干旱半干旱区土壤水分对降水的脉动响应:以荒漠草原达茂旗为例
Fluctuating response of soil moisture to precipitation in arid and semi-arid areas: a case study of Damao County in desert steppe
通讯作者: 赵杏花(1981—),女,满族,呼和浩特市人,博士,教授,主要从事草地植物资源保护与利用方面的教学与科研。E-mail:zhaoxinghua2007@126.com。
责任编辑: 王涓力;校对:刘晓云
收稿日期: 2022-06-1 修回日期: 2022-11-22
| 基金资助: |
|
Received: 2022-06-1 Revised: 2022-11-22
作者简介 About authors
张存厚(1977—),男,汉族,呼和浩特市人,博士,正高级工程师,主要从事灾害监测评估与草地生态领域的研究。E-mail:zhangcunhou2004@163.com。
大气降水是内蒙古干旱半干旱区荒漠草原土壤水分的主要补给来源,也是不同时空尺度上各种生物过程的重要驱动因子。土壤水分对降水响应过程的研究,对于调控地表覆被、科学恢复植被及促进大气降水向土壤水的有效转化具有重要价值。基于荒漠草原站点2012—2020年日降水量与2016—2020年4月下旬至10月下旬逐时降水量及0~50 cm各层土壤水分观测数据,研究降水分布格局及土壤水分对独立降水事件的响应过程。结果表明,研究区小于5.0 mm的降水事件占主导,属于典型的干旱半干旱区降水脉动事件,0~10 cm、>10~20 cm、>20~30 cm、>30~40 cm和>40~50 cm各层土壤水分响应的降水量阈值分别为3.2、9.2、14.3、16.7和25.3 mm。小雨级别独立降水事件能引起0~10 cm土壤水分响应的概率为36.0%,中雨级别独立降水事件能引起0~10 cm、>10~20 cm、>20~30 cm各层土壤水分响应的概率分别为100%、39.5%和7.0%,大雨及以上级别的独立降水事件可以引起0~50 cm各层土壤水分响应,随着土壤深度增加,土壤水分响应强度与概率呈递减态势。降水量、有效降水强度分别与0~40 cm各层土壤水分滞后时间存在显著的负相关关系,降水量与各层土壤水分增量存在极显著正相关关系。降水量与0~20 cm各层土壤水分增量符合多项式函数关系,与>20~50 cm各层土壤水分增量符合线性函数关系。
关键词:
Atmospheric precipitation is the main source of soil moisture in the desert grassland in arid and semi-arid areas of Inner Mongolia and an important driving factor of various biological processes at different spatial and temporal scales. The study on the response process of soil moisture to precipitation has important theoretical value for regulating land cover, restoring vegetation scientifically and promoting the effective conversion of atmospheric precipitation to soil water. Based on daily precipitation during 2012-2020, hourly precipitation and soil moisture observation data of 0-50 cm layers from late April to late October during 2016-2020 at an automatical meteorological station in the desert grassland, the precipitation distribution pattern and the response process of soil moisture to independent precipitation events were analyzed. The results show that the precipitation events less than 5.0 mm were dominant, which belonged to typical precipitation pulsation event in arid and semi-arid areas. The precipitation thresholds of soil moisture response for 0-10 cm, >10-20 cm, >20-30 cm, >30-40 cm and >40-50 cm layer were 3.2, 9.2, 14.3, 16.7 and 25.3 mm, respectively. The probability of 0-10 cm soil moisture response caused by independent precipitation event of light rain was 36.0%, and the probability of moderate rain causing soil moisture response in 0-10 cm, >10-20 cm, >20-30 cm layer were 100%, 39.5% and 7.0%, respectively, while heavy rain and above could cause soil moisture response in all layers of 0-50 cm. With the increase of soil depth, the probability and degree of soil moisture response to precipitation in each layer showed a decreasing trend. Correlation analysis showed that there was a significant negative correlation between precipitation (or effective precipitation intensity) and soil moisture lag time in each layer of 0-40 cm, and there was an extremely significant positive correlation between precipitation and soil moisture increment in each layer. The relationship between precipitation and soil moisture increment of 0-20 cm layers was polynomial function, and that between precipitation and soil moisture increment of >20-50 cm layers was linear function.
