库车河铜场水库典型雨洪过程的气象水文特征
Meteorological and hydrological characteristics of typical rain-flood processes in the Kuche River Tongchang Reservoir
通讯作者: 张俊兰(1967—),女,河南许昌人,正高级工程师,从事天气预报工作。E-mail:1274574468@qq.com。
责任编辑: 王涓力;校对:黄小燕
收稿日期: 2025-04-3 修回日期: 2025-06-5
| 基金资助: |
|
Received: 2025-04-3 Revised: 2025-06-5
作者简介 About authors
江远安(1969—),女,安徽和县人,正高级工程师,从事气象灾害风险预警和评估研究。E-mail:406668933@qq.com。
南疆铜场水库是库车河流域的中型拦河水库,研究水库的气象水文量化指标对水库涨水的预报预警有重要意义。选取库车河流域19个自动气象站小时降水量、三源融合降水产品(China Meteorological Administration Multi-source Merged Precipitation Analysis System,CMPAS)以及水库入库流量、水位等数据,筛选水库9场暴雨洪水过程进行环流分型,并分析2场水库典型雨洪过程的气象和水文特征。结果表明:(1)水库雨洪过程的环流形势分为低涡(槽)-切变线型(简称“I型”)和低涡(槽)-气旋型(简称“II型”)两类环流型。(2)降水强度、发生区域、历时长短决定水库涨水速度,I型过程为短时强降水型涨水,II型过程为长历时弱降水型涨水,I型过程涨水速度快于II型。(3)入库流量增幅与小时面雨量大小相关,小时面雨量<0.5 mm时,入库流量变幅不大;小时面雨量>2.0 mm时,入库流量明显增大。(4)水库涨水与雨情存在滞后性响应,I型过程涨水开始时间和入库洪峰流量出现时间落后于降水开始时间3~4 h,水库最高水位出现时间落后于降水开始时间4~5 h,落后于入库洪峰流量1~2 h;II型过程涨水开始时间、入库洪峰流量和最高水位出现时间均不同程度晚于I型。
关键词:
The Tongchang Reservoir in southern Xinjiang is a medium-sized river-blocking reservoir in the Kuche River Basin, where heavy rainfall is the primary factor contributing to reservoir-induced floods. Studying the quantitative meteorological and hydrological indicators of the reservoir is of great significance for the flood warning and prediction of the reservoir. Based on hourly precipitation data from 19 automatic weather stations in the Kuche River Basin, the three-source integrated precipitation product (China Meteorological Administration Multi-source Merged Precipitation Analysis System, CMPAS), as well as the inflow volume and water level of the reservoir, nine flood events caused by heavy rainfalls in the reservoir were selected and classified into circulation types, and the meteorological and hydrological characteristics of two typical rain and flood events in the reservoir were analyzed. The results are as follows: (1) The circulation patterns of the rain-flood processes in the reservoir can be classified into two types: low vortex (trough)-shear line type (the type I) and low vortex (trough)-cyclone type (the type II). (2) The intensity of precipitation, the rainfall area, and the duration all determine the rate of water level rise in the reservoir. The type I process is characterized by short-term heavy precipitation and rapid water level rise, while the type II process is characterized by long-duration weak precipitation and slow water level rise. The water level rise speed during the type I process is faster than that during the type II process. (3) The increase in the inflow into the reservoir is related to the magnitude of the hourly areal rainfall. When the hourly areal rainfall is less than 0.5 mm, the variation range of the inflow into the reservoir is not significant, while the hourly areal rainfall is greater than 2.0 mm, the inflow into the reservoir increases significantly. (4) The water level rise of the reservoir has a lagging response to the meteorological conditions. For the type I process,the start time of water level rise and the occurrence time of the peak inflow of the reservoir are 3-4 hours behind the start time of precipitation, and the occurrence time of the highest water level in the reservoir is 4 to 5 hours later than the starting time of precipitation, and 1 to 2 hours later than the peak inflow flood into the reservoir. The start time of the flood rise during the type II process, the peak inflow, and the time when the highest water level occurs are all later than those during the type I process to varying degrees.
Keywords:
本文引用格式
江远安, 杨柳, 于碧馨, 周雅蔓, 余行杰, 张俊兰.
JIANG Yuanan, YANG Liu, YU Bixin, ZHOU Yaman, YU Xingjie, ZHANG Junlan.
