,5-双磷酸(RuBP)再生速率和磷酸丙糖(TP)利用速率决定。利用改进的FvCB模型对光合速率-胞间CO<sub>2</sub>浓度(A-C<sub>i</sub>)曲线进行拟合, 能有效地估计最大羧化速率、最大电子传递速率、TP利用速率、明呼吸速率、叶肉细胞导度等生化参数, 促进我们对植物光合生理及其响应环境变化的理解和预测。该文首先详细地描述了FvCB模型, 并分析了此模型分段性和过参数化的特点。然后介绍利用FvCB模型对A-C<sub>i</sub>曲线进行拟合, 从而估计叶片光合生化参数的研究进展。光合生化参数估计经历了主观分段、分段拟合到客观分段、整体拟合几个阶段, 目标函数的最小化方法也从传统的最小二乘法为主转向基于现代计算机技术的迭代算法(如遗传算法、模拟退火算法)。然而, 如要进一步提高参数估计的可靠性和精确性, 还需加强Rubisco动力学属性和温度依赖性方面的研究。最后, 为了获取能更有效地进行参数估计的光合数据, 根据目前对FvCB模型拟合的认知, 整合并改进了A-C<sub>i</sub>曲线的测定方法。
地下水位下降对浑善达克沙地榆树光合及抗逆性的影响
[J].以浑善达克沙地优势树种榆树(Ulmus pumila)幼苗为研究对象, 在半控制试验中设置4个地下水位梯度(U1、U2、U3和U4, 地下水位分别为距离土壤表面1、2、3和4 m)研究了不同地下水位处理对榆树光合特征及抗逆性的影响。结果表明: 1)随着地下水位下降, 榆树对强、弱光的利用能力下降, 最大光合能力降低。随着地下水位的下降, 榆树叶片光饱和点、表观量子效率及暗呼吸速率均显著下降(p –2</sup>·s<sup>–1</sup>, 而U4最大净光合速率降至(8.98 ± 0.08) μmol·m<sup>–2</sup>·s<sup>–1</sup>, 下降了16.9%; 2)地下水位下降使榆树的光能转化效率下降。与U1相比, U2、U3和U4的Rubisco最大羧化效率、光呼吸速率、最大电子传递效率和磷酸丙糖利用率均显著下降(p 2</sub>补偿点显著升高(p p
不同灌水量对滴灌春小麦生长与生理指标的影响
[J].为揭示不同灌水量对滴灌春小麦生长与光合生理特性的影响,通过测坑试验设置4个灌水处理,灌溉定额分别为315、360、405、450mm,研究分析了灌水量对滴灌春小麦土壤水分时空分布特征和小麦生长与光合生理指标的影响。结果表明,W3处理土壤水分时空分布差异性最小。增加灌水量可使小麦生长与光合作用增加,但过度灌水可引起植株叶面积、地上生物量、穗重、净光合速率、气孔导度下降,即W3>W4>W2>W1。小麦生长和光合生理指标与灌水量回归分析表明,株高、蒸腾速率与灌水量显著相关(R<sup>2</sup>=0.99)。结果表明,滴灌春小麦灌溉定额405mm时,土壤水分分布均匀度较高、土壤水分时空分布差异性较小、小麦水分利用效率较高,光合产物积累与分配较合理。本研究结果为生产实践科学合理高效灌水管理提供了理论依据。
水分临界期持续干旱胁迫对夏玉米光合生理与产量形成的影响
[J].试验于2018年夏玉米生长季在临沂设施农业气象试验站自动控制遮雨棚内水分控制场进行,以郑单958(ZD958)为试材,在水分临界期(拔节-开花期)设计5个水分梯度控制试验,模拟研究干旱胁迫对夏玉米光合生理与产量形成的影响。结果表明:水分临界期持续干旱胁迫下,开花期夏玉米叶片叶绿素a含量、净光合速率、气孔导度、蒸腾速率、株高、叶面积、地上部干物重均降低,且干旱胁迫越重降低幅度越大,T5处理下上述要素分别较T1处理下降42.6%、75.5%、83.2%、65.1%、27.5%、18.2%和44.9%。随着干旱胁迫的加剧,叶片水分利用效率呈先增后降的变化趋势,且在轻度干旱胁迫时最高。持续干旱胁迫下,夏玉米叶、叶鞘获得的养分分配增多,茎、果实、根获得的养分供给减少,植株营养供给与分配的改变不利于夏玉米健壮生长,倒伏风险增加,影响产量形成。此外,持续干旱胁迫下,夏玉米秃尖比、双穗率升高,百粒重、理论产量大幅降低。
粮食作物对高温干旱胁迫的响应及其阈值研究进展与展望
[J].以大气温度升高和降水波动为主要标志的气候变暖对农业生产产生了重要影响,农作物生长发育、形态建成、生理生化过程等对气温、水分变化的响应特征、机理与后果等的研究,对揭示气候变化对农作物的影响及其机制具有重要作用,是制定适应对策的重要前提之一。本文分别回顾了国内外水稻、小麦、玉米等主要粮食作物生长、发育、生理生态因子、产量、水分利用效率等对高温、水分亏缺的反应以及对二者的协同响应,评述了高温和干旱缺水影响过程中作物的阈值反应及其临界值,讨论了当前高温干旱对作物影响研究中存在的问题。在此基础上,提出了今后应着重加强研究的关键科学问题:(1)干旱/湿润条件下的温度、水分阈值,以及多因子协同胁迫下作物的忍耐极限;(2)胁迫程度、时期、历时与作物自身生理生化过程的关系,以及细胞和分子水平上的响应机制;(3)作物对适度干旱的补偿效应在高温下是被削减还是增加,需要进一步研究和探索。
The impact of temperature variability on wheat yields
[J].
Productivity of spring wheat depending on the meteorological conditions of the forest-steppe in western Siberia
[J].
Keeping a positive carbon balance under adverse conditions: responses of photosynthesis and respiration to water stress
[J].
Photosynthetic performance and water relations in young pubescent oak (Quercus pubescens) trees during drought stress and recovery