Keywords:
本文引用格式
张存厚, 崔崴, 越昆, 赵杏花, 吴英杰, 森迪.
ZHANG Cunhou, CUI Wei, YUE Kun, ZHAO Xinghua, WU Yingjie, SEN Di.
引言
水分是干旱半干旱区草原生态系统中主要的限制因子,降水时空分布格局的变化会直接引起土壤水分循环状况的改变,会对草原生态系统结构和功能产生影响(陈敏玲等,2016)。土壤水分作为连接土壤-植物-大气的重要纽带,在物质与能量交换过程中发挥着不可替代的作用,是草原生态系统中至关重要的生态因子,决定着草原植被的演化、草地生产力的丰歉及生态系统的稳定。土壤水分对降水的响应是一个非常复杂的过程,不仅受降水事件大小主导,而且前期土壤水分亏缺程度、土壤质地、植被覆盖等其他因素也会影响土壤水分的入渗过程,使得相关研究结果存在区域差异性(常学尚和常国乔,2021)。诸如2.0 mm降水具有湿润表层土壤的作用(Heisler-White et al.,2009),引起土壤表层微生物的活动(Austin et al.,2004);3.0 mm以上降水可能提高某些高大植物的碳同化速率(Bachman et al.,2010),且3.0 mm在内蒙古半干旱草原为有效降水临界值(陈敏玲等,2016),而Coupland(1950)认为在干旱半干旱区降水总量为8.0~10.0 mm的降水事件才算有效降水。大于25.0 mm的降水可能引起多数沙漠植物萌芽(Beatley, 1974),小于5.0 mm的降水对锡林郭勒典型草原的土壤水分不起作用(徐冉等,2019),对毛乌素沙地深层土壤水分影响不显著,大于10.0 mm降水对近地表水分循环起到作用(原鹏飞等,2008),小于30.0 mm的降水不能引起黄土丘陵沟壑区40 cm以下土壤水分的响应(姚雪玲等,2021)。因此,对土壤水分动态响应降水临界值的确定对其他诸多生态、水文过程的研究至关重要。
1 资料与方法
1.1 研究区概况
研究区位于内蒙古自治区包头市中部达茂旗气象局野外观测场(110°26'E,41°42'N),海拔高度1 376.6 m,属于低山丘陵草原区,气候类型为中温带大陆性季风气候,属于典型的干旱半干旱区。根据达茂旗气象局资料统计分析显示,1991—2020年,达茂旗年平均气温为5.1 ℃,平均年降水量为263.4 mm,年均风速为3.0 m·s-1,年平均相对湿度为47.0%,平均年日照时数2 896.5 h,无霜期为127.0 d,稳定通过10 ℃积温为2 652.1 ℃且天数为143.0 d。土壤为典型栗钙土,有效土层厚度约为40 cm,其下有钙积层分布。研究区草本植物以克氏针茅(Stipa krylovii)、冷蒿(Artemisia frigida)、短花针茅(Stipa breviflora)、无芒隐子草(Cleistogenes songorica)、阿尔泰狗娃花(Heteropappus altaicus)、冰草(Agropyron cristatum)、羊草(Leymus chinensis)、百里香(Thymus mongolicus)等为主,草原群落结构简单、草层低矮稀疏。草层高度通常为20~60 cm,盖度为35%~60%。大部分牧草4月中下旬开始返青,9月中下旬牧草停止生长,生长期约为150 d。
1.2 数据来源与观测方法
2012—2020年日降水量数据及2016—2020年4月下旬至10月下旬逐时降水量数据与同期0~50 cm各层土壤水分观测数据均来源于达茂旗气象局。观测场地势平坦,设围栏封育,2014年安装DZN3型自动土壤水分观测仪,自动监测不同土层逐小时土壤含水量,该仪器由中国华云气象科技集团公司研制,采用土壤水分频域反射(Frequency Domain Reflection,FDR)测量土壤体积含水量。文中用土壤相对湿度来分析土壤水分对降水的响应,土壤体积含水量与土壤相对湿度的换算公式为:
