基于干旱和水位特征构建水库人工增雨需求指数
Construction of artificial precipitation demand level index of the reservoir based on drought and water level characteristics
责任编辑: 刘晓云;校对:黄小燕
收稿日期: 2021-08-21 修回日期: 2021-12-30
| 基金资助: |
|
Received: 2021-08-21 Revised: 2021-12-30
作者简介 About authors
姜舒婕(1991—),硕士,工程师,主要从事人工影响天气与云降水物理研究。E-mail:jsjkitty@163.com。
为定量化描述水库人工增雨需求,以浙江兰溪芝堰水库为研究对象,基于降水、径流和水位历史观测数据,采用实际概率分布阈值法确定逐月不同等级水库水位指标(Water Level Index, WLI)百分位阈值,通过熵权法联合表征气象干旱的标准化降水指数(Standardized Precipitation Index, SPI)和表征水文干旱的标准化径流指数(Standardized Streamflow Index, SSI)构建水库整体干旱指数(Drought Index, DI),综合WLI和DI构建水库人工增雨需求指数(Demand Level Index, DLI)等级,研究WLI、DI和DLI时间特征,结合水库历史记录分析DLI的适用性,结果表明:(1)确定的逐月不同等级WLI百分位阈值能够精细化表征水库在一年内不同时期的缺水程度。(2)1990—2019年气象干旱无明显变化,水文干旱程度加大,其中春季变旱趋势最明显。(3)气象(水文)干旱在夏秋季发生总频率为33.9%(35.0%),高于冬春两季的30.0%(28.3%)。重、特旱在春季的发生频率最高,气象和水文干旱发生频率分别为11.2%和10.0%。水文干旱与气象干旱的时滞性不明显,水文干旱平均历时和平均烈度均高于气象干旱,具有更高的危害性。(4)不同等级的DLI年际分布与WLI较为相近,季节分布与DI分布相似。与2004年之前相比,2004年之后增雨需求出现更为频繁,持续存在时间更长。增雨需求在夏季占比最高,为40.0%,但高度、强烈增雨需求在春季占比最高,为14.4%。(5)构建的DLI等级可以较好地表征水库实际需求,当DLI等级大于等于4持续多个月时,水库可能会出现用水紧张并应采取相关紧急措施。
关键词:
In order to provide a quantitative method to describe artificial precipitation demand, taking Zhiyan reservoir in Lanxi as the research object, based on precipitation, runoff and water level data, the percentile threshold of monthly water level index (WLI) with different grades of the reservoir was derived from real sample probability distribution of water level, the drought index (DI) was constructed by using the entropy weight method combined with the standardized precipitation index (SPI) and the standardized streamflow index (SSI), then WLI was integrated with DI to generate the demand level index (DLI) to describe artificial precipitation demand of reservoir objectively. The temporal characteristics of WLI, DI and DLI were studied, the applicability of DLI was analyzed based on the reservoir history records, the main conclusions are as follows: (1) The constructed percentile threshold of monthly WLI with different grades was able to reflect the water shortage of the reservoir precisely in different periods of a year. (2) There was no significant change in meteorological drought from 1990 to 2019, meanwhile hydrological drought showed an increasing trend, and the increasing trend was most obvious in spring. (3) The total occurrence frequency of meteorological (hydrological) drought in summer and autumn was 33.9% (35.0%), it is higher than that (30.0% (28.3%)) in winter and spring. The occurrence frequency of severe and extreme drought in spring was the highest, and meteorological and hydrological drought accounted for 11.2% and 10.0% respectively in spring. Hydrological drought did not lag behind and had a more serious effect than meteorological drought. (4) The inter-annual distribution of DLI was similar to that of WLI, and the seasonal distribution of DLI was similar to that of DI. Artificial precipitation demand appeared more frequently and last longer in the years after 2004 than before 2004. Demand occurred most frequently in summer, accounting for 40.0%, however the demand of high and very high level occurred most frequently in spring, accounting for 14.4%. (5) The integrated DLI grades could well reflect the actual demand of the reservoir, and when DLI grade was greater than or equal to 4 for several months, the reservoir might be short of water and emergency measures required to be taken.
Keywords:
本文引用格式
姜舒婕, 程莹, 方楠, 周毓荃, 单中华, 张磊.
