祁连山中段夏季降雨与对流特征分析
Characteristics of rainfall and convection in summer in the middle of the Qilian Mountains
责任编辑: 王涓力;校对:黄小燕
收稿日期: 2023-05-16 修回日期: 2023-08-6
| 基金资助: |
|
Received: 2023-05-16 Revised: 2023-08-6
作者简介 About authors
段婧(1981—),女,河北石家庄人,研究员,主要从事云降水物理与人工影响天气、多源云降水探测资料融合应用研究。E-mail:duanjing@cma.gov.cn。
祁连山中段夏季降雨特征研究可为地形云人工增雨提供天气背景依据支撑。基于2015—2017年地面观测资料和FY-2G卫星红外黑体亮度温度(Temperature of Black Body, TBB)逐时资料,分析祁连山中段夏季降雨与对流特征及降雨日变化与局地环流的关系。结果表明:祁连山中段海拔低于3.5 km的气象站降雨量随海拔呈线性递增变化,东部(99.2°E以东)降雨量随海拔的变化较西部剧烈。位于山谷的野牛沟和祁连站山谷风环流和降雨日变化较青海湖畔的刚察站明显,两站降雨最大值和次峰值分别在傍晚和清晨,分别对应该地区两类主要地形云(积雨云和层积云)高频时段,平均雨强分别为2.0~2.3、1.0~1.3 mm·h-1。与河西走廊张掖站相比,在雨强小于1.5 mm·h-1和大于等于1.5 mm·h-1条件下,祁连、野牛沟和刚察站的TBB概率分布峰值从-22~-12 ℃转为-32~-22 ℃;在使用TBB<-32 ℃的降雨云识别阈值时,祁连山地区降雨云的覆盖率低于河西走廊地区;TBB<-22 ℃阈值更适宜祁连山地区弱对流降雨云的识别。研究区内深对流与浅对流的高值区分别呈现南北向、西北—东南向分布,基于TBB资料的浅对流频率日变化等可反映该地区降雨日变化的部分特征。
关键词:
The study of summer rainfall characteristics in the middle of the Qilian Mountains can provide weather background support for artificial precipitation enhancement by terrain clouds. Based on hourly surface meteorological observations and Temperature of Black Body (TBB) from FY-2G satellite during 2015-2017, the characteristics of rainfall and convection in summer and relationship between diurnal variation of rainfall and local circulation are investigated. The results show that the total rainfall amount of meteorological stations with an altitude less than 3.5 km in the middle of the Qilian Mountains increases linearly with the altitude, and in the eastern part (east of 99.2°E) it changes more sharply with the altitude than that in the western part. The diurnal variation of valley wind circulation and rainfall at Yeniugou and Qilian stations in the valley is more obvious than that at Gangcha Station near the Qinghai Lake. The maximum and sub-peak of rainfall at the two stations are in the evening and early morning, respectively, corresponding to the high frequency periods of the two main topographic clouds (cumulonimbus and stracumulus) in the region, and the average rainfall intensity is 2.0-2.3 and 1.0-1.3 mm·h-1, respectively. Compared with Zhangye Station in Hexi Corridor, the peak value of TBB probability distribution at Qilian, Yeniugou and Gangcha stations in the Qilian Mountains changed from -22--12 ℃ to -32--22 ℃ under two kinds of rainfall intensity (less than 1.5 and more than or equal to 1.5 mm·h-1). When the threshold of TBB <-32 ℃ is used to identify rainfall cloud, the coverage rate of rainfall cloud in the Qilian Mountains is lower than that in Hexi Corridor. The threshold of TBB <-22 ℃ is more suitable for the identification of weak convective rainfall clouds in the Qilian Mountains. In the study area, the high value areas of deep and shallow convection are distributed in the direction of north-south and northwest to southeast, respectively. The diurnal variation of shallow convective frequency based on TBB data can reflect some characteristics of diurnal variation of rainfall in this region.
Keywords:
本文引用格式
段婧, 王新, 陈勇, 郭强, 王田田, 陈添宇, 陈宝君.
DUAN Jing, WANG Xin, CHEN Yong, GUO Qiang, WANG Tiantian, CHEN Tianyu, CHEN Baojun.