从地面向下共分为5层,依次为0~10 cm、>10~20 cm、>20~30 cm、>30~40 cm和>40~50 cm层,每层均安装插管式传感器。数据自动采集频率为1 h一次,由于仪器测定的是土壤中液态水含量,故其使用范围为土壤完全解冻之后(4月下旬)至冻结之前(10月下旬)。
1.3 降水日与降水事件的提取
2 结果与分析
2.1 降水分布格局
2012—2020年,研究区共观测到降水事件395次、降水日数639 d、总降水量为2 685.4 mm,单日最大降水量(80.5 mm)出现在2013年7月22日,无降水日达2 649 d,占总天数的80.6%。为了进一步分析不同量级降水事件的分布特点,将日降水量按照>0.1~2.0、>2.0~5.0、>5.0~10.0、>10.0~20.0 mm和20.0 mm以上5个量级进行划分,各量级降水事件分别为249、65、42、29和10次,各占总降水事件的63.0%、16.5%、10.6%、7.3%和2.5%;各量级降水日数分别为348、125、94、48和24 d,各占总降水日数的54.5%、19.6%、14.7%、7.5%和3.8%;各量级降水总量分别为217.4、376.9、665.1、655.4和770.6 mm,各占总降水量的8.1%、14.0%、24.8%、24.4%和28.7%。20.0 mm以上降水量级的降水总量最大,降水日数和降水事件发生次数最少;>0.1~2.0 mm的降水总量最小,降水日数和降水事件发生次数最多(图1)。研究区大量级降水过程少且相对集中,体现了中国北方荒漠草原区降水的时间分布特征。
图1
图1
2012—2020年研究区各量级降水分布
Fig.1
Distribution of precipitation with different levels in study area during 2012-2020
分析表明,荒漠草原主要以无降水天气为主,而降水天气过程又主要以小降水事件为主,其中5.0 mm以下的降水事件占总降水事件的79.5%,而大降水事件发生次数较少,10.0 mm以上降水事件仅占总降水事件的9.9%,但对总降水量的贡献较大(10.0 mm以上降水事件降水量占总降水量的53.1%),故研究区降水属于典型的干旱半干旱区降水脉动事件。
2.2 土壤水分响应的降水阈值
对2016—2020年4月下旬至10月下旬研究区逐小时土壤水分对降水脉动响应过程进行统计(图2),筛选出81次典型独立降水事件,通过对降水事件样本进行数理统计分析,确定降水阈值。分析表明,荒漠草原小于3.2 mm的独立降水事件,几乎不会引起土壤水分的变化,与降水发生时段、土壤水分初始值、地表覆盖度无关;9.2 mm的独立降水事件可以使0~10 cm和>10~20 cm层土壤相对湿度分别增加42%和5%;14.3 mm的独立降水事件可以使0~10 cm、>10~20 cm和>20~30 cm层土壤相对湿度分别增加58%、38%和3%;16.7 mm的独立降水事件可以使0~10 cm、>10~20 cm、>20~30 cm和>30~40 cm层土壤相对湿度分别增加63%、48%、26%和2%;25.3 mm的独立降水事件可以使0~10 cm、>10~20 cm、>20~30 cm、>30~40 cm和>40~50 cm层土壤相对湿度分别增加72%、59%、38%、23%和8%。
图2
图2
2016—2020年4月下旬至10月下旬研究区0~50 cm各层土壤相对湿度对小时降水量的响应
Fig.2
Response of soil relative humidity in each layer of 0-50 cm to hourly precipitation in the study area from late April to late October during 2016-2020
2.3 土壤水分响应的概率