JIANG Shujie, CHENG Ying, FANG Nan, ZHOU Yuquan, SHAN Zhonghua, ZHANG Lei.
引言
浙江全省水资源相对丰沛,但人均水资源为全国平均的90%,且水资源时空分布不均(Zhai et al., 2005),气象干旱灾害时有发生,并具有发生频率高、范围广、持续时间长,后延影响大的特点(曹欣荣,2013;金新芽等,2012)。在气候变暖背景下,干旱频率增加、程度加重,随着经济快速发展,城市规模不断扩大、人口不断增长,浙江省干旱灾害影响范围已由传统的农业领域扩展到工业、城市、生态等多个方面,用水紧缺情况更加频繁,因旱灾造成的损失越来越大(樊高峰等,2006;樊高峰等,2008;曹永强等,2012;马鹏里等,2019;倪深海等,2019;王健疆等,2021)。因此,通过人工增雨开发空中云水资源,减轻干旱灾害影响,缓解水资源紧张,越来越得到政府和气象部门的重视。
人工增雨保供水的需求在浙江尤为突出,全省63%的地面火箭人工增雨作业点主要服务于水库。目前浙江省对人工增雨的需求分析主要参考气象干旱指标,气象干旱指标可以用来检测和评价某区域某时段内的水分亏欠程度(李忆平和李耀辉,2017;杨国庆等,2019)。然而,经过几年的业务运行,发现气象干旱并不能很好体现水库保供水的需求,常出现气象干旱已减轻或解除但水库蓄水需求仍然旺盛的情况,致使指导产品存在一定的盲目性。这主要是由于干旱产生的影响在旱情解除后不能立即得到缓解(Wilhite,2000),气象干旱指标不能有效反映出旱情对水库的持续影响,且气象干旱主要关注降水等气象要素,没有将气象要素与实际需水情况和缺水程度相联系(赵福年等,2018)。关于描述缺水程度的指数研究较为成熟(Shao et al.,2015;Falkenmark et al.,2010;Sullivan, 2001;Kong et al.,2021),如水压力指数(Water Stress Index, WSI)(Shao et al.,2015)、水匮乏指数(Water Poverty Index, WPI)(Sullivan, 2001)、缺水率(Water Shortage Rate, WSR)(Shao et al.,2015)等,但这些指数也存在一定的局限性,WSI和WPI给出的是缺水形势的整体评估,不能反映缺水的动态变化,WSR虽具有较高的时空分辨率,但计算所需数据量较大,如要业务化应用也存在数据难以获取的现实问题。对于实际人工增雨作业需求,现有研究主要是将气象要素与研究对象的需水情况相联系(张中平等,2007;王可法等,2008;白先达,2013),如农业方面的需水情况由作物对水分胁迫的敏感程度(王可法等,2008)或农业干旱等级和水资源利用等级(Water Utilization Level, WUL)(Kong et al.,2021)定义,水库则是由计划的社会需求进行判断,最终得到的需求强度具有一定的主观性(张中平等,2007)。
为此,本文以浙江兰溪芝堰水库为研究对象,基于降水、径流和水位历史观测数据,采用实际概率分布阈值法确定水库不同等级水位指标(Water Level Index, WLI)百分位阈值,通过熵权法(雷江群等,2014)联合标准化降水指数(Standardized Precipitation Index, SPI)(国家气候中心,2017)和标准化径流指数(Standardized Streamflow Index, SSI)(文佐等,2021)构建水库整体干旱指数(Drought Index, DI),综合WLI和DI构建水库人工增雨需求指数(Demand Level Index, DLI),用于客观描述水库人工增雨需求,以期为旱情出现或加剧前开展人工增雨作业提供一定参考。
1 水库概况和数据
1.1 水库概况
芝堰水库位于浙江省兰溪市黄店镇芝堰村上游,工程所在甘溪流域属钱塘江流域兰江支流,坝址以上集水面积53.4 km²,距兰溪市区22 km。工程等级为Ⅲ等,总库容3912万m³,2019年加固前水库总库容3678万m³,设计洪水位145.48 m,校核洪水位148.65 m,正常蓄水位143.38 m。水库所在的兰溪市年内水量分配极不均匀,降水量主要集中在3—6月,使得兰溪市春末夏初洪水频发,而夏秋季节高温少雨,河水枯竭,形成兰溪易涝易旱的水利特点。
1.2 数据
所用数据为1990—2019年观测的水库逐日降水量、逐月径流量以及逐日水位资料,数据均由兰溪芝堰水库提供。
2 研究方法
2.1 WLI构建方法
由于水库水位的数据不遵从均匀分布、正态分布等常用连续概率分布模型,参照李庆祥和黄嘉佑(2011)提出的实际概率分布确定百分位阈值法。其中,确定样本频率分布的组数
式中:
表1 WLI等级划分
Tab.1
| WLI等级 | 百分位值 |
|---|---|
| 1 | (60%,100%] |
| 2 | (30%,60%] |
| 3 | (15%,30%] |
| 4 | (5%,15%] |
| 5 | (0,5%] |
2.2 干旱指数分级及阈值