0 引言
祁连山位于青藏高原的东北部边缘,长约850 km,宽约200~500 km,平均海拔4 km(石光普等,2010;刘蓓,2016)。祁连山区东西跨越约10个经度,处于我国西北干旱区、东部湿润区、青藏高原寒区的过渡带,其东、西部分别受西南—东南夏季风、西风环流影响和控制,而中部处于两种环流系统的交汇处,叠加青藏高原季风的影响,使其降水情况复杂且降水量有较大的地区差异(贾文雄等,2008;张文煜等,2021)。祁连山地区冰川资源丰富,是我国西部干旱区主要河流的发源地,降水量变化对祁连山、河西走廊的生态变化及水资源具有重要影响(张强等,2009)。祁连山中段作为整个祁连山区的夏季降雨中心,地形云降雨量丰富,也是我国西北区域人工影响天气工程主要的地形云人工增雨研究试验基地之一(刘蓓,2016;黄颖等,2020;段婧等,2021)。因此,深入研究该地区夏季地形云降雨特征及其成因,可为祁连山地区地形云人工增雨提供天气背景依据支撑。
祁连山夏季降雨中心在野牛沟—祁连一带,对应着云量大值区和积雨云高发区(汤懋苍,1985;王宝鉴等,2006;陈少勇等,2007;石光普等,2010),降雨量随海拔高度呈对数关系变化(朱守森和王强,1996;李岩瑛等,2010)。祁连山夏季山区降雨量多于平原(刘雪梅等,2016);高原夏季弱降雨占比高,降雨云云顶高度大多在2.6~5.0 km(龚静等,2021)。祁连山夏季不但降雨量日变化明显(夜间大于白天)(刘雪梅等,2016),而且层积云和积雨云这两种祁连山谷地主要地形云降雨类型日变化也很明显,即它们的高频时段分别对应清晨和傍晚(赵仕雄等,2003;刘蓓,2016)。其中,清晨层积云降雨的发展,可能主要是山谷两侧自山顶下滑的小尺度山风与大地形引起的山地风辐合形成向上气流,使谷地内水汽抬升至边界层顶逆温下堆积凝结所致;谷风强盛的傍晚时段,由于地形抬升、热力、湍流及天气系统影响的共同作用,加强了积雨云降雨的发展(刘蓓,2016)。上述研究大部分单独利用地面资料或卫星资料在整个祁连山地区开展,但对位于降雨中心的祁连山中段地区,夏季降雨云对流和日变化特征的星-地综合研究较少,地形云降雨机制的科学认识还不够充分。因此,本研究围绕祁连山中段地区,基于地面与静止气象卫星的逐时观测资料,研究该地区夏季降雨的对流和日变化特征、降雨日变化与局地环流的关系、不同雨强与降雨云的关系等,探究祁连山夏季降雨日变化特征及其机制,为祁连山地形云人工增雨作业提供有效支撑。
1 研究区域、资料及方法
图1
图1
祁连山中段气象站及海拔(单位:km)分布
(粗虚线为99.2°E)
Fig.1
Distribution of meteorological stations and altitute (Unit: km) in the middle of the Qilian Mountains
(The bold dash line denotes 99.2°E)
所用地面气象资料为研究区域内常规逐时地面观测资料,包括1 h降雨量、地面气温和10 m风,时间段为2015—2017年夏季(6—8月)。依据该地区夏季总降雨量分布特征及降雨气候带划分,以99.2°E为界分别对祁连山中段东部(12站)和西部(4站)做降雨量与海拔高度的关系分析,并重点对比青海湖畔(刚察)、祁连山山谷(祁连和野牛沟)、河西走廊(张掖)(表1)三类地形下降雨的日变化特征。其中,判别降雨出现的标准为1 h降雨量≥0.1 mm,小时降雨量是研究时段内同时刻降雨量的累积值;小时降雨频次是研究时段内同时刻降雨出现的次数;降雨强度是小时降雨量和频次的比值(张宏芳等,2020)。文中时间均为北京时。
表1 气象站信息
Tab.1
| 站点 | 纬度/°N | 经度/°E | 海拔/m |
|---|---|---|---|
| 刚察 | 37.33 | 100.13 | 3 302 |
| 祁连 | 38.18 | 100.25 | 2 787 |
| 野牛沟 | 38.42 | 99.58 | 3 314 |
| 张掖 | 38.93 | 100.43 | 1 461 |