不同深度土壤水分对降水响应不仅与降水量级和强度有关,还会受到土壤水分初始值、土壤质地、气温、地表覆盖度等因素的影响,因此,独立降水事件引起土壤水分响应存在一定概率,土壤水分对各级别独立降水事件的响应概率是引起土壤水分响应的独立降水事件样本数占总样本数的百分比。综合分析表明,小雨级别的独立降水事件引起0~10 cm土壤水分响应的概率为36.0%,中雨级别的独立降水事件可以引起0~10 cm、>10~20 cm、>20~30 cm各层土壤水分响应的概率分别为100%、39.5%和7.0%,大雨级别的独立降水事件可以引起0~10 cm、>10~20 cm、>20~30 cm、>30~40 cm和>40~50 cm各层土壤水分响应的概率分别为100%、100%、76.5%、52.9%和47.1%,而暴雨与大暴雨级别的独立降水事件可以引起0~50 cm各层土壤水分响应的概率均为100%(表1)。
表1 不同级别独立降水事件引起0~50 cm各层土壤水分响应的概率 单位:%
Tab.1
| 降水级别 | 土壤深度/cm | 样本量 /个数 | ||||
|---|---|---|---|---|---|---|
| 0~10 | >10~20 | >20~30 | >30~40 | >40~50 | ||
| 小雨 | 36.0 | 15 | ||||
| 中雨 | 100.0 | 39.5 | 7.0 | 43 | ||
| 大雨 | 100.0 | 100.0 | 76.5 | 52.9 | 47.1 | 17 |
| 暴雨 | 100.0 | 100.0 | 100.0 | 100.0 | 100.0 | 5 |
| 大暴雨 | 100.0 | 100.0 | 100.0 | 100.0 | 100.0 | 1 |
随着降水事件量级增加,各层土壤水分响应强度与概率均呈增加态势;随着土壤深度增加,响应强度与概率递减。即使是相同级别的独立降水事件,能引起各层土壤水分响应的强度与概率也存在一定差异,这与降水量、降水强度、发生时段及监测点的气温、地温、各层土壤水分初始含量、土壤质地、地表裸露程度等诸多因素有关。
2.4 降水量及有效降水强度与土壤水分达到最大值滞后时间的关系
降水强度能够反映一次降水过程的快慢缓急程度,是描述降水过程的重要指标;在一个独立降水事件中,有效降水强度是指降水过程累积量与有效降水总时次的比值。Pearson相关分析表明,降水量与>10~20 cm、>20~30 cm、>30~40 cm各层土壤水分达最大值的滞后时间呈极显著负相关,相关系数分别为-0.366、-0.503、-0.596;与>40~50 cm土壤水分达最大值的滞后时间呈显著负相关,相关系数为-0.561;与0~10 cm层滞后时间相关不显著。有效降水强度与0~40 cm各层土壤水分达最大值的滞后时间呈极显著负相关,Pearson相关系数分别为-0.441、-0.597、-0.427、-0.527;与>40~50 cm层滞后时间相关不显著(表2)。基于此,对有效降水强度与0~40 cm各层土壤水分达到最大值的滞后时间进行拟合,发现二者更符合幂函数关系(图3),进一步说明有效降水强度大小对土壤水分下渗时间与效率会有显著影响,有效降水强度越大,入渗时间越短,入渗效率越高。
表2 不同深度土壤水分达到最大值的滞后时间与降水及其他因子的相关分析
Tab.2
| 相关因子 | 不同深度土壤水分达到最大值滞后时间 | ||||
|---|---|---|---|---|---|
| 0~10 cm | >10~20 cm | >20~30 cm | >30~40 cm | >40~50 cm | |
| 降水量 | -0.131 | -0.366** | -0.503** | -0.596** | -0.561* |
| 有效降水强度 | -0.441** | -0.597** | -0.427** | -0.527** | -0.351 |
| 0~10 cm层土壤水分初始值 | -0.237* | -0.418** | -0.451** | -0.434* | -0.391 |
| >10~20 cm层土壤水分初始值 | -0.307* | -0.461** | -0.458* | -0.469* | |