选取SPI和SSI分别作为气象干旱和水文干旱指数。SPI适用于不同时间尺度的旱涝情况评价,具有计算简便、数据易获得、稳定性良好的特点(文佐等,2021),计算原理是得到某时段内降水量的Г分布概率后进行正态标准化处理,用标准化降水累计频率分布划分干旱等级。SSI计算原理与SPI相同,输入变量用径流量代替降水量。依据GB/T 20481—2017《气象干旱等级》(国家气候中心,2017)和刘永佳等(2021)使用的标准,将SPI和SSI划分为5个等级,对应的干旱等级和干旱分类详见表2。计算的SPI和SSI时间尺度有1个月、3个月和12个月,3个月和12个月时间尺度的干旱指数分别用于分析季节和年干旱特征。
表2 SPI和SSI等级分类
Tab.2
| 干旱等级 | 干旱分类 | ||
|---|---|---|---|
| 1 | 无旱 | -0.5<SPI | -0.5<SSI |
| 2 | 轻旱 | -1<SPI≤-0.5 | -1< SSI≤-0.5 |
| 3 | 中旱 | -1.5<SPI≤-1 | -1.5< SSI≤-1 |
| 4 | 重旱 | -2.0<SPI≤-1.5 | -2.0< SSI≤-1.5 |
| 5 | 特旱 | SPI≤-2.0 | SSI≤-2.0 |
2.3 干旱事件识别
2.4 熵权法确定权重
熵权法(雷江群等,2014)是通过指标间差异程度来确定各指标权重的一种客观赋权法,熵权值代表评价指标在竞争意义上的激烈程度,具有较强的客观性,其计算步骤如下:
(1) 原始数据标准化处理
假设共有
式中:
(2) 计算熵值
计算第
计算第
当
(3) 计算指标权重
计算第
3 结果与分析
3.1 WLI时间特征
图1为水库不同等级WLI百分位阈值和平均水位月际变化,可以看到WLI阈值和平均水位在7月达到峰值,呈现出明显的月际变化特征,因此逐月WLI阈值可以更精细化地表征水库在不同时期的缺水程度。
图1
图1
兰溪芝堰水库不同等级WLI的百分位阈值和平均水位月际变化
Fig.1
Monthly variation of average water level and percentile threshold of WLI with different grades in Zhiyan reservoir in Lanxi
图2是水库1990—2019年不同等级WLI频率年际分布和标准化年平均水位。可以看出,标准化年平均水位具有明显的年际变化,2004—2019年标准化年平均水位年际变化较1990—2004年更明显,极大值和极小值均出现在2004—2019年。不同等级WLI频率分布和标准化年平均水位有较好的对应关系。受水位变化规律影响,水库缺水的程度由轻到重逐渐增加,或由重到轻逐步缓解,WLI历年逐月逐级增大或减小的分布特征(图略)也很好地体现上述过程。WLI频率年际分布与WLI历年逐月分布特征均反映了WLI标定和分级的合理性。
图2
图2
1990—2019年不同等级WLI频率年际分布和标准化年平均水位
Fig.2
The inter-annual distribution of frequency of WLI with different grades and normalized annual mean water level from 1990 to 2019
3.2 气象和水文干旱特征
3.2.1 干旱趋势变化
图3给出1990—2019年12个月时间尺度的SPI和SSI年际变化及Mann-Kendall(M-K)检验结果。近30 a逐年水文和气象旱涝情况基本一致,一般情况下水文干旱弱于气象干旱,但2003—2009年水文干旱大多强于气象干旱,其可能原因是在持续性干旱背景下,土壤含水量偏少,降水可以缓解气象干旱,但由于降水被土壤吸收,无法形成有效径流,径流量持续偏少,水文干旱持续甚至加重。分析UF线,可以看到SPI大致呈先上升后下降的趋势,但除1993、1994年外,其余年份无论是上升还是下降趋势均未通过α=0.05的显著性检验;SSI在2003年前呈上升趋势,2003年后呈下降趋势,2007—2010年下降趋势显著。通过线性拟合分析,近30 a SPI和SSI分别以每10 a 0.054和-0.23的速度变化。
图3
图3
1990—2019年12个月时间尺度SPI(a)和SSI(b)年际变化及M-K检验
Fig.3
The inter-annual variation of SPI (a), SSI (b) at 12 month time scale and M-K test from 1990 to 2019
结合M-K检验结果和线性拟合分析,近30 a SPI变化趋势不明显,SSI有相对明显的下降趋势。进一步分析不同季节SSI的年际变化,SSI在春季、夏季分别以每10 a 0.27、0.09的速率呈下降趋势,秋季、冬季分别以每10 a 0.14、0.09的速率上升,春季的SSI 变化速率明显高于其他季节,说明1990—2019年水文干旱程度加大,其中春季变旱趋势最明显。
3.2.2 干旱频率分布
图4
图4
1990—2019年不同等级气象干旱发生频率年际分布和标准化年降水(a),不同等级水文干旱发生频率年际分布和标准化年入流(b)
