祁连山中段夏季降雨与对流特征分析 |
| 段婧, 王新, 陈勇, 郭强, 王田田, 陈添宇, 陈宝君 |
|
Characteristics of rainfall and convection in summer in the middle of the Qilian Mountains |
| DUAN Jing, WANG Xin, CHEN Yong, GUO Qiang, WANG Tiantian, CHEN Tianyu, CHEN Baojun |
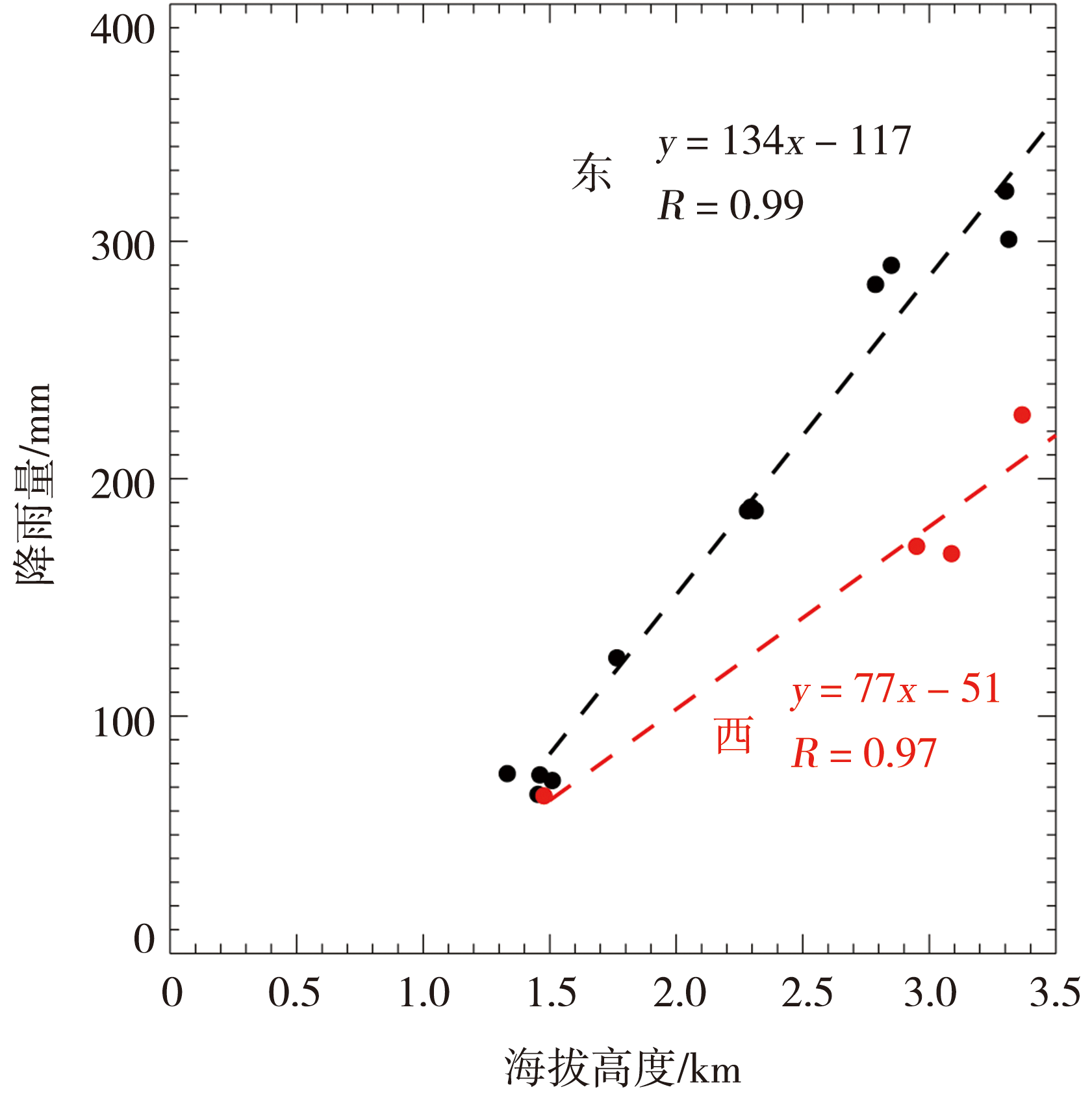
| 图3 祁连山中段东、西部站点夏季平均降雨量与海拔关系 |
| Fig.3 The relationship between the average rainfall amount in summer and altitude of the meteorological stations in the middle of the Qilian Mountains |
|