卫星资料使用FY-2G的IR1通道红外黑体亮度温度(Temperature of Black Body,TBB)逐时标称格式(HDF)产品,数据来源于风云卫星遥感数据服务网(https://satellite.nsmc.org.cn),时间段为2015—2017年夏季(6—8月)。FY-2G静止卫星位于104.5°E的赤道上空,其扫描辐射计包括1个可见光和4个红外通道,其中红外窗区通道IR1的光谱范围为10.3~11.3 μm,星下点分辨率为5 km。
通常认为TBB<-32 ℃区域为对流活跃区,而TBB<-52 ℃区域为强对流活跃区(姚秀萍等,2005;王新等,2016;李博等,2018;周鑫等,2019)。本文将对TBB<-52 ℃(深对流)和-52 ℃≤TBB<-32 ℃(浅对流)做分类研究。首先,基于地面站点降雨量与该站周边TBB,分析降雨时对应的TBB概率分布,统计范围为-92~18 ℃、间隔10 ℃,以对应采用的阈值-52 ℃(-32 ℃)。为了更好地匹配降雨量和TBB的时空对应关系,并考虑降雨云系的发展移动因素等,将降雨量和TBB对比的数据做如下处理:选取t时刻降雨量与t-1时刻TBB数据,其中TBB取地面站点附近3×3格点范围的最小值。其次,分析深对流、浅对流、-32 ℃≤TBB<-22 ℃和-22 ℃≤TBB<-12 ℃ 4档TBB年均小时数及午后深、浅对流比例的空间分布。
2 结果分析
2.1 降雨的总体特征
图2为研究区内平均降雨量、平均雨强、夜雨小时占比的空间分布。可以看出,降雨量最大值为刚察站的321 mm,最小值位于河西走廊张掖站(66 mm);祁连山谷地最大值在野牛沟站(300 mm),其东侧祁连与门源站降雨量(约280 mm)接近野牛沟站,而西侧托勒站(226 mm)小于野牛沟站。刚察站平均雨强最大(1.52 mm·h-1),祁连山谷地4站平均雨强自西向东递增(1.21~1.44 mm·h-1)。值得指出的是,总雨量接近300 mm的刚察和野牛沟站,平均雨强则有较大差异(分别为1.52、1.22 mm·h-1),这主要由于野牛沟站的平均降雨小时数(246 h)多于刚察站(211 h)。夜雨小时占比低于50%的站点主要位于祁连山谷地,共有野牛沟—肃南和门源两个地区(夜雨量占比也有相似结果)。综上,祁连山中段南北侧降雨特征差异明显,甚至同为祁连山山谷的祁连和野牛沟两站平均雨强及夜雨小时占比也不同。
图2
图2
2015—2017年祁连山中段夏季平均降雨量(a,彩色圆点及数值,单位:mm)、平均雨强(b,彩色圆点及数值,单位:mm·h-1)和夜雨(20:00—08:00)小时占比(c,彩色圆点及数值,单位:%)
(黑线为3 km等高线)
Fig.2
The average rainfall amount (a, color dots and numbers, Unit: mm), average rain intensity (b, color dots and numbers, Unit: mm·h-1), and percentage of nocturnal rainfall (20:00-08:00) (c, color dots and numbers, Unit: %) in summer during 2015-2017 in the middle of the Qilian Mountains
(The black line denotes the 3 km contour above sea level)
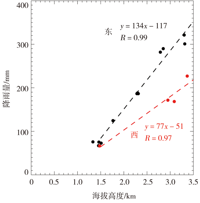
图3为祁连山中段东、西部站点夏季平均降雨量与站点海拔的线性关系。可见,东、西部降雨量与海拔相关性均较好(相关系数分别为0.99、0.97),且呈线性增长,即站点海拔越高,其平均降雨量越多;东部降雨量随海拔变化比西部更剧烈。其中,东部降雨量随海拔的递增率比西部大,这与汤懋苍(1985)的研究结果一致,即祁连山流向河西走廊的4条河流降雨递增率自东向西有规律地减少。祁连山中段东、西降雨递减率差异的主要原因之一,可能是受东亚季风影响的东部水汽含量和降水转化率大于受西风带偏南季风影响的西段(张强等,2007)。此外,前人研究(汤懋苍,1985;陈跃等,2008)指出祁连山降雨量极大值分布在山腰附近,山顶降雨量比山腰少;而本研究中气象站点海拔低于3.5 km且大多位于山谷中,缺少祁连山更高海拔及山顶的降雨数据,因此降雨量与海拔的拟合关系仅适用于海拔低于3.5 km的祁连山站点。