Fig.4
The inter-annual distribution of occurrence frequency of meteorological drought with different grades and normalized annual precipitation (a), inter-annual distribution of occurrence frequency of hydrological drought with different grades and normalized annual inflow (b) from 1990 to 2019
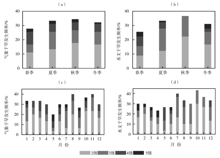
图5为1990—2019年不同等级气象、水文干旱发生频率季节及月际分布。可以看出,气象干旱和水文干旱均为秋季发生频率最高,经计算气象(水文)干旱在夏秋两季发生总频率为33.9%(35.0%),高于冬春两季的30.0% (28.3%),表明气象(水文)干旱在夏秋季发生总频率要高于冬春季,和樊高峰等(2006;2008)的研究中提到浙江夏秋干旱多发的结果较为一致,这主要是由于兰溪降水主要集中在3—6月,入夏后兰溪多高温少雨天气,8—11月干旱发生频率偏高也说明了此特征。从不同等级干旱分布看,轻中旱在秋季发生频率最高,气象干旱和水文干旱发生频率分别为26.7%和33.0%,重特旱在春季发生频率最高,气象干旱和水文干旱发生频率分别为11.2%和10.0%。
图5
图5
1990—2019年不同等级气象(a、c)、水文(b、d)干旱发生频率季节(a、b)及月际(c、d)分布
Fig.5
Seasonal (a,b) and monthly (c,d) distribution of occurrence frequency of meteorological (a,c) and hydrological (b,d) drought with different grades from 1990 to 2019
3.2.3 干旱相关性特征
一般情况下,气象干旱是水文干旱形成的驱动因素之一,水文干旱要滞后于气象干旱(文佐等,2021),但水文干旱对气象干旱的响应关系受到如气象因子、流域面积、地表等多因素影响,对于不同流域,水文干旱和气象干旱响应关系可能存在差异。为研究水库区域气象干旱与水文干旱是否存在时滞性,计算1个月尺度的SSI与1、2、3个月时间尺度的SPI的Pearson相关系数,相关系数分别为0.88、0.78、0.70,均通过α=0.01的显著性检验,相关系数随着SPI时间尺度的增加而减弱,说明水库水文干旱对气象干旱的响应无明显滞后,变化过程较为一致。
利用游程理论识别出气象干旱事件28次,水文干旱事件24次,气象干旱平均历时2.57月,平均烈度为1.61,水文干旱平均历时3.71月,平均烈度为1.96。水文干旱发生次数虽然少于气象干旱,但具有更长的平均历时和更大的平均烈度,说明水文干旱的影响时间更长,危害性更大。
3.3 DLI
3.3.1 DLI构建
水库的蓄水量主要来自于水库直接降水和入库径流的补充,气象干旱和水文干旱分别描述了由降水量不足和径流量不足造成的水分短缺现象,由于资料限制无法获取直接降水和入库径流对蓄水的实际贡献率,因此在构建评价水库整体干旱指数DI时,采用熵权法确定SPI和SSI的权重,DI计算公式如下:
式中:
表3 DI等级分类
Tab.3
| 干旱等级 | 干旱分类 | |
|---|---|---|
| 1 | 无旱 | -0.5<DI |
| 2 | 轻旱 | -1< DI≤-0.5 |
| 3 | 中旱 | -1.5< DI≤-1 |
| 4 | 重旱 | -2.0< DI≤-1.5 |
| 5 | 特旱 | DI≤-2.0 |
表4 DLI等级与增雨需求程度对应表
Tab.4
| DLI等级 | WLI等级 | DI等级 | 增雨需求程度 |
|---|---|---|---|
| 1 | 1~2 | 1~2 | 无需求 |
| 2 | 1 | 3~5 | 轻度需求 |
| 2 | 3 | ||
| 3 | 1~2 | ||
| 3 | 2 | 4~5 | 中度需求 |
| 3 | 3~4 | ||
| 4 | 3 | 5 | 高度需求 |
| 4 | 1~3 | ||
| 5 | 1 | ||
| 5 | 4 | 4~5 | 强烈需求 |
| 5 | 2~5 |
3.3.2 不同等级DLI时间特征与应用检验
图6为1990年1月至2019年12月逐月不同等级DI和DLI分布。可以看出,年内 DI等级大于等于2最多不超过6个月,其中出现6个月的年份分别为1996、2004和2013年;从不同等级DLI分布看,2004年是一个分界点,1990—2003年DLI等级大于等于2频率为26.2%,DLI等级大于等于2最长持续时间为8个月,出现过两次;而2004—2019年DLI等级大于等于2频率增加到47.9%,最长持续时间为17个月,持续8个月及以上共出现过5次,说明2004年之后增雨需求更为频繁,持续时间更长。DLI等级大于等于2频率高的年份与DI等级大于等于2频率高的年份并未很好对应,而与图2中WLI等级大于等于2频率高的年份吻合程度更高。从分布的连续性上看,持续出现DI等级大于等于2的时长通常为2~3个月,最长不超过5个月;而DLI等级则较易出现长时间持续的情况,DLI等级大于等于2最长持续时间为17个月。