0 引言
南疆库车市作为国家“丝绸之路经济带”的一颗明珠,不仅是新疆重要的农牧业基地和能源核心区,更是塔里木油气开发的主战场。受暖温带干旱气候与复杂地形影响,库车市年平均降水量不足80 mm,水资源匮乏,但极端降水引发的局地洪涝灾害频发(吕新生等,2021),历史上库车河流域曾在1958年出现过1 940 m³·s-1的特大洪峰,次大洪峰出现在2010年7月29日,洪峰流量为1 360 m³·s-1,且自20世纪90年代起,铜场水库兰杆站(出库水文站)洪峰流量显著增大(富飞等,2011),洪水及其诱发的山洪、泥石流等次生灾害严重威胁区域能源安全与经济发展。铜场水库作为防洪控制性工程,对缓解区域用水矛盾、保障下游安全至关重要。
降水变化对水库洪水有着显著影响,准确把握降水与水库洪水关系是提升预报预警能力、实现有效防洪减灾的关键(Osterkamp and Friedman, 2000;马骁颖等,2016;靳少波,2019;刘世军等,2020;刘敏等,2022;胡庆芳等,2022)。受全球气候变化影响,不同流域的降水量、降雨强度和最大洪峰流量均有不同程度增加(满苏尔·沙比提等,2008;Yin et al.,2023;程倩等,2024;李文鑫等,2024;孔伟明等,2024;吕书婷等,2025),环流形势作为影响降水的核心要素,是气象水文交叉领域的研究重点。近年来,很多研究基于多种主客观分型方法,针对我国不同流域的环流形势与降水关系进行分析,揭示流域极端降水事件与环流背景的关系(张灵等,2022;谢家旭等,2023;高琦等,2023),且不同环流型对流域降水的影响存在区域差异(朱玲,2010;周佰铨,2018)。降水与流量响应模型的构建,量化了降水对水库来水量的贡献(辛昱昊等,2021;夏晓玲等,2023;常勇等,2025),面雨量预报技术的发展(陈颖等,2017;朱占云等,2017;包红军等,2020)和智能网格产品等新资料的应用(卢小凤等,2020;朱国光和陈鹤,2022;杨柳等,2025)为精准预报流域水文过程奠定了良好基础。干旱半干旱地区水资源的合理调配与高效利用是保障区域可持续发展的核心,相较于湿润半湿润地区,干旱半干旱地区的流域降水-水文响应关系研究相对滞后,降水与环流形势的相关研究多集中于大尺度环流背景分析,缺乏典型洪水过程中环流分型与降水-水文响应的精细化研究,尤其在基于环流分型预报降水以支撑水库精细化调度方面,现有研究难以满足实际应用需求,部分仅关注了水资源的可持续利用评价(马士红,2011;赵琪,2024),但对于如何结合气象信息优化水资源管理策略的研究较少(白松竹等,2024),使得降水-水文响应关系的研究成果在水资源实际管理中的价值未能充分发挥。针对南疆库车河铜场水库流域的研究主要集中于水文过程计算(富飞等,2011;刘湘,2025)和水资源评价(朱俊海,2022),对于如何通过环流分型实现对降水的精准预报和水资源调控,在库车河铜场水库这一区域仍缺乏深入研究。目前,铜场水库降水与洪水响应机理尚不明确,防洪调度过程中缺乏科学合理的动态阈值支撑,这严重制约了水库的精准化、智能化管理(张林梅等,2025)。
本文选取库车河铜场水库流域为研究对象,通过典型洪水环流分型,剖析降水对水库流域的水文响应机制,基于环流分型判断降水的时间和强度,有利于精准预报雨情和水情,及时发布预报预警;并结合降水持续时间与强度,合理安排泄洪量,在保证水库安全的前提下,最大程度地挖掘水资源利用潜力,以提升防汛与用水保障能力,优化雨洪调度,挖掘洪水资源利用潜力,以期为南疆干旱区水资源科学管理与防洪减灾提供理论依据和切实可行的实践支撑,并进一步完善干旱区水库雨洪灾害预警与安全运行技术体系。
1 研究区概况
铜场水库(41.91°N,83.05°E)(图1)位于新疆维吾尔自治区阿克苏地区库车市北东北方向22 km处,属中型III等工程规模(李德志,2011),库容6 560万m3,库容面积4.5 km2,百年一遇入库流量为1 940 m³·s-1、校核流量(2 000 a一遇)为4 000 m³·s-1。其扼守库车河要冲,库车河年均径流量3.57亿m³,是下游绿洲的“生命之源”,铜场水库的建设保障了下游绿洲的水资源稳定供给,对维系区域生态、支撑农业灌溉及居民生活用水至关重要。铜场水库流域洪水主要有暴雨、融冰雪、暴雨和融冰雪两者叠加3种类型,其中暴雨型洪水影响最大。根据来水的径流量将洪水预警分为4个等级,即蓝色预警(4级,220 m³·s-1)、黄色预警(3级,300 m³·s-1)、橙色预警(2级,500 m³·s-1)、红色预警(1级,1 940 m³·s-1),配合最大606 m³·s-1的校核洪水位下泄能力,有效抵御2 000 a一遇洪水,极大降低洪水灾害风险,为区域经济稳定发展筑牢安全屏障,是库车市经济社会发展的关键水利枢纽。依据地形地势和海拔分布,将库车河分为上游(高山区,海拔2 000~3 000 m)、中游(中山区,海拔1 500~2 000 m)和下游(浅山带和戈壁,海拔1 500 m以下),目前库车河上游有5个气象站、中游有12个气象站、下游2个气象站,阿艾水文站(42.13°N,83.13°E)是中高山区水量控制站,距铜场水库42 km,海拔1 636 m。