图3
图3
祁连山中段东、西部站点夏季平均降雨量与海拔关系
Fig.3
The relationship between the average rainfall amount in summer and altitude of the meteorological stations in the middle of the Qilian Mountains
2.2 降雨日变化与局地环流的关系
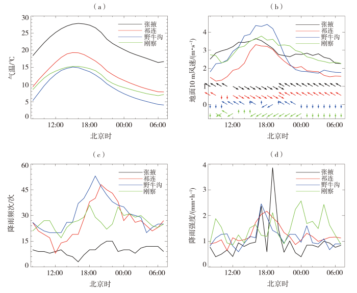
局地环流的强度与地面气温日变化有关,而地面平均气温的日变化受海拔高度、地形及下垫面类型影响,图4为夏季青海湖畔(刚察)、祁连山山谷(祁连和野牛沟)、河西走廊(张掖)三类地形降雨及相关气象要素的日变化特征。从图4(a)可以发现,最高和最低平均气温分别在张掖和野牛沟站,对应海拔最低和最高站点;最大和最小平均气温日较差出现在祁连(11.5 ℃)和刚察(8.5 ℃)站。虽然刚察与野牛沟站海拔接近,但气温日较差不同,野牛沟站为11.0 ℃。进一步分析可见,两站午后日平均最高气温基本一致,但刚察站可能因受青海湖夜间保温作用(万军山等,1993;苏东生等,2019)影响使其日最低气温高于野牛沟站,这是刚察站气温日较差较小的主要原因。
图4
图4
2015—2017年夏季4站地面平均气温(a)、10 m风速(实线)和风向(箭矢)(b)、降雨频次(c)和降雨强度(d)日变化
Fig.4
The diurnal variation of mean surface temperature (a), 10 m wind speed(solid lines)and direction (arrow vectors) (b), rainfall frequency (c), and rainfall intensity (d) in summer during 2015-2017 at four meteorological stations
从图4(b)可见,4站10 m风速日变化明显,午后16:00风速最大,日出前风速最小。午后风速最大和最小站点分别为野牛沟和祁连站,日落后两站风速趋于一致。风速日较差最大和最小站点分别为野牛沟(2.7 m·s-1)和张掖(1.4 m·s-1)站;山谷内野牛沟和祁连两站风速日较差(2.0~2.7 m·s-1)要比地形相对开阔的张掖和刚察站(1.4~1.5 m·s-1)高。张掖和祁连站地面风向日变化几乎一样,如山风时长(13~15 h)长于谷风时长(9~11 h),谷风和山风转变时刻分别为10:00—12:00和21:00,且盛行山风(东南风)和谷风(西北风)风向接近平行,主要原因是两站均处于西北—东南向的山谷谷地中(图1)。相对张掖和祁连站而言,野牛沟站局地环流仍表现为山谷风特征,但山风时长却降至11 h、谷风17:00—18:00风向变化较剧烈;刚察站局地环流不够明显,特别是没有相反方向的昼夜环流出现,可能因其影响因素更为复杂(如山地-平原风、湖陆风等多因素影响)。刚察站的昼夜盛行风向分别为西北风和正北风,主要原因可能是夜间祁连山山地风具有重力流特征且风向不易受地形绕流效应影响,而白天受到平原-山地风的山脉绕流效应强于爬坡效应的影响,在刚察形成以西北风绕流特征的局地环流。
2.3 雨强概率分布
表2是祁连山中段4站不同雨强的概率分布统计结果。可以看出,刚察、祁连、野牛沟和张掖站雨强小于1.5 mm·h-1的降雨事件占比分别为70%、72%、76%、86%,表明刚察、祁连和野牛沟站小雨事件占比要小于干旱区的河西走廊站(张掖);野牛沟站3 a降雨总时数(739 h)比刚察和祁连站(634~644 h)多约100 h,主要来自雨强小于1.5 mm·h-1的降雨事件。青海湖畔(刚察站)与山谷(祁连和野牛沟站)两类站点大于等于1.5 mm·h-1雨强的降雨事件主要分布特征为各站降雨总时数在雨强为1.5~<3.0 mm·h-1时一致,区别主要在雨强为3.0~<4.5 mm·h-1和大于等于4.5 mm·h-1时,两类站点存在相反变化,如刚察站雨强大于等于4.5 mm·h-1的降雨时数(44 h)比祁连和野牛沟站(24~25 h)多。此外,刚察、祁连、野牛沟和张掖站雨强小于1.5 mm·h-1雨量占总降雨量比例分别为29%、33%、37%和51%,即4站雨强大于等于1.5 mm·h-1雨量占总降雨量比例为49%~71%。综上,在降雨频次特征上,祁连山中部地区雨强小于1.5 mm·h-1降雨事件占比高于70%,但对于总降雨量特征,需重点关注雨强大于等于1.5 mm·h-1降雨事件。