图6
图6
1990年1月至2019年12月逐月不同等级DI(a)和DLI(b)分布
Fig.6
Monthly distribution of DI (a) and DLI (b) with different grades from January 1990 to December 2019
图7
图7
1990—2019年不同等级DI(a)和DLI(b)频率季节分布
Fig.7
Seasonal distribution of frequency of DI (a) and DLI (b) with different grades from 1990 to 2019
根据水库近5 a记录,在2016年和2018年出现用水紧张并采取了相关紧急措施。从图6(b)可以看出,2016、2017和2018年每年分别有8个月、9个月和12个月DLI等级大于等于2,存在轻度增雨需求。其中2016和2018年分别有5和11个月DLI等级大于等于4,为持续性的高度增雨需求;2017年2、5月和3、6月DLI等级分别为4和5,即分别存在高度和强烈增雨需求,但因4月DLI等级为2,导致DLI等级大于等于4最多仅持续2个月,说明2017年高等级的增雨需求未持续性存在。通过对比2016、2017和2018的不同等级DLI分布发现,构建的DLI等级可以表征水库实际需求,在DLI等级连续多个月大于等于4时,即水库持续多月存在高度、强烈增雨需求无法得到缓解时,水库可能会出现用水紧张并采取相关紧急措施。
4 结论与讨论
以浙江兰溪芝堰水库为研究对象,基于降水、径流和水位历史观测数据,采用实际概率分布阈值法确定逐月水库水位指标(WLI),通过熵权法联合表征气象干旱的标准化降水指数(SPI)和表征水文干旱的标准化径流指数(SSI)构建水库整体干旱指数(DI),综合WLI和DI构建水库人工增雨需求指数(DLI)等级,研究WLI、DI和DLI时间特征,结合水库历史记录分析构建的DLI等级的适用性,主要结论如下:
(1)WLI能够精细化地表征水库在一年内不同时期的缺水程度。不同等级WLI频率年际分布与年平均水位有较好的对应关系;WLI历年逐月逐级增大或减小的分布体现了水库缺水程度的变化过程,说明WLI的标定和分级是合理的。
(2)1990—2019年水文和气象逐年旱涝情况基本一致,一般情况下水文干旱弱于气象干旱,持续性偏旱期间水文干旱大多强于气象干旱。近30 a气象干旱无明显变化,水文干旱程度加大,其中春季变旱趋势最明显。
(3)气象和水文干旱总发生频率基本一致,气象(水文)干旱在夏秋两季发生总频率为33.9% (35.0%),高于冬春两季的30.0%(28.3%)。但重、特旱却是在春季发生频率最高,气象干旱和水文干旱发生频率分别为11.2%和10.0%。水文干旱与气象干旱的时滞性不明显,近30 a共发生28次气象干旱和24次水文干旱事件,水文干旱平均历时和平均烈度均高于气象干旱,具有更高的危害性。
(4)不同等级的DLI年际分布与WLI较为相近,季节分布与不同等级DI分布相似。不同等级DLI历年逐月分布表明,与2004年之前相比,2004年之后增雨需求更为频繁,持续时间更长。增雨需求在夏季占比最高,为40.0%,但高度、强烈增雨需求在春季占比最高,为14.4%。
(5)与近5 a水库记录对比,构建的DLI等级可以较好地表征水库实际需求,在DLI等级连续多个月大于等于4时,即水库持续多月存在高度、强烈增雨需求无法得到缓解时,可能会出现用水紧张并采取相关紧急措施。
近年来水库的调蓄、补水调度以及如何使水库发挥更大的兴利效益是水资源领域的热点问题(王义民等,2020;王本德等,2016),人工增雨作业作为水库调蓄补水调度的一种补充手段越来越受到重视,但增雨作业需要在有利的天气背景和作业条件下开展,实施条件和直接效果存在一定的局限性,本研究利用便于获取的水位、降水等数据,构建兼顾水位和干旱的增雨需求指数,为增雨业务提供参考。由于缺乏出库径流等资料,研究未能对人为干预因素和实际用水需求进行充分分析,特征水位的确定相对简易,建立在此基础上的增雨需求指数存在无法完全反映实际增雨需求的可能性。事实上,如果能够构建兼顾防洪风险和兴利效益的、长中短期嵌套滚动更新的特征水位,则实际水位与特征水位之间的水位差可以代表水库的补水需求,也可以作为增雨作业需求的参考。但要构建更为精细化、兼顾防洪和兴利特征水位,需要尽可能多输入因子,输入因子除了如入库径流、水面降水量、水面蒸发量外,还要涵盖如发电用水、生活供水、生态供水等用水需求(效益型)因子,以及调洪最高水位、最大下泄流量等风险型因子。不同阶段各个因子的演变特征和规律分析,融合自然与人为、监测与预报因子的动态特征水位模型构建,有待通过各部门间的数据共享开展更深入的研究。
参考文献
基于修订Copula函数的中国干旱特征研究