图1
图1
铜场水库气象站、水文站和水库流域汇水区
(蓝实线为汇水区边界,红、蓝、白圈分别为上、中、下游气象站,玫红圈为水文站;红色三角为铜场水库,下同)
注:1:Y8635,2:Y8634,3:Y8633,4:Y5970,5:Y8630,6:Y8636,7:Y5972,8:Y8625,9:Y5971,10:Y5171,11:Y8705,12:Y8706,13:Y5905,14:Y8629,15:Y8628,16:Y8627,17:Y8626,18:Y8638,19:Y8637
Fig.1
Meteorological and hydrological stations in the Tongchang Reservoir, and the catchment area of the reservoir watershed
(The catchment area boundary marked by the blue solid line, the meteorological stations at the upper, middle and lower streams indicated by red, blue, white circles, the hydrological station indicated by rose red circle; the red triangle is for the Tongchang Reservoir, the same as below)
2 资料和方法
资料主要包括:(1)中国气象信息综合分析处理系统平台高、低空环流形势,包括位势高度、风场等;(2)库车河流域19个自动气象站小时降水量;(3)铜场水库管理局提供的水位、库容和库车市水文局提供的阿艾水文站入库流量(简称“入库流量”)数据;(4)基于三源融合降水分析系统(China Meteorological Administration Multi-source Merged Precipitation Analysis System,CMPAS)的逐小时降水近实时融合实况分析产品(简称“NRT产品”)(0.01°×0.01°),可弥补库车河流域上游多山地带气象站点稀少的现状。上述资料时间段对应铜场水库2018—2023年9场暴雨洪水过程时段。
短时强降水标准依据新疆气象局规定,当某站小时降水量≥10.0 mm称一次短时强降水;降水时数指统计时段内小时降水量≥0.1 mm的小时数之和。环流分型主要运用天气图分析法,通过分析地面和高空天气图,依据气压场、风场、温度场等气象要素的分布特征,将环流形势划分为不同类型。面雨量计算,基于新疆中小河流流域地理信息,在ArcGIS中确定水库流域集雨区边界,依据网格算数平均法,提取汇雨区边界范围内所有CMPAS降水网格资料(1 h,0.01°),对其算术平均后得到水库流域面雨量。文中所有时间为北京时。
3 环流分型
依据铜场水库水位、库容、入库流量等数据,选取2018—2023年9场暴雨洪水(简称“雨洪”)过程(表1),分析水库雨洪前环流形势及高低空天气系统配置。通过环流分型可将500 hPa环流归纳为低涡型和低槽型,850~700 hPa归纳为气旋型和切变线型,环流形势高低空配置分为低涡(槽)-切变线型(I型)和低涡(槽)-气旋型(II型)两种;若850~700 hPa有偏东急流,则再分为两个副型:低涡(槽)-(切变线+偏东急流)型[简称“I型(副)”]、低涡(槽)-(气旋+偏东急流)型[简称“II型(副)”]。从表1可见,9次雨洪过程的环流形势I型共有5次,其中I型(副)1次;II型4次,其中II型(副)2次。I型环流形势为“两高夹一低”经向环流,100 hPa南亚高压双体型呈“西高东低”分布,从高低空天气系统空间配置[图2(a)]来看,“高空低槽+低层切变线”是典型特征,500 hPa西伯利亚低槽底部分裂短波和减弱东移过程中,配合850~700 hPa低层切变线,造成I型雨洪过程的降水天气。II型环流形势呈“两脊一槽”,100 hPa南亚高压双体型呈“东高西低”分布,500~100 hPa巴尔喀什湖上空低涡深厚且垂直呈前倾结构,500 hPa巴尔喀什湖低涡底部分裂短波、低涡减弱东移,700 hPa有切变线,配合850 hPa气旋和偏东急流,水库位于高空西南气流、低层切变线附近、气旋北部,盆地东部有低空急流配合,这种“高空低涡+(低空气旋+偏东急流)”配置,为雨洪过程的降水提供了动力和水汽条件[图2(b)]。