表2 祁连山中段夏季不同雨强概率统计
Tab.2
| 站点 | 概率/%(绝对样本数/h) | 统计样本数/h | |||
|---|---|---|---|---|---|
| 0.1~<1.5 mm·h-1 | 1.5~<3.0 mm·h-1 | 3.0~<4.5 mm·h-1 | ≥4.5 mm·h-1 | ||
| 刚察 | 70(443) | 19(120) | 4(27) | 7(44) | 634 |
| 祁连 | 72(463) | 18(115) | 7(42) | 3(24) | 644 |
| 野牛沟 | 76(563) | 15(114) | 5(37) | 4(25) | 739 |
| 张掖 | 86(201) | 12(27) | 1(3) | 1(3) | 234 |
2.4 降雨云的对流特征及其与降雨的关系
图5为祁连、张掖站夏季降雨时不同雨强对应的TBB概率分布,TBB统计范围为-92~18 ℃、间隔10 ℃,主要是为了与以往研究(姚秀萍等,2005;王新等,2016;李博等,2018;周鑫等,2019)强(弱)对流的TBB阈值-52 ℃(-32 ℃)相对应。可以看出,当祁连站雨强小于1.5 mm·h-1时,TBB概率分布峰值位于-22~-12 ℃;而当雨强大于等于1.5 mm·h-1时,TBB概率分布峰值降低至-32~-22 ℃。如果将TBB<-32 ℃作为判断降雨的阈值,祁连站雨强小于和大于等于1.5 mm·h-1的降雨事件累计概率分别为32%和55%;而如果将TBB<-22 ℃作为阈值,则相对应的降雨事件累计概率可提升至61%和85%。刚察和野牛沟站也存在与祁连站类似的情况(图略),如TBB概率分布峰值在两种雨强条件下的转变,将TBB<-32 ℃作为阈值,雨强小于和大于等于1.5 mm·h-1降雨事件的累计概率分别为22%~28%和47%~48%,而将TBB<-22 ℃作为阈值时两者累计概率则分别提升至57%~58%和76%~78%。相较而言,干旱区的河西走廊张掖站TBB与雨强的概率分布关系与刚察、祁连和野牛沟站有差异。张掖站在雨强小于和大于等于1.5 mm·h-1时,TBB概率分布峰值均为-42~-32 ℃;特别是将TBB<-32 ℃作为阈值时,雨强小于和大于等于1.5 mm·h-1降雨事件的累计概率分别为44%和70%,高于刚察、祁连和野牛沟站。综上可见,祁连山山区站与河西走廊站TBB与雨强关系存在明显差异,祁连山站TBB概率分布峰值从小雨事件的-22~-12 ℃转换为中大雨事件的-32~-22 ℃,而河西走廊站小雨和中大雨事件TBB概率分布峰值均为-42~-32 ℃;此外,祁连山区的浅对流TBB阈值需升至-22 ℃,覆盖小雨和中大雨事件的概率才能接近采用TBB阈值-32 ℃的河西走廊站点。
图5
图5
2015—2017年夏季祁连(a、b)、张掖(c、d)站不同雨强降雨时TBB概率分布
Fig.5
The frequency distribution of TBB corresponding to different rainfall intensity in summer during 2015-2017 at the Qilian (a,b) and Zhangye (c,d) meteorological stations
龚静等(2021)研究指出同属高原的青海省东部地区弱降雨事件占比约88%,TBB峰值为-15~0 ℃;而祁连山中段地区各站的弱降雨事件(雨强<1.5 mm·h-1)比例也较高(超过70%),但弱降雨时TBB概率峰值为-22~-12 ℃,与青海东部的TBB峰值存在差异,除了地域及对比变量差异外,可能还与两者的不同研究时段有关,如青海东部的统计时段为4—9月的10:00—17:00,而本研究为6—8月的全天时段。上述对比也充分表明高原降水云和地形云的特殊性和复杂性,特别是高原的卫星估算降雨产品要考虑适合高原浅对流的TBB阈值或者多参数判别方法,不同区域也有较明显的差别,需要有针对性地开展分析。
