Journal of Arid Meteorology ›› 2024, Vol. 42 ›› Issue (3): 473-483.DOI: 10.11755/j.issn.1006-7639(2024)-03-0473
• Technical Reports • Previous Articles
LONG Keji1,2(
), YANG Kangquan1,2(
), KANG Lan1,2
Received:2022-10-27
Revised:2023-06-18
Online:2024-06-30
Published:2024-07-11
通讯作者:
杨康权(1985—),男,广东湛江人,硕士,正高级工程师,主要从事中小尺度天气研究及数值预报释用。作者简介:龙柯吉(1987—),女,四川眉山人,硕士,正高级工程师,主要从事天气学与数值预报方向的研究。E-mail: longkeji945@163.com。
基金资助:CLC Number:
LONG Keji, YANG Kangquan, KANG Lan. Performance verification of multi-model heavy rainfall processes prediction in the Sichuan Basin[J]. Journal of Arid Meteorology, 2024, 42(3): 473-483.
龙柯吉, 杨康权, 康岚. 多模式对四川盆地强降水过程的预报性能检验[J]. 干旱气象, 2024, 42(3): 473-483.
Add to citation manager EndNote|Ris|BibTeX
URL: http://www.ghqx.org.cn/EN/10.11755/j.issn.1006-7639(2024)-03-0473
| 类型 | 个例日期 | 暴雨站数 (平均)/站 | 极值 (平均)/mm |
|---|---|---|---|
| A | 2018-07-01、2018-07-02、2018-07-08、2018-07-15、2019-07-19、2019-08-20、2019-09-07、2020-06-15、2020-07-09、2020-07-14、2020-07-15、2020-08-14、2020-09-09 | 298~970 (466) | 152~329 (239) |
| B | 2018-06-25、2018-06-29、2018-07-10、2018-07-14、2018-07-26、2019-08-05、2019-08-21、2019-09-09、2020-06-26、2020-06-29、2020-07-16、2020-07-24、2020-07-25、2020-07-29、2020-07-30、2020-08-06、2020-08-10、2020-08-12、2020-08-15、2020-09-05 | 205~1 261 (596) | 166~540 (276) |