表1 铜场水库2018—2023年9场暴雨洪水过程水情及环流分型
Tab.1
| 序号 | 时间 | 最高水位/m | 最高水位出现时间 | 最大库容/(万m³) | 阿艾站流量/(m³·s-1) | 环流形势 |
|---|---|---|---|---|---|---|
| 1 | 2018年6月18日 | 1 311.29 | - | 958.00 | 244.0 | II型 |
| 2 | 2019年6月24日 | 1 309.83 | - | 766.00 | 98.2 | I型 |
| 3 | 2019年7月8日 | 1 307.59 | - | 609.00 | 105.0 | II型 |
| 4 | 2020年7月4日 | 1 306.04 | - | 502.00 | 213.0 | I型(副) |
| 5 | 2021年7月14日 | 1 304.75 | 14日23:38 | 189.00 | 300.0 | I型 |
| 6 | 2021年8月10日 | 1 304.86 | - | 419.00 | 176.0 | I型 |
| 7 | 2022年8月8—10日 | 1 311.05 | 9日20:12 | 921.41 | 326.0 | II型(副) |
| 2022年8月12—13日 | 1 312.71 | 13日04:05 | 1 145.93 | 384.0 | ||
| 8 | 2023年6月15—16日 | 1 313.84 | 15日20:20 | 1 300.38 | 145.0 | II型(副) |
| 9 | 2023年7月10日 | 1 311.67 | 10日13:30 | 1 004.86 | 232.0 | I型 |
注:“-”表示无数据。
图2
图2
铜场水库雨洪过程I型(a)和Ⅱ型(b)环流形势高低空天气系统配置
(蓝色实线为位势高度,棕色实线为槽线,字母“D”和“G”分别表示位势高度“低中心”和“高中心”)
Fig.2
The high and low level weather system configuration of the circulation pattern of the type I (a) and the type II (b) during rainstorm and flood processes in the Tongchang Reservoir
(Blue solid lines are for geopotential height, brown solid lines are for trough lines, the letters “D” and “G”represent the “low center” and “high center” of geopotential height, respectively)
4 典型雨洪过程
以铜场水库黄色预警(3级),即入库流量超过300 m³·s-1的雨洪过程作为典型过程标准,选取2021年7月14日(I型)和2022年8月8—13日(II型)两次雨洪过程,对比两类环流形势下雨洪过程的气象和水文特征。
4.1 典型I型过程
4.1.1 雨情特征和降水时空分布
图3为2021年7月13—15日库车河流域上、中、下游降水落区集中的10个代表气象站小时降水量变化。其中,上游站点为黑英山乡喀拉果勒村锰矿2号矿(Y8635)、阿格乡喀热古勒村独杨沟(Y8634)、阿格乡库尔干道路养护站(Y8705)、G217国道969公里站(Y8706);中游站点为阿格乡夏阔坦煤矿(Y8628)、阿格乡阿艾村(Y8627)、阿格乡明矾沟煤矿(Y8638)、阿格乡阿格村(Y8630);下游站点为阿格乡贝迪里克村(Y8625)、阿格乡康村站(Y5971)。结合图3和表2可知,降水过程经历了13日17:00前后(第一轮,历时2~3 h)、14日09:00前后(第二轮,历时2~3 h)、14日19:00—15日03:00(第三轮,历时8 h)3个阶段。过程平均降水时长10.7 h,大部站点为11~14 h;中游雨情强,平均累计降水量23.3 mm,降水不随海拔高度降低而减少,4个代表站(Y8628、Y8627、Y8638、Y8630)累计降水量为40.2~61.1 mm,最大降水中心为Y8628。上、中、下游共12站次出现短时强降水(≥10.0 mm·h-1),其中中游7站次(占58.3 %)且2站次雨强超过20.0 mm·h-1,最大雨强24.2 mm·h-1出现在Y8638(14日08:00),降水时数达10~18 h,其中Y8630为18 h。上、下游降水较弱,上游累计降水量为0.6~15.9 mm,最大雨强为0.3~5.2 mm·h-1,降水时数为3~12 h,最强中心均出现在Y8706;下游累计降水量为7.7~11.1 mm,最大雨强为6.3 mm·h-1,降水时数为5~6 h。