[J].利用中国613个站点1961~2010年逐月降水数据,基于游程理论从月标准化降水指数(SPI)序列中分离出干旱事件,并通过K-S检验方法对其干旱强度和干旱历时2个特征量的分布函数进行检验。在此基础上,利用Copula函数建立2个特征量的二维联合概率分布函数,对比分析干旱历时分布函数修订前后对不同类型干旱联合概率及重现期的影响。结果表明:干旱强度特征量符合Gamma分布,而干旱历时特征量并非完全符合指数分布,因此需对干旱历时分布函数进行必要的修订。在干旱历时分布函数修订情况下,大部分干旱类型的联合概率减小,少部分干旱类型的联合概率增大;且不同类型干旱的联合重现期增大。在干旱历时尺度相同时,随着干旱强度的增加,最大和最小联合重现期的差异无明显变化;但在干旱强度相同时,最大和最小联合重现期的差异随着干旱历时的增加而明显增大。
气象干旱指数在中国的适应性研究进展
[J].在全球变暖背景下, 中国极端干旱事件频繁发生,其强度和范围都不断增大,这不但给国民经济特别是农业生产等带来巨大损失, 还会造成水资源短缺、荒漠化加剧、沙尘暴频发等诸多深远的不利影响。为进一步提高干旱监测、预测、评估和决策服务等方面的技术水平, 以气象干旱为对象,对常用的气象干旱指标在中国的时空适应性进行了系统总结。首先,从指数的计算原理及考虑要素的角度回顾了国内常用干旱指数及其特点,这些指标主要分为两类:一类是只考虑单一因子的干旱指标,另一类是考虑多要素的干旱指标。其次,系统归纳了这些干旱指数在我国不同区域、不同季节的适应性,阐述了对现有干旱指数的进一步修正、改进及其应用效果,并对影响干旱指数适应性的主要因素进行探讨。最后,提出目前干旱研究领域存在争议的问题,探讨今后在气象干旱监测指标及其适应性研究中应重点解决的关键科学问题及发展趋势。
气候变暖背景下中国干旱变化的区域特征
[J].在全球气温日趋升高和极端降水增加的气候背景下,近年来中国干旱变化特征异常突出,新形势下需进一步深入认识干旱发生特征及影响机制。利用1960-2014年中国527个气象站逐日气温和降水量数据,选用改进的综合气象干旱指数(MCI)作为干旱监测指标,详细分析了中国各区域干旱强度、次数和持续时间变化特征及其差异性。结果表明:1960年以来,中国各区域干旱程度加重,范围增大,次数增多,持续时间增长。干旱特征发生了明显的区域变化,各个区域干旱变化差异显著。西南、华中、华北和华南区域干旱程度明显加重,主要是重度以上干旱次数较多。华北和西南干旱年数最多,为45年,其他地方为35~36年,华北重度以上干旱年份最多,为14年,其次是东北和华南的7年。干旱发生时间和区域也有随机性,中国各区域四季都有可能发生干旱,干旱不仅发生在北方干旱和半干旱区域,在南方湿润和半湿润区域同样发生。各区域以夏旱为主,东北以春旱和夏旱居多,华南以秋旱为主。干旱持续时间不等,有时高达9个月。有些区域年内干旱呈单峰型,有些区域为双峰型。气候变暖背景下,中国各个区域干旱呈加重趋势。
改善农业干旱的人工增雨作业需求指数
[C]//
Macro-scale water scarcity requires micro-scale approaches: aspects of vulnerability in semi-arid development
[J].
A nationwide analysis of water scarcity and cloud seeding demand levels from analyzing water utilization data, agricultural drought maps, and local conditions in China mainland
[J].
A method for temporary water scarcity analysis in humid region under droughts condition
[J].
The potential for calculating a meaningful water poverty index
[J].
Trends in total precipitation and frequency of daily precipitation extremes over China
[J].Based on a newly developed daily precipitation dataset of 740 stations in China and more robust trend detection techniques, trends in annual and seasonal total precipitation and in extreme daily precipitation, defined as those larger than its 95th percentile for the year, summer, and winter half years, have been assessed for the period 1951–2000. Possible links