“十四运”关键场馆气象要素特征及客观预报检验
Characteristics of meteorological elements and objective forecast verification at the key venues of “the 14th National Games”
责任编辑: 蔡迪花;校对:黄小燕
收稿日期: 2022-03-29 修回日期: 2022-10-12
| 基金资助: |
|
Received: 2022-03-29 Revised: 2022-10-12
作者简介 About authors
潘留杰(1978—),男,陕西石泉人,正高级工程师,主要从事天气预报与研究工作。E-mail:781483047@qq.com。
气象要素特征的定点精细化分析和预报评估对重大体育赛事气象保障有重要意义。利用国家气象信息中心三源融合降水分析产品和欧洲中期天气预报中心(European Centre for Medium-Range Weather Forecasts,ECMWF)ERA5再分析资料,分析第十四届全国运动会(简称“十四运”)西安、延安、安康关键场馆的气象要素特征,并检验ECMWF、中国气象局中尺度数值预报系统(China Meteorological Administration Mesoscale Model,CMA-MESO)预报产品和国家气象中心网格指导预报产品(SCMOC)对3个关键场馆降水、气温和风的预报表现。主要结论如下:(1)十四运历史同期3个关键场馆发生降水的概率较高,开、闭幕日举行地西安场馆历史上出现降水的概率分别为46%和44%,平均降水量分别为24.6、9.8 mm,且降水量和降水概率峰值多出现在午后至傍晚。(2)十四运历史同期3个场馆夜间气温相对较低,白天快速升温,日平均气温大多为12~18 ℃,适宜赛事活动;3个场馆盛行偏东风或偏南风,西安、安康场馆风速小,适宜赛事活动,而延安场馆出现4级以上风的频次较高,对赛事有不利影响。(3)整体而言,十四运历史同期SCMOC在3个场馆的晴雨预报准确率最高,但降水频次预报较实况明显偏低,有漏报的风险;SCMOC对阻塞型和两槽一脊型降水过程的晴雨预报有明显优势,而ECMWF对低涡底部型降水过程预报表现较好,且TS值最稳定。ECMWF的气温预报准确率优于SCMOC和CMA-MESO,而SCMOC的风速预报具有绝对优势。(4)十四运期间3种产品的预报性能差异与历史同期基本一致,但整体预报评分高于历史同期。
关键词:
The fixed-point refined analysis and forecast evaluation of meteorological elements are of great significance to the meteorological guarantee of major sports events. Based on the precipitation analysis product of three-source fusion data from the National Meteorological Information Center and the ERA5 reanalysis data from European Centre for Medium-Range Weather Forecasts (ECMWF), the characteristics of meteorological elements were studied at the key venues (Xi’an Olympic Sports Centre, Yan’an University Gymnasium and Hanjiang open water area in Ankang) of the 14th National Games, and the prediction performance of precipitation, temperature and wind products of ECMWF, China Meteorological Administration Mesoscale Model (CMA-MESO) and grid-guided precipitation forecast products (SCMOC) was inspected at the three key venues. The main conclusions are as follows: (1) The probability of precipitation at the three key venues was all high in the historical period of the 14th National Games. On the opening and closing days at Xi’an venue, the probability of precipitation was 46% and 44% and the average daily precipitation was 24.6 mm and 9.8 mm, respectively, and the peak of precipitation and precipitation probability mostly appeared from afternoon to evening. (2) The temperature was relatively low at night and increased rapidly in the daytime, and the daily average temperature mostly fluctuated between 12 ℃ and 18 ℃ at the three venues during the 14th National Games, which is generally appropriate to race. The easterly or southerly winds prevailed at the three venues, and the wind speed at Xi’an and Ankang venues was low, which is suitable to sport events, while the frequency of wind force above grade 4 at Yan’an venue was higher, which may have an adverse effect to sport events. (3) In general, the rain probability prediction accuracy of SCMOC at the three venues was the highest in the historical same period of the 14th National Games, but the frequency of precipitation forecast was significantly lower than the observation, which had the risk of missing forecast. In addition, SCMOC had obvious advantages for the rain probability prediction to precipitation processes with circulation situation of blocking pattern and two-trough and one-ridge pattern, while ECMWF had better performance to precipitation processes with low vortex bottom pattern, and TS value was stable. The accuracy of temperature prediction of ECMWF was better than that of SCMOC and CMA-MESO, while the wind speed forecast of SCMOC had absolute advantages. (4) During the 14th National Games, the performance differences among three forecast products were basically consistent with the historical period, but the overall forecast scores were higher than the historical period.
Keywords:
本文引用格式
潘留杰, 梁绵, 祁春娟, 李培荣, 朱庆亮.
PAN Liujie, LIANG Mian, QI Chunjuan, LI Peirong, ZHU Qingliang.