图3
图3
2021年7月13—15日库车河流域上游(a)、中游(b)、下游(c)气象站小时降水量变化
Fig.3
Variation of hourly precipitation at meteorological stations in the upper (a), middle (b) and lower (c) reaches of the Kuche River Basin from July 13 to 15, 2021
表2 2021年7月13日14:00—15日05:00库车河流域降水特征值
Tab.2
| 站点 | 累计 降水量/mm | 最大雨强/(mm·h-1) | 降水时数/ h | |
|---|---|---|---|---|
| 上游 | Y8635 | 5.0 | 4.1 | 5 |
| Y8634 | 0.6 | 0.3 | 3 | |
| Y8705 | 11.0 | 5.1 | 11 | |
| Y8706 | 15.9 | 5.2 | 12 | |
| 中游 | Y8628 | 61.1 | 21.6 | 9 |
| Y8627 | 47.5 | 19.9 | 14 | |
| Y8638 | 45.3 | 24.2 | 11 | |
| Y8630 | 40.2 | 15.2 | 18 | |
| 下游 | Y8625 | 7.7 | 5.8 | 6 |
| Y5971 | 11.1 | 6.3 | 5 |
这次雨洪过程总降水中游最强,强降水区位于Y8638东北部,最大格点降水量接近70.0 mm(图略)。从图4可见,第一轮降水较弱,累计降水量不超过10.0 mm,第二轮降水略强,强降水区位于中游东南部,第三轮降水最强,强降水区位于中游,最大格点接近50.0 mm。结合3轮降水的最大小时降水分布来看,第一、第二轮最大小时降水分别不超过10.0 mm和5.0 mm,第三轮最强,接近25.0 mm(Y8638西南部)。这次I型典型雨洪过程降水历时短,流域内中游雨情强,上、下游弱。
图4
图4
2021年7月13日14:00—15日03:00库车河流域降水分布(单位:mm)
Fig.4
Distribution of precipitation in the Kuche River Basin from 14:00 July 13, to 03:00 July 15, 2021 (Unit: mm)
4.1.2 水情特征和小时面雨量对入库流量的影响
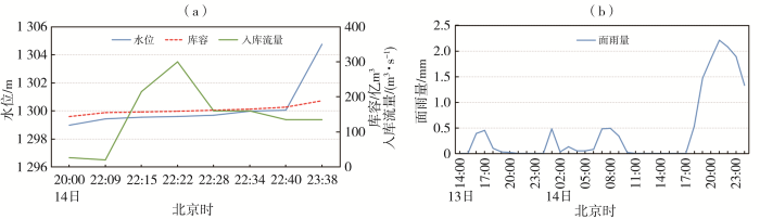
此次雨洪过程中水库共出现1次涨水(图5),14日22:09—22:40水位和库容缓慢上涨,22:40—23:38上涨明显,水位由1 300.05 m增长至1 304.75 m;库容由170.72亿m3增长至189.00亿m3。阿艾水文站入库流量(简称“入库流量”)变化为单峰型,22:09—22:22入库流量猛烈增长,由20.20 m3·s-1增长至300.0 m3·s-1。库车河流域的汇雨区面积为3 425 km2,从流域汇水区逐小时面雨量与入库流量变化看出,流域面雨量伴随3轮降水波动变化,与降水量峰值对应,第一、二、三轮降水面雨量峰值为0.45 mm(13日17:00)、0.49 mm(14日08:00)、2.21 mm(14日21:00)。可见,小时面雨量与入库洪峰流量存在明显的时间滞后性,小时面雨量峰值出现1~2 h后,出现入库洪峰流量。由此说明,对于I型短时强降水型涨水,小时面雨量大小影响入库流量,小时面雨量大于2.0 mm时,入库流量明显增大,小时面雨量峰值出现几小时之后出现入库洪峰流量,对水库涨水的预报预警有一定指示作用。
图5
图5
2021年7月14日雨洪过程水库水位、库容及入库流量(a)和13日14:00—14日汇水区面雨量变化(b)
Fig.5
Variation of water level, storage capacity and inflow volume of the reservoir during the flood-inducing process on July 14, 2021 (a) and the areal rainfall in the catchment area from 14:00 July 13 to 14, 2021 (b)
4.1.3 水库涨水与雨情的滞后性响应关系