| C | 2018-05-20、2018-05-21、2018-08-01、2018-08-02、2018-08-21、2018-09-04、2018-09-05、2019-04-19、2019-06-04、2019-06-27、2019-07-21、2019-07-28、2019-08-02、2019-08-04、2019-09-12、2019-09-13、2020-06-16、2020-08-11、2020-08-16、2020-08-17、2020-08-23、2020-08-29、2020-08-30 | 296~1 238 (616) | 142~360 (238) |
Tab.1 Information of heavy rainfall cases from 2018 to 2020 in Sichuan Province
| 类型 | 个例日期 | 暴雨站数 (平均)/站 | 极值 (平均)/mm |
|---|---|---|---|
| A | 2018-07-01、2018-07-02、2018-07-08、2018-07-15、2019-07-19、2019-08-20、2019-09-07、2020-06-15、2020-07-09、2020-07-14、2020-07-15、2020-08-14、2020-09-09 | 298~970 (466) | 152~329 (239) |
| B | 2018-06-25、2018-06-29、2018-07-10、2018-07-14、2018-07-26、2019-08-05、2019-08-21、2019-09-09、2020-06-26、2020-06-29、2020-07-16、2020-07-24、2020-07-25、2020-07-29、2020-07-30、2020-08-06、2020-08-10、2020-08-12、2020-08-15、2020-09-05 | 205~1 261 (596) | 166~540 (276) |
| C | 2018-05-20、2018-05-21、2018-08-01、2018-08-02、2018-08-21、2018-09-04、2018-09-05、2019-04-19、2019-06-04、2019-06-27、2019-07-21、2019-07-28、2019-08-02、2019-08-04、2019-09-12、2019-09-13、2020-06-16、2020-08-11、2020-08-16、2020-08-17、2020-08-23、2020-08-29、2020-08-30 | 296~1 238 (616) | 142~360 (238) |
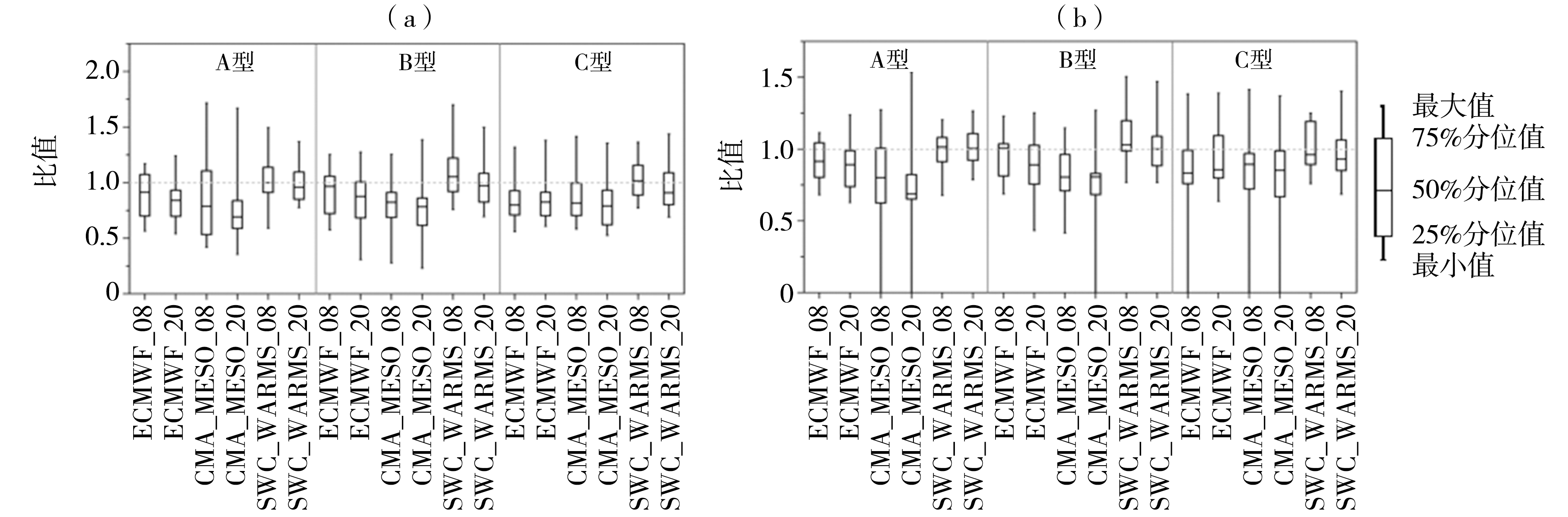
Fig.9 Boxplots of the ratio between predicted and actual precipitation intensity during the classified heavy rainfall processes (a) heavy rain, (b) rainstorm
Fig.10 Scatter map of predicted and actual precipitation extreme values (a) and comparison of predicted and actual extreme values during classified precipitation processes (b)