引言
针对体育赛事的气象预报服务保障工作主要包括精细化预报预警系统研发(邓国等,2022)和天气预报准确率提升两方面(杨璐等,2023;Duan et al.,2012;Golding et al.,2014;Joe et al.,2010)。赛事期间,高温、暴雨、雾和雷暴等发生概率、分布特点(李炬等,2020)和比赛场地各级风速、风向出现频率(杨艳娟和周慧,2007;胡艺等,2022)以及重要节点的天空状况、降水云系精细化特征(王彦等,2010;李宏宇等,2011)等都会直接影响气象保障服务水平和效果。另外,通过客观检验获取预报指标,增强模式释用水平,也是提高预报、预警能力的关键因素(Chakraborty,2010;Darby et al.,2019)。
2021年9月15—27日,中华人民共和国第十四届全国运动会(简称“十四运”)在陕西省举行。9月随着东亚夏季风系统南撤,陕西中南部常出现持续时间长、影响范围大的华西秋雨天气。已有华西秋雨对陕西的影响研究主要集中在大尺度环流特征和数值模式预报性能分析方面(蔡新玲等,2019;薛春芳等,2012;方建刚等,2008,潘留杰等,2015,侯建忠等,2005;叶瑶和李国平,2016),难以满足体育赛事精细化时空尺度预报服务需求。此外,陕西南北跨度大、地形地貌复杂、海拔高度落差大,复杂的地形环境易形成局地环流,给运动场馆带来不利于赛事活动的高影响天气。因此,开展赛事场馆周边气象要素特征精细化分析和数值模式预报性能评估(井立红等,2017;张成军等,2017;刘俊卿等,2019;陈宏等,2021),不仅在赛事气象服务中发挥显著作用,还能够加深对不同模式产品预报能力的认识,从而提高产品在日常预报业务中的应用水平。
1 资料和方法
1.1 资料
选取十四运3个关键场馆进行分析,3个场馆分别位于陕北黄土高原、关中盆地和陕南秦巴山区气候带,其气候特征和下垫面条件相似,地理位置如图1所示。为了清楚认识场馆气象要素变化特征及空间演变,除考虑单点特征外,空间上采用相对较大的范围(106°E—111°E,32°N—37°N)进行综合分析。文中附图涉及的地图基于国家测绘地理信息局标准地图服务网下载的审图号为GS(2019)1719号的标准地图制作,底图无修改。
图1
图1
关键场馆的地理位置(红色圆点)及周边地形(彩色填充,单位:m)
Fig.1
The location (the red dots) and terrain (the color filled areas, Unit: m) of the key competition venues and their surroundings
由于场馆附近的自动气象观测站布设时间短,故而使用了2008—2021年国家气象信息中心的逐小时三源(地面、卫星、雷达)融合降水分析产品(CMA Multi-source Merged Precipitation Analysis System,CMPAS),空间分辨率为0.05°×0.05°,其中2008—2020年资料用于降水气候特征分析,2021年资料作为实况用于十四运期间降水预报产品检验。研究指出,CMPAS资料代表性和可靠性好,可以用来表达降水真实状况(潘旸等,2018)。同时,使用1979—2020年欧洲中期天气预报中心(European Centre for Medium-Range Weather Forecasts,ECMWF)全球气候大气第五代(ERA5)逐小时地面气象要素再分析资料,包括温度和风向风速,空间分辨率为0.1°×0.1°。便于对比分析,采用双线性插值方法,将ERA5格点资料的空间分辨率插值为0.05°×0.05°。
此外,利用ERA5高空环流场再分析资料(空间分辨率0.25°×0.25°)对开、闭幕式和赛事期间大气环流形势进行分类,考察不同环流形势下客观降水预报产品的预报能力。客观预报产品主要选取2017—2021年9月15—27日ECMWF、CMA-MESO(China Meteorological Administration Mesoscale Model)模式预报和国家气象中心的网格预报指导产品SCMOC,空间分辨率分别为0.125°×0.125°、0.1°×0.1°、0.05°×0.05°,其中2017—2020年资料用于历史同期检验,2021年资料用于十四运期间实际预报性能检验;气温和风实况资料采用同期中国气象局陆面数据同化系统(China Meteorological Administration Land Data Assimilation System,CLDAS)再分析资料。资料及说明见表1。文中时间均为北京时。
表1 数据及说明
Tab.1
| 资料 | 时段 | 空间分辨率 | 用途 |
|---|---|---|---|
| CMPAS降水网格实况 | 2008—2021年 | 0.05°×0.05° | 降水气候特征分析和预报检验实况 |
| ERA5地面要素 | 1979—2020年 | 0.1°×0.1° | 气温、风速气候特征分析 |
| ERA5环流场 | 2008—2020年 | 0.25°×0.25° | 环流形势分析 |
| ECMWF地面要素 | 2017—2021年 | 0.125°×0.125° | ECMWF的地面要素预报性能分析 |
| SCMOC地面要素 | 2017—2021年 | 0.05°×0.05° | SCMOC的地面要素预报性能分析 |
| CMA-MESO地面要素 | 2017—2021年 | 0.1°×0.1° | CMA-MESO的地面要素预报性能分析 |
| CLDAS 陆面网格实况 | 2017—2021年 | 0.0625°×0.0625° | 气温和风预报检验实况 |
1.2 检验方法
综合图可以从多个方面全面展示降水预报表现,本文利用综合图评估不同产品经典预报评分,评分指标主要包括命中率(Hit Ratio,HR)、成功率(Success Ratio,SR)、偏差(Bias)和TS(Threat Score)以及晴雨预报准确率(Percentage Correct,PC),其中预报偏差是预报次数相对观测的比值。计算公式如下:
式中:A表示正确预报超过降水阈值的次数;B为空报次数;C为漏报次数;D为正确预报未超过降水阈值的次数。
针对温度和风速要素采用的评分主要包括:预报误差在给定阈值范围内的准确率和平均误差(Mean Error,ME),计算公式如下:
式中:At为预报误差在给定阈值范围内的准确率;
2 气象要素特征
十四运期间,西安奥体中心举行开(闭)幕式演出,同时承担田径比赛项目;延安大学体育馆承担室内乒乓球和摔跤比赛,气象条件主要影响运动员抵达和离开场馆,而安康公开水域则举行水上马拉松游泳比赛。从已有的高影响天气阈值来看,当降水超过1.0 mm·h-1时,对西安、安康场馆赛事活动有影响;当风速超过3.5 m·s-1时,对西安场馆田径比赛成绩有影响,而当风速超过5.0 m·s-1时,则影响安康场馆游泳比赛成绩;当气温超过28 ℃时,可能影响运动员情绪和竞赛表现。因此,在综合对比3个场馆气象要素特征的同时,重点分析降水、风速对西安和安康场馆赛事活动的不利影响。
2.1 降水
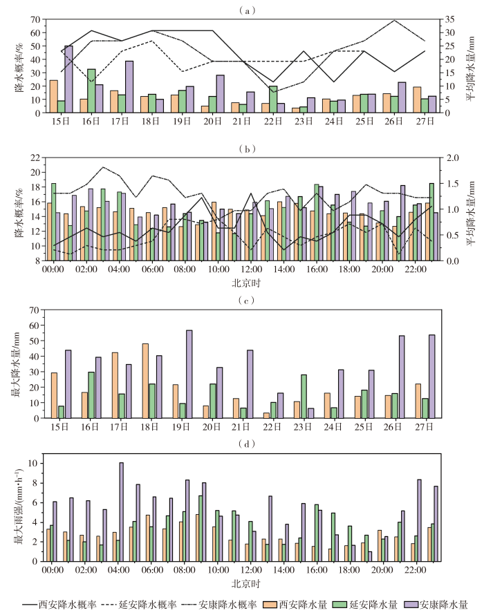
利用2008—2020年逐小时CMPAS降水分析产品,分析十四运历史同期3个场馆平均逐日降水量和降水概率(降水日数与总日数之比),小时降水概率与日降水概率计算方法类似。另外,针对每个场馆挑选出日最大降水量和最大小时雨强,用于分析历史同期极端降水量级。可以看出,9月15—27日3个场馆均易发生降水,除23日外,各场馆平均逐日降水量大于2.5 mm,且在十四运开幕日(15日)和闭幕日(27日)降水明显偏强、降水概率偏高[图2(a)]。其中,西安奥体中心主场馆前期15—20日降水概率一直维持在较高水平,整体大于50%,开幕日、闭幕日平均降水量分别为24.6、9.8 mm,降水概率分别为46%、44%,表明开幕和闭幕日西安奥体中心出现降水的可能性较大。从降水逐小时变化[图2(b)]来看,3个场馆降水日变化特征有明显差异,西安主场馆有2个降水概率峰值,分别出现在08:00—12:00和18:00—20:00,降水概率均超过12%,平均小时降水量均大于0.5 mm,对体育赛事和相关活动可能产生影响。比较而言,安康场馆降水概率远高于西安场馆,平均降水概率超过15%,且夜雨特征明显,08:00—15:00降水相对偏弱,而15:00—18:00降水强但降水概率较低,是相对的有利因素。
图2
图2
2008—2020年9月15—27日3个关键场馆平均日降水量(a)、小时降水概率(b)和日最大降水量(c)、小时最大雨强(d)变化
Fig.2
Changes of average daily precipitation (a), hourly precipitation probability (b), daily maximum precipitation (c)and hourly maximum rainfall intensity (d) at three key venues from September 15 to 27 during 2008-2020
从十四运历史同期日最大降水量[图2(c)]看出,西安有3 d达到大雨量级,分别是9月15日、17日和18日,小雨量级的有2 d,分别是20日和22日,达到中雨量级的最多为8 d,无暴雨出现。从小时最大雨强[图2(d)]看出,06:00—10:00雨强大,其值超过3.0 mm·h-1;10:00之后,雨强逐渐减小,开幕式关键时段20:00—22:00的最大小时雨强为1.8~3.2 mm·h-1,参考高影响降水阈值,极端情况可能对开(闭)幕式和赛事活动产生不利影响。就安康场馆而言,十四运期间的13 d中有3 d出现暴雨、7 d出现大雨、小雨和中雨各出现1 d,最大日降水量为56.5 mm(9月19日),表明十四运期间可能出现影响水上马拉松赛事的大雨或暴雨天气。可见,安康场馆小时雨强的变化趋势与西安场馆类似,早晨降水强度大,10:00—20:00雨强整体减弱。综合来看,在极端情况下赛事期间西安和安康场馆均可能出现超过阈值的高影响天气,对户外赛事产生不利影响。
2.2 气温和风速
图3
图3
1979—2020年9月15—27日3个关键场馆气温(a、b)和风速(c、d)逐日(a、c)、日(b、d)变化
(箱体值从上至下依次为最大值、上四分位数、中位数、下四分位数和最小值)
Fig.3
The daily (a, c) and diurnal (b, d) change of temperature (a, b) and wind speed (c, d) at the three key venues from September 15 to 27 during 1979-2020
(The values of box body from top to bottom are the maximum, the upper quartile, median, the bottom quartile and the minimum in turn)
图4是十四运举行时段历史同期3个场馆的风频图,发现9月影响延安场馆的主要是偏南风,其频次超过40%,最大风速超过8.0 m·s-1,风力达到4级及以上。与延安场馆相比,西安和安康场馆风速明显偏低,西安场馆50%以上为东南风,平均风速多在4.0 m·s-1以下,偏北风的频次低、风速小,对场馆赛事影响不大;安康场馆主要为东风或偏东风,其频次超过60%,且风速不大,其余风向多为0.0~2.0 m·s-1的微风。
图4
图4
1979—2020年9月15—27日3个关键场馆风玫瑰图
[百分数表示风向频次,色标条表示平均风速(单位:m·s-1)]
(a)延安,(b)西安,(c)安康
Fig.4
The rose map of wind at the three key venues from September 15 to 27 during 1979-2020
(The percentage represents frequency of wind directions, and color bars indicate average wind speed (Unit: m·s-1))
(a) Yan’an, (b) Xi’an, (c) Ankang
3 模式预报产品检验
3.1 历史同期预报检验
3.1.1 降水
准确的气象要素预报对各种活动及赛事的成功举办至关重要,因此评估了十四运历史同期2017—2020年业务主流模式ECMWF、CMA-MESO和国家气象中心网格预报指导产品SCMOC的降水预报表现。从表2看出,ECMWF模式在延安和西安场馆的晴雨预报准确率高,分别为75%和89%,而安康场馆仅有66%;预报偏差在延安、西安、安康场馆分别为1.05、0.87、1.20,表明延安场馆ECMWF模式预报和观测的降水频次接近,而西安场馆预报的降水频次略低于观测,安康场馆预报的降水频次高于观测。对比发现,3个场馆CMA-MESO模式晴雨预报准确率整体偏低,PC在68%~71%之间,降水频次预报整体偏高,偏差在1.05~1.25之间。相对于ECMWF模式,CMA-MESO有较大的改进空间。整体来看,SCMOC的晴雨预报准确率最高,但降水频次显著偏低,实际应用中采信SCMOC降水预报有漏报的风险。总体而言,3个场馆SCMOC的降水预报表现最好,SCMOC对延安、安康场馆的晴雨预报准确率较ECMWF明显偏高,而对西安场馆的晴雨预报准确率与ECMWF相近,3个场馆CMA-MESO晴雨预报准确率都相对偏低。
表2 2017—2020年9月15—27日3个关键场馆不同日降水量预报产品检验指标对比
Tab.2
| 场馆 | ECMWF | CMA-MESO | SCMOC | |||
|---|---|---|---|---|---|---|
| PC/% | Bias | PC/% | Bias | PC/% | Bias | |
| 延安 | 75 | 1.05 | 71 | 1.05 | 85 | 0.80 |
| 西安 | 89 | 0.87 | 70 | 1.20 | 92 | 0.78 |
| 安康 | 66 | 1.20 | 68 | 1.25 | 83 | 0.93 |
图5是2017—2020年十四运历史同期3个关键场馆不同量级降水预报产品的TS和偏差。延安场馆[图5(a)],对于小雨及以上量级,CMA-MESO模式的TS值最高约0.58,CMA-MESO和ECMWF的频次偏差都接近于1.00,而SCMOC预报的频次严重偏低;对于中雨及以上量级,ECMWF模式TS值最高,SCMOC的频次偏差接近于1.00。西安场馆[图5(b)],ECMWF模式在所有量级降水上均表现最优,其对小雨及以上量级的频次预报偏差与CMA-MESO接近,但CMA-MESO对小雨及以上量级预报的TS值偏低。分析发现,CMA-MESO模式存在较大的时间偏差,导致空报或漏报较多,从而降低了TS评分。对于中雨、大雨和暴雨及以上量级,CMA-MESO预报频次偏差大,命中率高,空报多,成功率低。SCMOC对小雨及以上量级预报的TS值较高,与ECMWF模式相当,但预报频次偏差较大,而在其他量级上TS值均较ECMWF和CMA-MESO模式偏低。3种降水产品在安康场馆的预报表现[图5(c)]与西安场馆基本一致,但在暴雨及以上量级CMA-MESO的TS明显更优。
图5
图5
2017—2020年9月15—27日不同场馆3种降水预报产品综合检验
(黄色实线和黑色虚线分别表示TS、频次偏差)
(a)延安,(b)西安,(c)安康
Fig.5
Comprehensive test of three precipitation forecast products at different venues from September 15 to 27 during 2017-2020
(The yellow solid lines and black dashed lines indicate TS and frequency bias, respectively)
(a) Yan’an, (b) Xi’an, (c) Ankang
为进一步认识不同环流形势下客观产品的降水预报表现,基于500 hPa位势高度场和700、200 hPa风场资料,对2008—2020年9月15—27日期间的降水过程环流形势进行分类合成,得到9月15—27日期间陕西降水过程的环流形势主要为阻塞型、低涡底部型和两槽一脊型(图6)。阻塞型[图6(a)],主要表现为200 hPa上40 m·s-1以上的急流核位于我国陕北北部、山西、内蒙古、山东至日本海上空,500 hPa贝加尔湖以西有阻塞高压,高压前部冷空气分裂南下,副热带高压控制我国华南沿海一带,584 dagpm线位于四川北部和陕南一带,700 hPa强盛的西南气流在秦岭北部形成气旋式切变,冷暖空气在关中地区交汇,关中、陕南地区易形成大范围降水天气。低涡底部型[图6(b)],主要表现为200 hPa高空急流在陕西东部断裂,500 hPa内蒙古北部有强大的低涡系统,低涡底部为西北气流,副热带高压和大陆高压打通,700 hPa有偏南气流影响陕西大部分地区。与阻塞型相比,低涡底部型的水汽输送偏弱,陕西境内降水范围较大,但强度较弱。两槽一脊型[图6(c)],主要表现为200 hPa高空急流核位置偏南,500 hPa内蒙古北部有西风槽东移、东北地区有低槽发展,700 hPa弱的偏南气流影响陕南且范围相对较小,造成的降水范围和强度较阻塞型和低涡底部型明显偏弱。
图6
图6
2008—2020年9月15—27日期间陕西阻塞型(a)、低涡底部型(b)和两槽一脊型(c)降水过程500 hPa位势高度(黑色等值线,单位:dagpm)及700 hPa风场(蓝色矢量,单位:m·s-1)、200 hPa急流风速(彩色填充区,单位:m·s-1)合成(a、b、c)和不同环流分型下2017—2020年9月15—27日3种降水客观产品的TS(彩色柱形)和PC(灰度柱形)(d)
(红色线包围区域为陕西省)
Fig.6
The composition of 500 hPa geopotential height (black isolines, Unit: dagpm), 700 hPa wind field (blue vectors, Unit: m·s-1) and wind speed of 200 hPa jet (color filled areas, Unit: m·s-1) (a, b, c) under circulation situations with blocking pattern (a), low vortex bottom pattern (b), two-trough and one-ridge pattern (c) during the precipitation in Shaanxi from September 15 to 27 during 2008-2020, and TS (color bars) and PC (grey bars) of three objective precipitation forecast products under different circulation patterns (d) from September 15 to 27 during 2017-2020
(the area enclosed by red line for the Shaanxi Province)
2017—2020年不同降水客观产品检验[图6(d)]显示,3种产品对阻塞型降水的晴雨预报和TS评分都有较好的表现,SCMOC的晴雨预报准确率最高达85%,明显优于ECMWF和CMA-MESO,而ECMWF的TS评分优于SCMOC和CMA-MESO,这与前文总体分析结果基本一致,其原因是阻塞型降水天气占比最大为52%,且该环流形势下天气系统深厚,水汽输送强盛,可预报性较高。与阻塞型相比,3种客观产品对低涡底部型降水的晴雨预报准确率和TS整体偏低,SCMOC和CMA-MESO晴雨预报准确率明显偏低,而ECMWF降水预报表现稳定,其晴雨预报准确率略高。对于两槽一脊型,3种客观产品的晴雨预报准确率与阻塞型基本一致,SCMOC、ECMWF和CMA-MESO的晴雨预报准确率分别为81%、80%和72%,略低于阻塞型,但ECMWF的TS值仍最高。
整体而言,SCMOC对陕西阻塞型和两槽一脊型环流形势下降水过程的晴雨预报准确率最高,而ECMWF对低涡底部型的晴雨预报表现最好;从TS来看,3种环流形势下ECMWF表现最稳定、漏报率低。
3.1.2 气温与风速
为了与赛事气象服务一致,对3种模式2017—2020年9月15—27日起报12 h后的逐3 h气温预报进行检验。整体来看,ECMWF模式对延安场馆气温预报优势明显,但在不同预报时效上差异较大(图7),12~21 h内ECMWF的平均准确率最高,超过80%,而6~9 h的准确率相对偏低,且表现为负误差,其他时效基本为正误差。西安场馆,ECMWF的气温预报准确率表现最好,CMA-MESO次之。SCMOC、ECMWF整体表现为负误差,而CMA-MESO在3~12 h表现为负误差,15~24 h表现为正误差,整体为正误差。安康场馆,SCMOC和ECMWF的气温预报显著优于CMA-MESO,且在部分时效SCMOC的准确率低于ECMWF,ECMWF和CMA-MESO总体表现为负误差,SCMOC表现为正误差。
图7
图7
2017—2020年9月15—27日3个关键场馆不同气温预报产品平均误差(a、c、e)及误差不超过2.0 ℃的准确率(b、d、f)
(a、b)延安,(c、d)西安,(e、f)安康
Fig.7
The average error of different temperature forecast products (a, c, e) and the accuracy of error less than or equal to 2.0 ℃ (b, d, f) at the three key venues from September 15 to 27 during 2017-2020
(a, b) Yan’an, (c, d) Xi’an, (e, f) Ankang
图8是9月15—27日3个场馆不同风速客观产品的预报准确率和平均误差。可以看到,SCMOC风速预报较ECMWF和CMA-MESO有明显优势,特别是西安和安康场馆的预报准确率远高于其他两种;3种模式对延安和西安场馆的风速预报一致表现为正误差,ECMWF和CMA-MESO的预报误差显著高于SCMOC,SCMOC的预报误差为0.0~0.5 m·s-1,延安场馆CMA-MESO的预报误差最大,在0.5~2.0 m·s-1之间,而西安场馆ECMWF的预报误差最大,在0.6~1.0 m·s-1之间。在安康场馆,ECMWF和CMA-MESO的风速预报一致表现正误差,且后者的预报误差更大,在0.2~1.5 m·s-1之间,而SCMOC在12~15 h预报时效上表现为低的正误差,其余时效均为负误差。整体来看,尽管ECMWF和CMA-MESO的风速预报准确率偏低、误差较大,但在不同场馆两模式误差分布有较明显的规律性,改进提升空间较大。
图8
图8
2017—2020年9月15—27日3个关键场馆不同风速预报产品的平均误差(a、c、e)和误差不超过2.0 m·s-1的准确率(b、d、f)
(a、b)延安,(c、d)西安,(e、f)安康
Fig.8
The average error of different wind speed forecast products (a, c, e) and the accuracy of error less than or equal to 2.0 m·s-1 (b, d, f) at the three key venues from September 15 to 27 during 2017-2020
(a, b) Yan’an, (c, d) Xi’an, (e, f) Ankang
3.2 十四运期间预报检验
表3是2021年十四运期间ECMWF、CMA-MESO和SCMOC降水预报产品的表现。从晴雨预报来看,十四运期间ECMWF对延安和安康场馆的预报准确率较历史同期偏高,而对西安场馆的预报准确率较历史同期略偏低;CMA-MESO对3个场馆的预报准确率较历史同期一致偏高;SCMOC对延安场馆的预报准确率较历史同期略偏高,而对西安、安康场馆的预报准确率较历史同期略偏低。尽管3种降水预报产品的晴雨预报准确率与历史同期有差异,但整体趋势基本一致。就预报偏差来看,十四运期间ECMWF对3个场馆的降水预报频次均高于观测,与历史同期基本一致,而CMA-MESO的预报偏差较历史同期有所减小,SCMOC的预报偏差略有增大,较历史同期更接近理想值。整体来看,3种降水产品在十四运期间的预报表现均优于历史同期,且SCMOC的晴雨预报准确率和偏差均表现最好。
表3 十四运期间3个关键场馆不同降水预报产品检验指标对比
Tab.3
| 场馆 | ECMWF | CMA-MESO | SCMOC | |||
|---|---|---|---|---|---|---|
| PC/% | Bias | PC/% | Bias | PC/% | Bias | |
| 延安 | 84 | 1.06 | 81 | 0.81 | 86 | 0.96 |
| 西安 | 86 | 1.11 | 85 | 1. 07 | 87 | 0.98 |
| 安康 | 76 | 1.34 | 82 | 1.20 | 80 | 0.92 |
从气温和风速预报产品检验(图9)来看,十四运期间ECMWF的气温预报仍然表现较好,ECMWF在3个场馆的气温预报平均误差明显低于其他两种预报产品,且预报准确率大部分时段优于SCMOC、CMA-MESO。与降水预报表现相似,十四运期间3种气温预报产品的准确率均高于历史同期均值。计算发现,ECMWF、SCMOC、CMA-MESO在3个场馆的气温预报准确率平均分别高于历史同期5.3%、6.2%和5.8%,平均误差低于历史同期0.7、0.7、0.3 ℃。风速预报的表现类似,3种预报产品的优劣与历史同期基本一致,SCMOC的风速预报平均误差最小,准确率优于ECMWF和CMA-MESO;ECMWF、CMA-MESO、SCMOC的风速预报准确率较历史同期平均分别提高3.4%、3.7%和4.1%。
图9
图9
十四运期间3个关键场馆不同时效气温、风速预报产品的平均误差(a、c、e)及误差不超过2.0 ℃或2.0 m·s-1的准确率(b、d、f)
(a、b)延安,(c、d)西安,(e、f)安康
Fig.9
The average error of temperature and wind speed forecast products (a, c, e) at different leading time and the accuracy with errors less than or equal to 2.0 ℃ or 2.0 m·s-1 (b, d, f) at three key venues during the 14th National Games
(a, b) Yan’an, (c, d) Xi’an, (e, f) Ankang
4 结论
利用国家气象信息中心三源融合网格降水产品、CLDAS和ERA5再分析资料,分析十四运历史同期关键场馆气象要素特征和降水过程环流分型,并检验ECMWF、CMA-MESO、SCMOC产品对这3个场馆降水、气温和风的预报表现。从气候要素特征来看,十四运期间气温和风均适宜赛事活动开展,但降水概率较高,可能出现极端降水,对赛事活动不利。检验发现,十四运期间3种产品的预报表现与历史同期基本一致,且降水、气温、风速预报水平较历史同期均有所提高。主要结论如下:
(1)历史同期资料显示,十四运期间(9月15—27日)3个关键场馆降水概率较高,可能对赛事活动产生不利影响。其中,开幕日和闭幕日举行地西安场馆午后的降水概率较高,分别为46%和44%,同期平均降水量分别为24.6、9.8 mm,表明开幕日和闭幕日西安场馆出现降水的可能性较大。
(2)十四运历史同期,夜间气温较低,白天快速升温,傍晚气温缓慢下降,适宜开展赛事活动。日最高、最低气温有可能达25~29 ℃和0 ℃,需要重点关注。3个场馆主要为偏东风或偏南风,延安场馆出现4级以上风的频次较高,对赛事可能产生不利影响,而西安和安康场馆风速较延安场馆明显偏低,更有利于赛事活动。
(3)十四运历史同期SCMOC的晴雨预报准确率最高,但SCMOC预报的降水发生频次较实际出现的降水频次明显偏低,有漏报的风险。SCMOC对阻塞型和两槽一脊型降水过程的晴雨预报准确率最高,而ECMWF对低涡底部型降水过程的晴雨预报表现最好,3种环流形势下ECMWF表现最稳定、漏报率低。ECMWF的气温预报准确率优于SCMOC和CMA-MESO,而SCMOC的风速预报相对于ECMWF和CMA-MESO具有绝对优势。
(4)十四运期间,3种预报产品的降水、气温、风速预报表现差异与历史同期基本一致,SCMOC的晴雨预报和风速预报准确率整体占优,而ECMWF的气温预报相对较好,且3种产品的降水、气温、风速预报表现较历史同期提升较明显,这可能是模式及其释用算法的发展和改进所致。
参考文献
数值预报模式在新疆塔城地区降水预报中的检验
[J].利用德国、日本、T639、EC细网格模式降水预报资料,采用客观分析和TS评分检验方法对2012年1月至2016年3月塔城地区降水的预报效果进行检验和对比分析。结果表明:EC细网格模式对盆地强降水中心、最大降水量、降水开始及结束时间预报的TS评分最高,TS评分次高为南部地区,而和丰地区最差;德国模式对盆地降水落区预报的TS评分最高,EC细网格模式对南部及和丰地区降水落区预报的TS评分最高;除和丰外,4种模式对塔城地区冷季降水预报的TS评分均高于暖季,对24 h 各级别降雪预报的TS评分高于降雨;随着预报时效延长、降水量级增大,4种模式对24—72 h降雨(雪)及24 h各级别降雨(雪)的预报准确率随之下降,其中24 h降雨(雪)、小雨(雪)的TS评分最高。
山西省冰雪运动气候适宜性评价
[J].综合考虑温度、降雪量、风等因素,构建冰雪运动气候指数(ice-snow sport climate index,ISCI)评价模型,确定冰雪运动气候适应性分级标准。以山西省为例,定量评价冰雪运动的气候适宜性特征和空间分布状况。结果表明:全省冰雪运动气候指数平均值为5.03,属于一般适宜等级;38°N以北的大部分区域均适合发展冰雪运动产业,且未来气候适宜性呈现增强趋势。
近50年渭河流域秋雨的特征与成因分析
[J].利用渭河流域64个测站1960-2009年秋季(9~10月)的月降水量和≥0.1 mm逐日降水量资料以及NCEP/NCAR再分析资料, 采用线性倾向估计\, EOF\, Morlet小波分析\, SVD及相关分析方法系统地分析了渭河流域秋雨的变化趋势和分布特征, 着重研究了与此相关的欧亚地区秋季大气环流的年代际变化以及渭河流域秋雨与前期海温、 青藏高原积雪和大气环流特征量等之间的关系。结果表明, 近50年渭河流域秋雨呈线性减少趋势, 其中中雨和暴雨减少趋势明显, 突变发生在1985年前后, 1960-1985年为偏多时段, 1986-2000年为偏少时段, 2001年以来又趋向偏多。渭河流域秋雨从南到北呈递减分布, 该流域内各站秋雨主要表现为一致的减少趋势, 其上游的漳县、 甘谷和北部的合水呈增加趋势。欧亚大陆秋季大气环流明显的年代际变化造成了渭河流域秋雨多寡模态的变化。欧洲西部高压脊、 西风带低槽和西太平洋副热带高压是造成渭河流域降水多寡的主要影响系统。根据渭河流域秋雨与大气内外部因子的关系, 初步建立了渭河流域秋雨预测的概念模型。
近61年夏半年西南低涡的统计特征与异常发生的流型分析
[J].利用NCEP/NCAR再分析资料,统计了1954-2014年间夏半年(5-10月)西南低涡发生次数的年际变化,并着重分析了西南低涡异常发生年份的气候特征。结果表明,西南低涡多发年,低层流场在西南低涡关键区表现为西南风旺盛且辐合异常强,气旋性切变加大,低纬季风环流增强,导致大量正角动量输送至关键区,有利于西南低涡生成;同时印度洋输送至关键区的水汽通量增加,也有利于降水发生。而西南低涡少发年,低纬季风减弱,关键区为异常北风控制,南支绕流偏弱,水平散度场表现为辐散异常强,造成角动量输送减弱,不利于西南低涡生成;且来自于印度洋的季风水汽输送减弱,亦不利于降水发生。因此,除地形和加热作用外,西风带以及季风环流带来的水汽和角动量输送也是影响西南低涡发生的重要因子。
多种数值预报及其释用产品在宁夏天气预报业务中的检验评估
[J].为提高宁夏气象要素预报的准确率,检验了11类数值预报及其释用产品不同时效的准确率。统计发现:温度预报方面,宁夏气象台的释用产品中,排名靠前的,其准确率均优于中央台指导,最高温度尤其明显,中央台指导的最高温度准确率在11种参考产品中仅排7~9名;最好的宁夏最高温度释用产品,在48 h及以后,比宁夏预报员的准确率还要高,但宁夏预报员的最低温度准确率均略高于各类参考产品;降水预报方面,宁夏预报员的24—168 h晴雨和24—72 h一般性降水的准确率最高,中央台指导的晴雨准确率远高于其他参考产品,一般性降水准确率短期内WRF 9 km和中央台最优,中雨量级准确率则EC插值和T639插值有优势;所有参考产品的准确率均存在明显的季节变化,一年中变化幅度在10%~30%之间。
The skill of ECMWF medium-range forecasts during the year of tropical convection 2008
[J].
An evaluation of integrated water vapor, wind, and precipitation forecasts using water vapor flux observations in the western United States
[J].
An overview of the Beijing 2008 Olympics research and development project (B08RDP)
[J].The Beijing 2008 Olympics Research and Development Project (B08RDP), initiated in 2004 under the World Meteorological Organization (WMO) World Weather Research Programme (WWRP), undertook the research and development of mesoscale ensemble prediction systems (MEPSs) and their application to weather forecast support during the Beijing Olympic Games. Six MEPSs from six countries, representing the state-of-the-art regional EPSs with near-real-time capabilities and emphasizing on the 6–36-h forecast lead times, participated in the project.
Forecasting capabilities for the London 2012 Olympics
[J].The provision of weather forecasts for the London Olympic and Paralympic Games in 2012 offered the opportunity for the Met Office to accelerate the transition to operations of several advanced numerical modeling capabilities and to demonstrate their performance to external scientists. It was also an event that captured public interest, providing an opportunity to educate and build trust in the weather forecasting enterprise in the United Kingdom and beyond. The baseline NWP guidance for the duration of the Olympic Games came from three main configurations of the Met Office Unified Model: global 25-km deterministic, North Atlantic/Europe 18-km ensemble, and U.K. 1.5-km deterministic. The advanced capabilities demonstrated during the Olympic Games consisted of a rapid-update hourly cycle of a 1.5-km grid length configuration for the southern United Kingdom using four-dimensional variational data assimilation (4D-Var) and enhanced observations; a 2.2-km grid length U.K. ensemble; a 333-m grid length configuration of the Unified Model and 250-m configuration of the Simulating Waves Nearshore (SWAN) ocean wave model for Weymouth Bay; and a 12-km grid length configuration of Air Quality in the Unified Model with prognostic aerosols and chemistry. Despite their different levels of maturity, each of the new capabilities provided useful additional guidance to Met Office weather advisors, contributing to an outstanding service to the Olympic Games organizers and the public. The website provided layered access to information about the science and to selected real-time products, substantially raising the profile of Met Office weather forecasting research among the United Kingdom and overseas public.
/
| 〈 |
|
〉 |