深对流(TBB<-52 ℃)和浅对流(-52≤TBB<-32 ℃)年均小时数大值区均以祁连山南麓为中心,最大值分别为33、165 h;浅对流呈西北—东南向分布,即其大值区主要沿祁连山南麓呈东西向分布,其东西延展比深对流的大值区更广,而深对流呈南北向分布,即大值区南北向延展比浅对流大值区广[图6(a)、(b)]。由祁连山中段-32≤TBB<-22 ℃[图6(c)]与-22≤TBB<-12 ℃[图6(d)]的年均小时数空间分布可知两者非常相似,但后者年均小时数大于349 h,高于前者的年均小时数(大于177 h);-22≤TBB<-12 ℃的年均小时数大值区较分散,主要集中在山峰处,而山谷地带相对较少。
图6
图6
2015—2017年夏季祁连山中段TBB<-52 ℃(深对流)(a)、-52≤TBB<-32 ℃(浅对流)(b)、-32≤TBB<-22 ℃(c)、-22≤TBB<-12 ℃(d)年均小时数(单位:h)空间分布及午后(15:00—20:00)深对流(e)、浅对流(f)比例(单位:%)
Fig.6
The spatial distribution of average annual hours of TBB<-52 ℃(deep convection) (a), -52≤TBB<-32 ℃ (shallow convection) (b), -32≤TBB<-22 ℃ (c), -22≤TBB<-12 ℃ (d) ( Unit: h), and percentage of deep (e), shallow (f) convection (Unit: %) occurring from 15:00 to 20:00 in summer during 2015-2017 in the middle section of the Qilian Mountains
结合表2的雨强频数统计,综合分析祁连山中段野牛沟、祁连和刚察站的降雨特征与相应TBB表征的降雨类型间的关系。刚察和祁连站雨强大于3.0 mm·h-1的总时数(分别为71、66 h)多于野牛沟站(62 h),其原因是野牛沟站的深对流年均小时数小于刚察和祁连站[图6(a)]。野牛沟站雨强小于1.5 mm·h-1的降雨小时数多于刚察和祁连站,从图6(b)、(c)、(d)也发现三站浅对流及-32≤TBB<-22 ℃年均小时数差别不大,而野牛沟和祁连站的-22≤TBB<-12 ℃年均小时数却多于刚察站。其中野牛沟和刚察站雨强小于1.5 mm·h-1的降雨小时数差异可主要归结为-22≤TBB<-12 ℃小时数的差别;但也注意到野牛沟和祁连站雨强小于1.5 mm·h-1的降雨小时数差异与TBB空间分布关系不强,这主要是因为在云顶高度相似的浅薄云中,高海拔的野牛沟站(3 314 m)比祁连站(2 787 m)更易形成小雨滴并降至地面;同时由于高海拔地区降雨的复杂性和TBB的局限性,仅依靠TBB对深对流和浅对流的判别指标,还不能正确表征高海拔的野牛沟站夏季总降雨量、总降雨时数等降雨特征,需要进一步结合对流更弱、厚度更薄的降雨云判据(如TBB为-32~-22 ℃等)才能合理解释祁连山降雨与云之间的关系。此外,FY-2G卫星观测到的野牛沟、祁连、刚察、门源一带的山地深对流、浅对流及-32≤TBB<-22 ℃的高频区与以往研究(陈少勇等,2007;石光普等,2010;刘健,2013)揭示的祁连山云量及对流云高值区较为一致。上述对流高频区还对应着整个祁连山区降雨量最多的地方——冷龙岭南部区域(汤懋苍,1985;刘雪梅等,2016),主要是因为该区域位于高原夏季风的迎风面(林之光等,1983)。这些都充分说明-32≤TBB<-22 ℃在识别祁连山降雨中的重要作用。
基于FY-2G的TBB逐时资料,统计一天4个时段(03:00—08:00、09:00—14:00、15:00—20:00、21:00—次日02:00)深对流及浅对流相对于全天深、浅对流的发生概率。结果表明,研究区深对流主要发生在午后(15:00—20:00),且西部发生概率相对较高(大于40%),而东南部的青海湖到冷龙岭区域较低(15%~25%);研究区大部分地区,大于35%的浅对流也发生在午后,特别是沿西北—东南向的祁连山脉两侧存在一条午后浅对流高发带。结合地面气象站的降雨日变化特征,分析其与对流日变化的关系。如刚察和野牛沟站午后深对流发生概率分别约25%、40%[图6(e)],浅对流分别约25%、35%[图6(f)],与野牛沟降雨主要集中在午后,而刚察降雨的日变化不明显[图4(c)]一致。上述分析表明,FY-2G静止卫星的逐时TBB资料可反映祁连山区降雨日变化的基本特征,是山地降雨研究的有效手段。