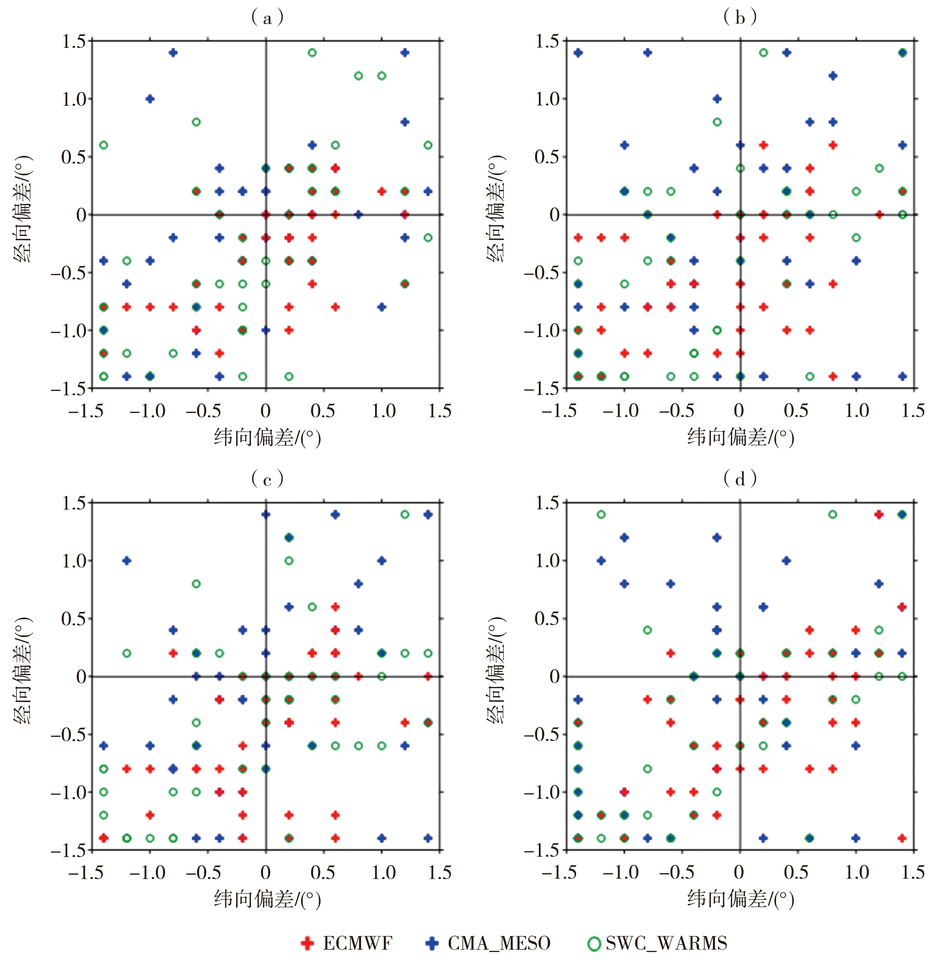
Fig.12 Boxplots of latitudinal (a, c) and meridional (b, d) deviation of heavy rain (a, b) and rainstorm (c, d) prediction during classified heavy rainfall processes
| [1] | 陈朝平, 卢萍, 2020. SWCWARMS模式不同起报时次对"18.05.21"强降水过程的预报能力评估[J]. 高原山地气象研究, 40(3): 1-9. |
| [2] |
陈得圆, 王磊, 李谢辉, 等, 2022. 四川盆地西部一次典型连续夜雨的数值模拟[J]. 高原气象, 41(1): 216-225.
DOI |
| [3] | 段静鑫, 赵天良, 徐祥德, 等, 2018. 四川暴雨过程中盆地地形作用的数值模拟[J]. 应用气象学报, 29(3): 307-320. |
| [4] | 郭旭, 龙柯吉, 范江琳, 等, 2021. 四种降水融合产品在四川持续性强降水过程中的对比评估[J]. 高原山地气象研究, 41(2): 42-52. |
| [5] | 康岚, 郝丽萍, 罗玲, 等, 2013. 1002号台风对四川盆地大暴雨的影响分析[J]. 热带气象学报, 29(1): 169-176. |
| [6] | 雷丽娟, 雷小途, 2018. 东海台风对四川东部暴雨的影响研究[J]. 热带气象学报, 34(3): 314-323. |
| [7] | 李博渊, 赵江伟, 庄晓翠, 2020. ECMWF细网格模式探空在阿勒泰地区短时强降水预报中的统计检验[J]. 沙漠与绿洲气象, 14(3): 61-67. |
| [8] | 李银娥, 张文言, 陈赛男, 等, 2019. 2008—2017年鄂西南区域极端降水特征及成因[J]. 干旱气象, 37(6): 875-884. |
| [9] | 龙柯吉, 谷军霞, 师春香, 等, 2020. 多种降水实况融合产品在四川一次强降水过程中的评估[J]. 高原山地气象研究, 40(2): 31-37. |
| [10] | 龙妍妍, 范广洲, 段炼, 等, 2016. 中国近54年来夏季极端降水事件特征研究[J]. 气候与环境研究, 21(4): 429-438. |
| [11] |
潘留杰, 张宏芳, 陈小婷, 等, 2017. ECMWF集合预报在中国中部地区的降水概率预报性能评估[J]. 高原气象, 36(1): 138-147.
DOI |
| [12] | 蒲学敏, 白爱娟, 毛晓亮, 2021. 高原涡与西南涡相互作用引发暴雨过程及云系特征分析[J]. 气象科技进展, 11(4): 89-101. |
| [13] |
沈晓燕, 申燕玲, 权晨, 等, 2022. 不同方法对青海2020年强降水模式产品预报性能的检验对比[J]. 干旱气象, 40(2): 333-343.