between changes in total precipitation and frequency of extremes have also been explored. The results indicate that there is little trend in total precipitation for China as a whole, but there are distinctive regional and seasonal patterns of trends. Annual total precipitation has significantly decreased over southern northeast China, north China, and over the Sichuan Basin but significantly increased in western China, the Yangtze River valley, and the southeastern coast. In western China, precipitation increase has been observed for both cold and warm seasons. However, trends differ from one season to another in eastern China. Spring precipitation has increased in southern northeast China and north China but decreased significantly in the midreach of the Yangzte River. The summer precipitation trend is very similar to that of annual totals. Autumn precipitation has generally decreased throughout eastern China. In winter, precipitation has significantly decreased over the northern part of eastern China but increased in the south. The number of rain days has significantly decreased throughout most parts of China with northwest China being an exception. Meanwhile, precipitation intensity has significantly increased. This suggests that the precipitation increase in western China is due to the increase in both precipitation frequency and intensity. In eastern China, the impact of reduced number of rain days seems to be more dominant in the north while the influence of enhanced intensity prevails in the south. Over regions with increasing precipitation trends, there have been much higher than normal frequency of precipitation extreme events. For example, significant increases in extreme precipitation have been found in western China, in the mid–lower reaches of the Yangtze River, and in parts of the southwest and south China coastal area. A significant decrease in extremes is observed in north China and the Sichuan Basin. Trends in the number of extremes and total precipitation from nonextreme events are generally in phase. An exception is southwest China where an increase of extreme events is associated with a decrease in total nonextreme precipitation.
/
| 〈 |
|
〉 |