3 结论与讨论
本文采用祁连山中段区域2015—2017年夏季逐时地面观测资料,分析该区域降雨日变化特征及其与山谷风环流的关系,并根据FY-2G逐时TBB资料分析降雨云的对流分布特征,以下为主要结论。
(1)研究区降雨量、平均雨强极大值均在刚察站,分别为321 mm和1.52 mm·h-1;祁连山谷的平均雨强(1.21~1.44 mm·h-1)自西向东递增。海拔高度低于3.5 km的祁连山中段东、西部(以99.2°E为界)气象站的降雨量和海拔呈线性递增关系,且东部降雨量随高度的变化比西部更剧烈。
(2)祁连山谷地的野牛沟与祁连站有明显的山谷风局地环流,而青海湖畔刚察站局地环流不明显,这是祁连山谷地站点降雨日变化较刚察站明显的主要原因。野牛沟和祁连站小时降雨频次的两个峰值分别为清晨(07:00—08:00,次峰值)和傍晚(19:00—20:00,最大值),降雨强度分别为1.0~1.3、2.0~2.3 mm·h-1,与祁连山地区主要地形云层积云和积雨云出现频率极大值时刻分别对应,表明山谷风环流对地形云及降雨日变化的影响。
(3)野牛沟站降雨总时数最多,3 a小雨(雨强小于1.5 mm·h-1)总时数比刚察和祁连站多约100 h;野牛沟、祁连和刚察站大于等于1.5 mm·h-1的降雨总时数基本一致,但刚察站大雨(雨强大于4.5 mm·h-1)总时数明显多于山谷站。
(4)祁连山区刚察、祁连和野牛沟站TBB与雨强的关系不同于河西走廊张掖站。随着雨强从小于1.5 mm·h-1转为大于等于1.5 mm·h-1,祁连山区站TBB概率分布峰值从-22~-12 ℃降低至-32~-22 ℃;而张掖站TBB概率分布峰值小雨和中大雨时均为-42~-32 ℃。祁连站仅用TBB<-32 ℃作为判断降雨的阈值,只能覆盖小雨和中大雨总数的32%和55%;当TBB阈值升高至-22 ℃可包含更多对流更弱、厚度更薄的降雨云,小雨和中大雨覆盖降雨总数的比例也分别提升至61%和85%。
(5)祁连山中段深对流与浅对流高值区分别呈现南北向、西北—东南向分布;浅对流和-32≤TBB<-22 ℃的高值区主要位于祁连山南麓野牛沟、祁连、刚察、门源地带。FY-2G静止卫星的逐时TBB资料如浅对流频率日变化等可反映祁连山中段不同地区降雨日变化特征,是山地降雨研究的有效手段。
本研究加深了对祁连山中段云与降雨特征的了解,提出了运用TBB<-22 ℃判据可更好地表征祁连山中部夏季降雨分布特征,并指出卫星TBB资料是山地降雨日变化研究的有效数据。同时,也存在一定局限性,例如山谷常规地面气象观测对山脊或整个山区的总体特征代表性不足,而TBB只表征了云顶信息。下一步工作可借助融合加密气象站、卫星云相态产品、云降水垂直廓线探测等多种资料,结合高分辨数值模式分析祁连山的三维局地环流特征,或从降雨能量学等角度入手,进一步深入认识祁连山地形云降雨特征及相关机制。
参考文献
近50年来祁连山及河西走廊降水的时空变化
[J].利用1960-2009 年的日降水量资料,采用线性趋势、5 年趋势滑动、IDW 空间插值、Morlet 小波分析、Mann-Kendall 突变检验等方法,对祁连山及河西走廊地区不同等级降水日数和降水强度的时空变化特征进行了研究。结果表明:不同等级降水日数和降水强度的多年平均在空间上既表现出东西分异,也表现出南北分异;不同等级降水日数的年际变化在绝大部分区域呈增多趋势,且自东向西增幅减小,大雨强度的年际变化在绝大部分区域呈增大趋势,其它等级降水强度为部分区域呈增大趋势,部分区域呈减小趋势;小雨、中雨日数的年际变化呈显著增多趋势,大雨日数呈明显增多趋势,暴雨日数呈不明显增多趋势,小雨、大雨强度的年际变化呈不明显减小趋势,中雨、暴雨强度呈不明显增大趋势;不同等级降水日数变化的周期集中在2a、5a、8a、11a、19a,不同等级降水强度变化的周期集中在2a、5a、11a、15a、25a;除小雨强度突变减小外,其它等级降水日数均突变增多,降水强度均突变增大,降水量的增加主要是降水日数的增多造成的,其中小雨、中雨日数的增多贡献最大。