DOI |
| [14] | 师锐, 何光碧, 周春花, 2021. 四川一次持续性暴雨过程的水汽特征及多尺度系统影响分析[J]. 干旱气象, 39(3): 415-425. |
| [15] |
师锐, 何光碧, 龙柯吉, 2015. 一次四川盆地低涡型特大暴雨过程分析[J]. 干旱气象, 33(5): 845-855.
DOI |
| [16] | 王彬雁, 陈朝平, 黄楚惠, 2020. SAL方法在四川降水预报检验中的应用[J]. 干旱气象, 38(3): 472-479. |
| [17] | 王茂书, 肖递祥, 袁亮, 等, 2020. 两种不同路径台风对四川东北部持续性暴雨影响对比分析[J]. 沙漠与绿洲气象, 14(6): 29-38. |
| [18] | 肖递祥, 王佳津, 曹萍萍, 等, 2020. 四川盆地突发性暖区暴雨特征及环境场条件分析[J]. 自然灾害学报, 29(3): 110-118. |
| [19] | 肖红茹, 顾清源, 何光碧, 等, 2009. 一次大暴雨过程中高原低涡与西南低涡相互作用机制探讨[J]. 暴雨灾害, 28(1): 14-20. |
| [20] | 肖红茹, 王佳津, 肖递祥, 等, 2021. 四川盆地暖区暴雨特征分析[J]. 气象, 47(3): 303-316. |
| [21] | 杨康权, 卢萍, 张琳, 2017. 高原低涡影响下的一次暖区强降水特征分析[J]. 热带气象学报, 33(3): 415-425. |
| [22] | 张武龙, 康岚, 陶勇, 等, 2021a. 四川盆地极端短时强降水中尺度对流系统组织类型[J]. 成都信息工程大学学报, 36(6): 697-704. |
| [23] | 张武龙, 康岚, 周威, 等, 2021b. 基于GRAPES-MESO模式的极端短时强降水预报[J]. 干旱气象, 39(3): 507-513. |
| [24] |
郑婧, 夏侯杰, 陈娟, 等, 2020. 基于ECMWF模式的定量降水客观订正方法[J]. 高原气象, 39(4): 830-839.
DOI |
| [25] | 周秋雪, 康岚, 蒋兴文, 等, 2019. 四川盆地边缘山地强降水与海拔的关系[J]. 气象, 45(6): 811-819. |
| [26] | 周懿, 郭云云, 余芳, 2020. 四川盆地一次西风槽和台风共同作用暴雨过程分析[J]. 高原山地气象研究, 40(2): 11-17. |
| [27] | ALEXANDER L V, 2016. Global observed long-term changes in temperature and precipitation extremes: A review of progress and limitations in IPCC assessments and beyond[J]. Weather and Climate Extremes, 11: 4-16. |
| [28] | GRIFFITHS M L, BRADLEY R S, 2007. Variations of twentieth century temperature and precipitation extreme indicators in the northeast United States[J]. Journal of Climate, 20: 5 401-5 417. |
| [29] | SUN J, ZHANG F Q, 2017. Daily extreme precipitation and trends over China[J]. Science China Earth Sciences, 60: 2 190-2 203. |
| [30] | ZHAI P M, ZHANG X B, WAN H, et al, 2015. Trends in total precipitation and frequency of daily precipitation extremes over China[J]. Journal of Climate, 18(7): 1 096-1 108. |
| [31] | ZHANG W X, ZHOU T J, 2019. Significant increases in extreme precipitation and the associations with global warming over the global land monsoon regions[J]. Journal of Climate, 32(24): 8 465-8 488. |
| [1] | ZHU Wengang, SHENG Chunyan, FAN Sudan, RONG Yanmin, QU Meihui. Research on multi-model integrated precipitation forecast based on feed forward neural network [J]. Journal of Arid Meteorology, 2024, 42(1): 117-128. |
| [2] | LU Ye, MENG Miaozhi, QIAO Danyang, REN Huan, HE Yao, HAN Jie. Fine objective forecast method of precipitation phases in the winter half-year in Baoji City [J]. Journal of Arid Meteorology, 2023, 41(5): 820-827. |
| [3] | PAN Liujie, LIANG Mian, QI Chunjuan, LI Peirong, ZHU Qingliang. Characteristics of meteorological elements and objective forecast verification at the key venues of “the 14th National Games” [J]. Journal of Arid Meteorology, 2023, 41(3): 491-502. |
| [4] | WANG Yehong, ZHAO Yuchun. Verification and assessment of persistent rainfall forecasts of GRAPES-REPS in pre-summer of 2017 in southern China [J]. Journal of Arid Meteorology, 2023, 41(2): 328-340. |