| >20~30 cm层土壤水分初始值 | -0.429* | -0.428* | -0.448** | ||
| >30~40 cm层土壤水分初始值 | -0.428** | -0.446 | |||
| >40~50 cm层土壤水分初始值 | -0.505* | ||||
注: *表示通过α=0.05的显著性检验;**表示通过α=0.01的显著性检验。
图3
图3
有效降水强度与不同深度土壤水分达到最大值滞后时间的关系
Fig.3
The relationship between the effective precipitation intensity and the retardation time of soil moisture reaching maximum value at different depths
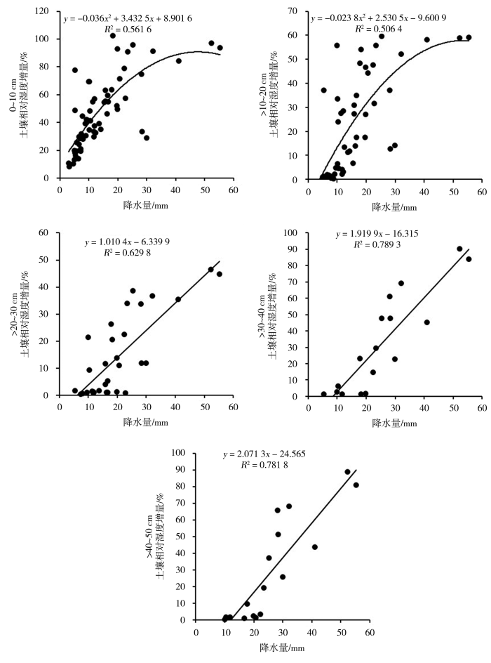
2.5 降水量与土壤水分增量关系
相关分析(表3)表明,独立降水事件降水量与0~50 cm各层土壤水分增量均呈极显著正相关,相关系数从大到小依次为>30~40 cm、>40~50 cm、>20~30 cm、0~10 cm和>10~20 cm层,Pearson相关系数分别为0.888、0.884、0.794、0.704和0.681。统计分析表明,独立降水事件降水量与0~20 cm各层土壤水分增量符合多项式函数关系,与>20~50 cm各层土壤水分增量符合线性函数关系(图4)。降水虽然是荒漠草原土壤水分增加的直接原因,但气温高、日照强、蒸发大以及地表植被覆盖度低等气象环境因素也会对土壤水分产生强烈影响,而且对0~20 cm表层土壤水分损失产生的影响要远大于>20~50 cm各层。进一步解释了>20~50 cm各层降水量与土壤水分增量的相关系数大于0~20 cm表层,外界气象环境因素对>20~50 cm各层土壤水分的影响随着土层深度增加逐渐减弱。
表3 研究区独立降水事件降水量与不同深度土壤相对湿度增量的关系
Tab.3
| 土壤层 | 构建模型 | 多项式 决定系数(R2) | Pearson 相关系数(r) | 样本量 |
|---|---|---|---|---|
| 0~10 cm | y =-0.036x2 + 3.432 5x + 8.901 6 | 0.561 6 | 0.704** | 61 |
| >10~20 cm | y = -0.0238x2 + 2.530 5x-9.600 9 | 0.506 4 | 0.681** | 50 |
| >20~30 cm | y = 1.010 4x-6.339 9 | 0.628 9 | 0.794** | 32 |
| >30~40 cm | y = 1.919 9x-16.315 | 0.789 3 | 0.888** | 17 |
| >40~50 cm | y = 2.071 3x-24.565 | 0.781 8 | 0.884** | 18 |
注: **表示通过α=0.01的显著性检验。
图4
图4
研究区独立降水事件降水量与0~50 cm各层土壤相对湿度增量的关系
Fig.4
The relationship between precipitation of independent rainfall event and soil relative humidity increment in each layer of 0-50 cm in the study area
3 讨论