[J].The capability to withstand and to recover from severe summer droughts is becoming an important issue for tree species in central Europe, as dry periods are predicted to occur more frequently over the coming decades. Changes in leaf gas exchange, chlorophyll a fluorescence and leaf compounds related to photoprotection were analysed in young Quercus pubescens trees under field conditions during two summers (2004 and 2005) of progressive drought and subsequent rewatering. Photochemistry was reversibly down-regulated and dissipation of excess energy was enhanced during the stress phase, while contents of leaf pigments and antioxidants were almost unaltered. Plant water status was restored immediately after rewatering. Net photosynthesis (P(n)) measured at ambient CO2 recovered from inhibition by drought within 4 wk. P(n) measured at elevated CO2--to overcome stomatal limitations--was restored after a few days. A network of photoprotective mechanisms acted in preserving the potential functionality of the photosynthetic apparatus during severe drought, leading to a rapid recovery of photosynthetic activity after rewatering. Thus, Q. pubescens seems to be capable of withstanding and surviving extreme drought events.
Climate impacts on agriculture: implications for crop production
[J].
Enhanced cold-season warming in semi-arid regions
[J].
Working GroupⅠContribution to the IPCC Fifth Assessment Report Climate Change 2013: the physical science basis, summary for policymakers
[R/OL].
Independent and combined effects of high temperature and drought stress during grain filling on plant yield and chloroplast EF-Tuexpression in spring wheat
[J].
Effect of high temperature and water stress on pollen germination and spikelet fertility in rice
[J].
Photosynthetic performance and light response of two olive cultivars under different water and light regimes
[J].
Climate influence on photosynthesis related morpho-physiological traits of wheat
[J].The morphophysiological parameters of leaves are often used for breeding material screening in selection programs for stress tolerance. In opposite, the pigments content (chlorophyll a and b, carotenoids) and their ratios, stoma quantity and size on both leaf sides and leaf area were involved into characterization of single soft spring wheat variety reactions to different climate conditions at different vegetation stages. Three geographic locations of the Krasnoyarsk Territory were involved. Chlorophyll content along with stoma area appeared to be the most sensitive traits and changed a lot, depending on weather conditions at the certain vegetation stage. So they were considered to be the main predictors of grain yield at 2020 vegetation period.
Influence of water stress on leaf photosynthetic characteristics in wheat cultivars differing in their susceptibility to drought
[J].
/
| 〈 |
|
〉 |