我国降水时数时空分布
[J].表示降水气候特征的指标,通常有数量(雨量)和持续时间两个方面(雨强即为单位时间内的雨量)。降水持续时间的指标各国目前只用雨日(降水日数),因而并不是实际降水持续时间(降水时数)。
利用卫星数据分析青藏高原云微物理特性
[J].青藏高原(下称高原)对东亚大气环流、 气候变化及灾害性天气的形成和发展都有重要的影响。首先比较了不同空间分辨率数据对云微物理特性分析结果的影响, 结果表明, 在整体区域性变化分析中, 利用0.01°×0.01°高空间分辨率的MODIS数据和2.5°×2.5°低空间分辨率的ISCCP数据所反映的云特性变化趋势相当\.与ISCCP资料相比, 高空间分辨率的MODIS资料可以更多地反映出云的局地性特征。其次, 利用近10年高空间分辨率的卫星资料分析了高原云微物理特性的时空变化, 结果表明, 近10年高原上云的光学厚度有减小的趋势, 云水路径的年、 季变化有少许波动, 但多年变化没有明显趋势。在空间分布上, 高原云光学厚度和云水路径从东南向西北减少, 充分反映了高原西北部干旱少雨, 东南部湿润多雨的事实。
青海湖夏秋季局地气候效应数值模拟研究
[J].由于水陆热力性质差异,湖泊对局地天气气候具有显著影响,占中国湖泊总面积一半以上的高原湖泊对区域天气气候的影响不可忽视,但目前对高原湖泊局地气候效应的研究依然存在不足。本研究利用WRF-FLake动态耦合模式,设计了有湖与无湖两组实验,对高原最大湖泊青海湖的局地气候效应进行了整年的模拟研究。结果表明,耦合模式的模拟性能良好,青海湖在16月使得区域气温降低,而712月使得区域气温升高,且青海湖的存在降低了19月的日最高气温,增加了612月的日最低气温,使得气温日变化减小,白天青海湖为冷湖效应,而夜间青海湖为暖湖效应。26月青海湖轻微减少区域降水量,712月明显增加了区域降水量,且8月增加量最显著。青海湖对局地年降水量的贡献率在湖面上最大可达50%~60%,而在周边陆地为10%~30%,夏季青海湖增加的降水量最多,而秋季青海湖对总降水的贡献率最大,青海湖增加的降水在20:00(北京时,下同)至次日02:00最多,而14:0020:00最少,夏季增加的对流性降水较多,秋季增加的对流性降水较少。白天青海湖的冷湖效应使湖面产生下沉辐散气流,抑制对流的发展和水汽的扩散,导致湖泊降水效应减弱,而夜间青海湖的暖湖效应使湖面产生辐合上升气流,促进对流的发展和水汽的扩散,导致湖泊降水效应增强。
祁连山区降水的地理分布特征
[J].山地降水量的地理分布是相当复杂的,为了讨论的方便,我们可以把任一点的实际降水量(R)分解为由大尺度地理因素,高度因素和局地地形因素等三部分所组成。
祁连山云和空中水汽资源的季节分布与演变
[J].祁连山云和空中水汽资源具有明显的季节变化特征:总云量春季最多,夏季次之,低云量夏季最多,春季次之。近45年中的春季和夏季,总云量在减少,低云量在增加,对应降水也在增加;秋季三者都为减少趋势;冬季总云量和降水在增加,但低云却呈减少趋势。相关分析表明,总云和降水在夏季、秋季呈显著正相关,低云和降水在春季、夏季及秋季呈正相关;值得注意的是冬季低云和降水在祁连山的中东段呈负相关,但通不过信度检验。空中水汽主要沿两条路径输送到祁连山,平均状况下祁连山存在较强的水汽辐合,且东段辐合(-0.1~-0.05 kg/(m<sup>2</sup>·s))强于中西段(-0.05~0 kg/(m<sup>2</sup>·s))。地中海、黑海、里海、咸海、阿拉伯海和孟加拉湾是祁连山的水汽输送源地,但各个季节又有所不同。祁连山区域的水汽收支表明,春季净水汽通量在1979年以后一直为正且呈增加趋势,夏季整个区域基本上是个“水汽汇”,秋季和冬季则一直为负。分析认为祁连山春、夏两季空中云水资源具有较好的开发潜力。
黄河上游降水云层对流特性及降水微结构机制研究
[J].主要利用1997-2000年6~9月在黄河上游河曲地区实施人工增水实验所获取的各类降水云层回波、雨滴谱及多点宏观气象资料,进一步阐明各类云层降水中对流作用的普遍性和特殊性,并且通过全过程的雨滴谱的演变个例,初步揭示了该地区云中降水微物理过程可能存在冷云和暖云两种机制且暖云机制起重要作用。以上是该地区产生降水频繁的重要原因。
/
| 〈 |
|
〉 |