第一、第二轮降水较弱,未造成明显水库涨水。第三轮降水较强(14日19:00前后开始),入库径流和水库涨水明显:14日22:09水库开始涨水,22:22出现入库洪峰流量,开始涨水和入库洪峰较降水开始时间偏晚3~4 h;23:38水位涨至最高,较降水开始时间偏晚4~5 h;水位在入库洪峰出现1~2 h后达峰值。不同等级的小时面雨量影响入库流量:当小时面雨量小于0.5 mm,入库流量变幅不大;当其超过2.0 mm,入库流量明显增大。中游强降水区离水库较近,最大降水点Y8628与水库直线距离28.1 km,利于快速汇流入库。虽然第一、第二轮降水较弱,水库未明显涨水,但增加了地表湿润度,使得土壤含水量逐渐趋于饱和,下渗能力减弱:坡面糙率降低,降水在地表形成径流,快速向水库汇集,加快了水库水量的积累速度,促使水库水位上升,为第三轮强降水后水库涨水提供了有利条件;同时出现一定降水累积效应,即前两轮降水使得土壤湿度饱和,这种累积的土壤含水量状态,使得第三轮降水迅速转化为地表径流汇入水库,放大了降水对水库水量和水位的影响,形成降水累积效应导致水库涨水现象,这与陕西安康及石泉水库研究结果(卢珊等,2019)一致。
4.2 典型II型(副)
4.2.1 雨情特征和降水空间分布
图6为2022年8月8—12日10个代表气象站的小时降水量变化,上游和下游站点与典型I型一致,中游站点选取降水落区集中的Y5970、Y8630、Y5905、Y5972站。结合图6和表3可知,降水过程(8日08:00—12日20:00)经历了3轮:8日14:00—9日16:00(第一轮,最强)、10日08:00—11日20:00(第二轮,次强)、12日05:00—20:00(第三轮,最弱);此次降水过程累计降水量大,平均累计降水量24.2 mm(与典型I型过程接近);平均降水时数26 h,大部分站点降水时数为25~34 h,上游Y8705最长达44 h。其中,上游降水最强,4站累计降水量达42.3~84.5 mm,最大降水中心为Y8705;中游4站累计降水量14.8~29.3 mm,最大降水中心为Y5970;下游2站累计降水量5.0 mm左右,降水随海拔高度降低而减少。过程最大雨强9.8 mm·h-1出现在中游Y5970(8日17:00),次大雨强9.3 mm·h-1出现在上游Y8705(8日17:00),未出现短时强降水。
图6
图6
2022年8月8—12日库车河流域上游(a)、中游(b)、下游(c)气象站小时降水量变化
Fig.6
Variation of hourly precipitation at meteorological stations in the upper (a), middle (b) and lower (c) reaches of the Kuche River Basin from August 8 to 12, 2022
表3 2022年8月8日08:00—12日20:00库车河流域降水特征值
Tab.3
| 站点 | 累计 降水量/mm | 最大雨强/ (mm·h-1) | 有雨小时 数/h | |
|---|---|---|---|---|
| 上游 | Y8635 | 52.5 | 5.2 | 34 |
| Y8634 | 42.3 | 4.1 | 32 | |
| Y8705 | 84.5 | 9.3 | 44 | |
| Y8706 | 50.4 | 7.3 | 34 | |
| 中游 | Y5970 | 29.3 | 9.8 | 28 |
| Y8630 | 24.6 | 3.6 | 28 | |
| Y5905 | 17.4 | 2.0 | 32 | |
| Y5972 | 14.8 | 2.4 | 25 | |
| 下游 | Y5971 | 5.3 | 2.1 | 13 |
| Y8625 | 4.3 | 1.2 | 14 |
从降水空间分布来看,过程强降水区(>50 mm)位于上游北部,最大格点降水量72 mm左右(图略)。从图7可见,第一轮降水最强,>20 mm的强降水范围最大,最大格点降水量为65 mm;第二轮降水最弱,累计降水量均小于10 mm;第三轮降水次强,>20 mm的强降水范围大,最大格点降水量为42 mm。3轮降水的强降水区均位于流域北部,第一轮最大小时降水量超过10 mm的降水区范围大,最大格点接近18 mm;第二、第三轮的最大小时降水不超过2 mm和10 mm。由此可见,这次典型Ⅱ型雨洪过程的强降水区位于上游北部,第一轮降水最强,降水历时较长,呈现累计降水量大,单点雨情弱的特点。
图7
图7
2022年8月8日14:00—12日20:00库车河流域降水分布(单位:mm)
Fig.7
Distribution of precipitation in the Kuche River Basin from 14:00 August 8 to 20:00 August 12, 2022 (Unit: mm)
4.2.2 水情特征和小时面雨量对入库流量的影响
此次雨洪过程的水情变化呈双峰型,第一次涨水期(9日08:35—20:12),水库水位和库容由1 305.23 m、446.11亿m3增长至1 311.05 m、921.41亿m3,增长率为0.49 m·h-1和39.61亿m3·h-1;第二次涨水期(12日20:35—13日04:05),涨水速度较迅猛,水位和库容猛增至1 312.71 m、1 145.93亿m3,增长率分别为0.84 m·h-1和84.79亿m3·h-1[图8(a)];13日04:05后,水位和库容回落。入库流量第一次增大期(8日20:00—9日11:16),流量由100 m3·s-1增长至326 m3·s-1;第二次增大期(12日14:10—21:15),流量增长至384 m3·s-1[图8(b)]。水库第二次涨水和径流入库速度更快、强度更强,主要表现为涨水历时短、入库流量快。第一、第二次涨水历时分别为11~12 h和7~8 h;水位第二次上涨速度较第一次偏快近1倍,入库流量增速第二次较第一次偏快近2倍,入库洪峰流量较最高水位提前7 h左右出现。第一轮降水中,小时面雨量峰值2.63 mm出现在8日17:00,9日11:00出现第一次洪峰(326 m3·s-1),小时面雨量峰值出现18 h左右后,迎来入库洪峰;第二轮降水中,小时面雨量峰值0.33 mm出现在11日12:00,入库流量变幅不大;第三轮降水中,小时面雨量峰值2.02 mm出现在12日10:00,入库流量在12日21:00前后猛增至384 m3·s-1,小时面雨量峰值出现11 h左右后,迎来入库洪峰。由此说明,对于II型长历时弱降水型涨水,小时面雨量大小也影响入库流量,小时面雨量峰值出现十几小时之后出现入库洪峰流量,比I型短时强降水型涨水明显缓慢。
图8
图8
2022年8月8—13日雨洪过程水库水位、库容(a)和汇水区面雨量、入库流量(b)变化
Fig.8
Variation of water level, storage capacity of the reservoir (a) and the areal rainfall in the catchment area and the inflow volume (b) during the flood-inducing process from August 8 to 13, 2022
4.2.3 水库涨水与雨情的滞后性响应关系
水库涨水与雨情有较好的对应关系,具体表现为:(1)第一次涨水中,水库开始涨水较第一轮降水开始时间偏晚18 h,最高水位和入库洪峰流量出现时间较降水开始时间偏晚30 h和21 h,最高水位较入库洪峰流量偏晚9 h;第二次涨水中,水库开始涨水较第三轮降水开始时间偏晚15 h,最高水位较第三轮降水开始时间偏晚23 h左右;入库洪峰流量出现时间较降水开始时间偏晚16 h,最高水位较入库洪峰流量偏晚7 h。(2)入库流量对小时面雨量的响应关系与I型过程相同,面雨量峰值出现11~18 h后,出现入库洪峰流量,较I型过程明显偏长。(3)强降水区距离水库较远,汇流速度慢,最大降水点Y8705距离水库直线距离56.7 km,降水强度小,上游最大小时雨强出现10~15 h后,才出现入库洪峰。(4)3轮降水区高度重叠,第三轮降水出现后,径流迅速汇流入库,第二次涨水迅猛是由降水累积效应造成的。由此可见,水库涨水与雨情响应紧密,且涨水时间滞后典型Ⅰ型(表4),水库涨水开始时间较降水开始时间偏晚15~18 h,入库洪峰流量出现时间较降水开始时间偏晚16~21 h,最高水位出现时间较入库洪峰流量偏晚7~9 h。
表4 铜场水库典型雨洪过程水情和雨情及水库涨水滞后性对比
Tab.4
| 过程时间 | 环流分型 | 雨情特征 | 水库涨水滞后性 | ||||||
|---|---|---|---|---|---|---|---|---|---|
| 历时及 强度 | 强降水 分布 | 涨水 次数 | 开始涨水落后于降水开始时间/h | 洪峰落后于降水开始时间/h | 最高水位落后于降水开始时间/h | 最高水位落后于洪峰时间/h | |||
| 2021年7月14日 | 典型 I型 | 低涡(槽)- 切变线型 | 短时 强降水 | 中游最强 | 仅一次 | 3~4 | 3~4 | 4~5 | 1~2 |
| 2023年7月10日 | 上游最强 | 仅一次 | 3~4 | 5~6 | 8~9 | 3~4 | |||
| 2022年8月8—13日 | 典型 Ⅱ型 | 低涡(槽)- 气旋型 | 长历时 弱降水 | 上游最强 | 第一次 | 18 | 21 | 30 | 9 |
| 第二次 | 15 | 16 | 23 | 7 | |||||
| 2023年6月15—16日 | 上游最强 | 第一次 | 15 | 16 | 18~19 | 2~4 | |||
| 第二次 | 2~3 | 4~5 | 6~7 | 2 | |||||