| [5] | WANG Junchao, WANG Zhibin, LAI Anwei, XIAO Yanjiao, WANG Jue. Experimental study on short-term and impending prediction of precipitation echo based on blending method of numerical prediction and radar extrapolation prediction [J]. Journal of Arid Meteorology, 2022, 40(3): 485-499. |
| [6] | JI Xueshuai, WANG Lijing, GUO Hong, KANG Bosi, HUANG Shanjiang, ZHANG Xidan, GUO Xuhui. Analysis of characteristics of precipitation phase during a rain-snow weather process in Zhangjiakou based on multi-source observation data [J]. Journal of Arid Meteorology, 2022, 40(3): 507-515. |
| [7] | HUANG Chuhui, NIU Jinlong, LI Guoping, CHEN Chaoping, XIAO Dixiang, ZHANG Ping. Correction method of precipitation in steep terrain transition zone forecasted based on southwest center WRF ADAS real-time modeling system [J]. Journal of Arid Meteorology, 2022, 40(2): 317-326. |
| [8] | CHENG Peng, LUO Han, CHEN Peixuan, CAO Yanchao, LI Baozi, CHEN Qi. Statistical Characteristics and Early Warning Indicators of Short-term Heavy Rainfall in the Loess Plateau of Qingyang [J]. Journal of Arid Meteorology, 2020, 38(2): 319-328. |
| [9] | DONG Wei, YANG Guangwu, MA Liangchen, ZHU Dan. Discrimination of Winter Precipitation Types Based on Temperature in Changchun City [J]. Journal of Arid Meteorology, 2019, 37(3): 363-. |
| [10] | WANG Chengfu1, XIE Rui2, JI Zhejun1, AO Zejian1,LUO Wangjun1, CHEN Yang1, WEI Juanjuan1, JIN Manhui1. The Circulation Classification and Characteristics of Heavy Rainfall in Gannan Plateau [J]. Journal of Arid Meteorology, 2019, 37(1): 97-108. |
| [11] | ZHANG Pingping, ZHANG Ning, DONG Liangpeng, ZHANG Mengmeng. Research on Concept Model of Sudden Mesoscale Rainstorms with Three Types in Sanxia Valley [J]. Journal of Arid Meteorology, 2017, 35(6): 1027-1035. |
| [12] | SHI Weiheng, WANG Lei, HAN Fei, YU Wenjie,KONG Fanlong, SONG Haiqing. Research on Winter Precipitation Type Forecast Model in Liaocheng of Shandong Province Based on Physical Parameters [J]. Journal of Arid Meteorology, 2017, 35(5): 822-829. |
| [13] | FANG Zheqing1,2, HUANG Ningli2, WANG Linwei3, FU Ying3. Application of Sun-Photometer and Microwave Radiometer Data to Improve Forecast Ability About Afternoon Severe Convection in Summer [J]. Journal of Arid Meteorology, 2017, 35(1): 157-163. |
| [14] | XU Min, ZHANG Yu, ZHANG Shaohui. Application of Wind Profiler Radar Data in a Heavy Precipitation Process in Central Hebei Province [J]. Journal of Arid Meteorology, 2016, 34(5): 898-905. |
| [15] | DUAN Yunxia, LI Deqin, LI Dawei, LIANG Hong, CHAI Xiaoling, ZHANG Shuai. Analysis on Precipitation Phase Characteristics and Its Forecast Methods of Shenyang [J]. Journal of Arid Meteorology, 2016, 34(1): 51-57. |
| Viewed | ||||||
|
Full text |
|
|||||
|
Abstract |
|
|||||
©2018 Journal of Arid Meteorology
Tel: 0931-2402270、0931-2402775 Email:ghqx@iamcma.cn、ghs_ghqx@sina.com