干旱气象 ›› 2025, Vol. 43 ›› Issue (5): 733-744.DOI: 10.11755/j.issn.1006-7639-2025-05-0733

• 论文 • 上一篇    下一篇

库车河铜场水库典型雨洪过程的气象水文特征

江远安1(), 杨柳2, 于碧馨1, 周雅蔓1, 余行杰3, 张俊兰1()   

  1. 1.新疆维吾尔自治区气象台,新疆 乌鲁木齐 830002
    2.巴音郭楞蒙古自治州气象局,新疆 库尔勒 841000
    3.新疆维吾尔自治区气候中心,新疆 乌鲁木齐 830002
  • 收稿日期:2025-04-03 修回日期:2025-06-05 出版日期:2025-10-31 发布日期:2025-11-09
  • 通讯作者: 张俊兰(1967—),女,河南许昌人,正高级工程师,从事天气预报工作。E-mail:1274574468@qq.com
  • 作者简介:江远安(1969—),女,安徽和县人,正高级工程师,从事气象灾害风险预警和评估研究。E-mail:406668933@qq.com
  • 基金资助:
    新疆维吾尔自治区重点研发任务专项(2022B03027-3)

Meteorological and hydrological characteristics of typical rain-flood processes in the Kuche River Tongchang Reservoir

JIANG Yuanan1(), YANG Liu2, YU Bixin1, ZHOU Yaman1, YU Xingjie3, ZHANG Junlan1()   

  1. 1. Xinjiang Meteorological Observatory, Urumqi 830002, China
    2. Bayingolin Meteorological Bureau, Korla 841000, Xingjiang, China
    3. Xinjiang Climate Center, Urumqi 830002, China
  • Received:2025-04-03 Revised:2025-06-05 Online:2025-10-31 Published:2025-11-09

摘要:

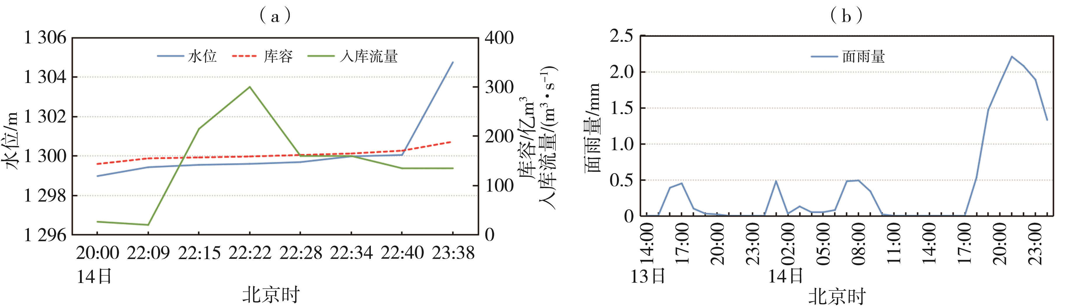
南疆铜场水库是库车河流域的中型拦河水库,研究水库的气象水文量化指标对水库涨水的预报预警有重要意义。选取库车河流域19个自动气象站小时降水量、三源融合降水产品(China Meteorological Administration Multi-source Merged Precipitation Analysis System,CMPAS)以及水库入库流量、水位等数据,筛选水库9场暴雨洪水过程进行环流分型,并分析2场水库典型雨洪过程的气象和水文特征。结果表明:(1)水库雨洪过程的环流形势分为低涡(槽)-切变线型(简称“I型”)和低涡(槽)-气旋型(简称“II型”)两类环流型。(2)降水强度、发生区域、历时长短决定水库涨水速度,I型过程为短时强降水型涨水,II型过程为长历时弱降水型涨水,I型过程涨水速度快于II型。(3)入库流量增幅与小时面雨量大小相关,小时面雨量<0.5 mm时,入库流量变幅不大;小时面雨量>2.0 mm时,入库流量明显增大。(4)水库涨水与雨情存在滞后性响应,I型过程涨水开始时间和入库洪峰流量出现时间落后于降水开始时间3~4 h,水库最高水位出现时间落后于降水开始时间4~5 h,落后于入库洪峰流量1~2 h;II型过程涨水开始时间、入库洪峰流量和最高水位出现时间均不同程度晚于I型。

关键词: 铜场水库, 雨洪过程, 环流分型, 滞后性响应, 面雨量

Abstract:

The Tongchang Reservoir in southern Xinjiang is a medium-sized river-blocking reservoir in the Kuche River Basin, where heavy rainfall is the primary factor contributing to reservoir-induced floods. Studying the quantitative meteorological and hydrological indicators of the reservoir is of great significance for the flood warning and prediction of the reservoir. Based on hourly precipitation data from 19 automatic weather stations in the Kuche River Basin, the three-source integrated precipitation product (China Meteorological Administration Multi-source Merged Precipitation Analysis System, CMPAS), as well as the inflow volume and water level of the reservoir, nine flood events caused by heavy rainfalls in the reservoir were selected and classified into circulation types, and the meteorological and hydrological characteristics of two typical rain and flood events in the reservoir were analyzed. The results are as follows: (1) The circulation patterns of the rain-flood processes in the reservoir can be classified into two types: low vortex (trough)-shear line type (the type I) and low vortex (trough)-cyclone type (the type II). (2) The intensity of precipitation, the rainfall area, and the duration all determine the rate of water level rise in the reservoir. The type I process is characterized by short-term heavy precipitation and rapid water level rise, while the type II process is characterized by long-duration weak precipitation and slow water level rise. The water level rise speed during the type I process is faster than that during the type II process. (3) The increase in the inflow into the reservoir is related to the magnitude of the hourly areal rainfall. When the hourly areal rainfall is less than 0.5 mm, the variation range of the inflow into the reservoir is not significant, while the hourly areal rainfall is greater than 2.0 mm, the inflow into the reservoir increases significantly. (4) The water level rise of the reservoir has a lagging response to the meteorological conditions. For the type I process,the start time of water level rise and the occurrence time of the peak inflow of the reservoir are 3-4 hours behind the start time of precipitation, and the occurrence time of the highest water level in the reservoir is 4 to 5 hours later than the starting time of precipitation, and 1 to 2 hours later than the peak inflow flood into the reservoir. The start time of the flood rise during the type II process, the peak inflow, and the time when the highest water level occurs are all later than those during the type I process to varying degrees.

Key words: the Tongchang Reservoir, rain-flood processes, circulation typing, lagging response, areal rainfall

中图分类号: