“十四运”关键场馆气象要素特征及客观预报检验 |
| 潘留杰, 梁绵, 祁春娟, 李培荣, 朱庆亮 |
|
Characteristics of meteorological elements and objective forecast verification at the key venues of “the 14th National Games” |
| PAN Liujie, LIANG Mian, QI Chunjuan, LI Peirong, ZHU Qingliang |
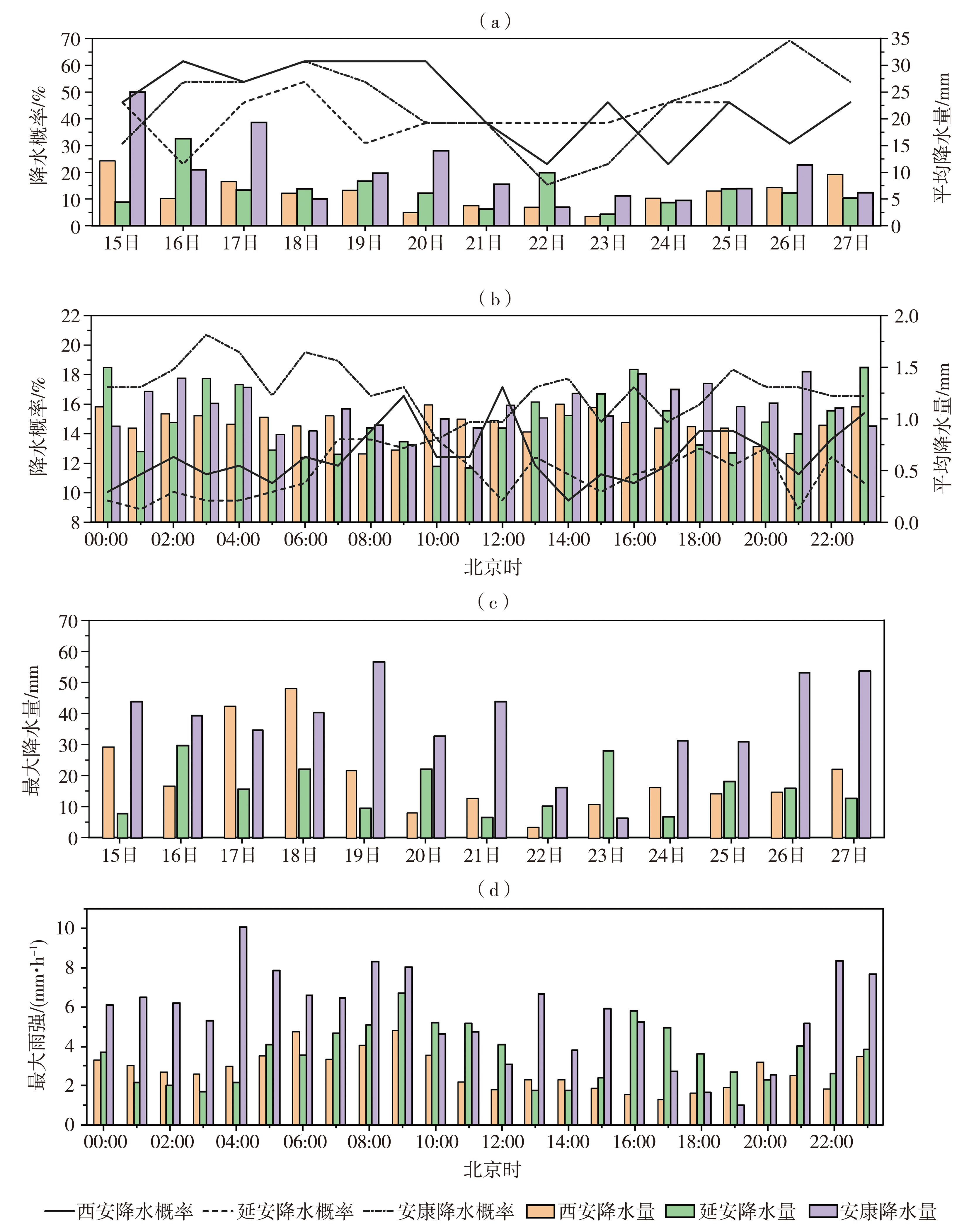
| 图2 2008—2020年9月15—27日3个关键场馆平均日降水量(a)、小时降水概率(b)和日最大降水量(c)、小时最大雨强(d)变化 |
| Fig.2 Changes of average daily precipitation (a), hourly precipitation probability (b), daily maximum precipitation (c)and hourly maximum rainfall intensity (d) at three key venues from September 15 to 27 during 2008-2020 |
|