此外,针对表1中2023年7月10日、2023年6月15—16日2场雨洪过程的水情和雨情及水库涨水滞后性进行分析发现(由于表1中另外5场雨洪过程中水文数据不全,无法进行细致分析),2023年7月10日典型I型雨洪过程也为短时强降水,上游雨情最强,涨水开始时间落后于降水开始时间3~4 h,入库洪峰流量出现时间落后于降水开始时间5~6 h,水库最高水位出现时间落后于降水开始时间8~9 h并较入库洪峰流量偏晚3~4 h。2023年6月15—16日典型Ⅱ型雨洪过程为长历时弱降水,上游雨情最强,出现2次涨水,第一次涨水开始时间较降水开始时间偏晚15 h,入库洪峰流量出现时间较降水开始时间偏晚16 h,最高水位出现时间较降水开始时间偏晚18~19 h并较入库洪峰流量偏晚2~4 h;第二次涨水开始时间较降水开始时间偏晚2~3 h,入库洪峰流量出现时间较降水开始时间偏晚4~5 h,最高水位出现时间较降水开始时间偏晚6~7 h并较入库洪峰流量偏晚2 h。由此可见,典型I型雨洪过程为短时强降水,典型Ⅱ型雨洪过程为长历时弱降水,典型I型雨洪过程的涨水开始时间、入库洪峰流量出现时间、水库最高水位出现时间等均快于典型Ⅱ型雨洪过程。
5 结论与讨论
暴雨是南疆铜场水库洪水形成的主要因子,本文筛选2018—2023年9场水库雨洪过程进行环流分型,并选取2场典型过程分析水情和雨情特征、降水空间分布、小时面雨量对入库流量的影响及水库涨水的滞后性响应特征,得出以下结论。
(1)造成铜场水库雨洪的环流形势分为低涡(槽)-切变线型(I型)和低涡(槽)-气旋型(II型)两型。
(2)I型过程为短时强降水型涨水,中游最大小时雨强出现2~3 h后出现入库洪峰;II型过程为长历时弱降水型涨水,上游最大小时雨强出现10~15 h后出现入库洪峰。雨强越大、强降水区域离水库越近,涨水越快,I型过程涨水速度快于II型。
(3)小时面雨量大小影响入库流量。小时面雨量小于0.5 mm时,入库流量变幅不大;小时面雨量>2.0 mm时,入库流量明显增大。I型和II型过程的小时面雨量峰值分别出现1~2 h和11~18 h后,出现入库洪峰流量,多轮降水过程在同一区域叠加,出现降水累积效应,后期涨水快于前期。
(4)水库涨水与雨情存在滞后性响应。I型过程中,涨水开始时间和入库洪峰流量出现时间落后于降水开始时间3~4 h,水库最高水位出现时间落后于降水开始时间4~5 h并较入库洪峰流量偏晚1~2 h;II型过程中,涨水开始时间较降水开始时间偏晚15~18 h,最高水位出现时间较降水开始时间偏晚23~30 h,入库洪峰流量出现时间较降水开始时间偏晚16~21 h,最高水位出现时间较入库洪峰流量偏晚7~9 h。
本文以库车市铜场水库为研究对象,分析了水库典型雨洪过程的气象和水文特征,运用CMPAS逐小时降水近实时融合实况分析产品(0.01°×0.01°)计算水库流域小时面雨量,分析其对入库流量的影响及水库涨水与雨情的滞后性响应关系,得出的量化指标可应用于水库气象服务保障,对水库涨水的预报预警有一定警示作用。但由于研究区域资料有限,本文着重选取不同环流型的典型过程进行分析,得到的指标和结论还需实际应用,通过应用分析进一步改进和完善。未来研究可聚焦三方面:其一,引入机器学习算法,整合气象、水文、地形等多源数据,构建预测模型,精准挖掘降水与入库流量的非线性关系,提升流量预测精度;其二,扩充历史数据样本,在不同气候、地理条件的水库中验证现有结论,优化研究方法,增强成果适用性;其三,探索多水库联合调度机制,考量水库群联动效应,完善区域水资源管理体系。
参考文献
温升背景下“亚洲水塔”流域水资源压力现状及未来预估
[J].“亚洲水塔”流域养育着亚洲十几亿人口,对全球经济发展起着至关重要的作用。在气候变暖背景下,“亚洲水塔”流域的水资源快速变化以及不断增长的人类活动用水需求,使水塔流域水资源压力风险越显突出。为了解“亚洲水塔”流域水资源压力的状况及未来变化,基于部门间影响模式比较计划(ISIMIP)中全球水文模型的径流和用水数据,利用水压力指数方法,系统评估了“亚洲水塔”21个流域的水压力状况和未来的可能变化。结果表明:1971—2010年间,“亚洲水塔”21个流域的水压力总体上呈现升高趋势,多年平均水压力等级达到高或以上的流域为印度河流域、塔里木河流域和黄河流域;针对“亚洲水塔”21个流域未来水压力的变化预估,各流域水压力表现为先增加,之后不同流域表现出持续增加(2个流域)、趋于稳定(5个流域)和下降(14个流域)三种趋势,人类取水活动在未来水压力的变化中起决定性作用。整体上,南亚和东南亚地区水压力将持续增加,例如,布拉马普特拉河流域和湄公河流域,未来水资源短缺和水安全风险很高。
The disparity between extreme rainfall events and rare floods with emphasis on the semi-arid American West
[J].
/
| 〈 |
|
〉 |