内蒙古荒漠草原区以无降水天气为主,降水又以小降水事件为主,大降水事件发生频次低但对总降水量贡献较大,与全球范围内干旱半干旱区有着类似的降水分布格局(何志斌,和赵文智,2002;Jankju-Borzelabad and Griffiths,2006)。通过对研究区独立降水事件分析表明,荒漠草原表层土壤水分受外界环境影响较大,不仅受降水量与降水强度影响,还与土壤水分初始值、地表植被覆盖度及气温等要素有关。随着土层深度增加,降水入渗时间延长,土壤水分响应程度减弱。该区域大雨以上级别的降水相对较少,且深层土壤(>40~50 cm)水分相对稳定,大雨以下级别降水过程对>40~50 cm深度土壤水分影响有限;加之内蒙古荒漠草原主要降水期出现在7—8月,通常伴随极端高温与干旱事件,蒸发产生强大“虹吸效应”,降水难以入渗到深层土壤;此外,即使有较大的降水过程,由于荒漠草原地表覆盖度较低,更易形成地表径流而非全部入渗。由于地表的蒸发、植被冠层截留和凋落物层的影响,小于3.2 mm的降水很难进入土壤层,但小降水事件可以通过增加土壤表面与周围大气的湿度缓解植物干旱胁迫,刺激一年生草本植物种子萌发(Sala and Lauenroth, 1982),提高其在干旱环境中的存活率,为其在大降水事件中快速生长创造条件(Huxman et al., 2004)。本研究中提出的3.2 mm降水临界值,与内蒙古半干旱草原大于3.0 mm的降水为有效降水(苗海霞,2008;陈敏玲等,2016)结论一致,降水量和各层土壤水分增量均呈现出极显著正相关关系,降水量和土壤水分初始值是影响土壤水分响应的关键因素,这与陈敏玲等(2016)在内蒙古半干旱草原、石明明等(2021)在高寒草地的研究结论一致。
4 结论
(1)荒漠草原降水主要以小于5.0 mm降水事件为主,占总降水事件的79.5%,10.0 mm以上的大降水事件发生频次较低,但对总降水量的贡献较大,故研究区降水属于典型干旱半干旱区降水脉动事件。
(2)荒漠草原独立降水事件中,可以引起0~50 cm各层土壤水分响应的降水阈值分别为3.2、9.2、14.3、16.7和25.3 mm。独立降水事件引起土壤水分响应存在一定概率,随着降水量增加,各层土壤水分响应强度与概率均呈增加态势;随着土层深度增加,响应强度与概率递减。
(3)降水量与>10~40 cm各层土壤水分达最大值的滞后时间呈极显著负相关,有效降水强度对0~40 cm各层土壤水分下渗时间与效率有显著影响,二者符合幂函数关系;各层土壤水分初始值也是影响土壤水分入渗的重要因子。降水量与各层土壤水分增量均呈极显著正相关,其中降水量与0~20 cm各层土壤水分增量符合多项式函数关系,与>20~50 cm各层土壤水分增量符合线性函数关系。
参考文献
干旱半干旱区土壤水分研究进展
[J].土壤水分调控着陆表-大气相互作用过程,是土壤-植物-大气连续体水分和能量交换的重要影响因子,也是影响生态系统水文、生物和生物化学过程的关键因素,是陆地生态系统中不可或缺的组成部分。本文简要回顾和评述了土壤水分点、面尺度的监测、分析方法,系统阐述了干旱半干旱区土壤水分的国内外研究进展,并结合目前的研究进展,提出了未来干旱半干旱区土壤水分研究展望,以期促进深入理解和准确预测干旱半干旱区土壤水分变化的生态与水文效应,为制定科学合理的干旱半干旱区水资源经营管理方案奠定理论基础。
内蒙古半干旱草原土壤水分对降水格局变化的响应
[J].在全球气候变化背景下, 未来我国北方半干旱地区的降水格局将呈现出季节与年际间降水波动增强和极端降水事件增加的趋势。水分是半干旱草原的主要限制因子, 降水格局变化导致的土壤水分状况的改变必然对生态系统的结构和功能产生显著的影响。该研究选取内蒙古多伦和锡林浩特两个典型半干旱草原群落, 通过分析2006-2013年的降水和多层次土壤(0-10 cm, 10 cm, 20 cm, 30 cm和50 cm)含水量连续观测数据, 研究降水格局变化对土壤水分状况及其垂直分布的影响, 特别是土壤水分对降水事件的脉冲响应过程。结果表明: 两个站点的土壤含水量均呈现显著的季节及年际间波动, 其中土壤表层 0-10 cm水分波动更剧烈。锡林浩特50 cm处土壤含水量波动较大, 主要由于春季融雪的影响。年际间多伦和锡林浩特生长季土壤表层0-10 cm土壤含水量与降水量存在显著的正相关关系, 下层(10-50 cm)土壤含水量与降水量相关性不显著。研究发现小至2 mm的降水事件就能够引起两个站点表层0-10 cm土壤含水量的升高, 即该地区有效降水为日降水量> 2 mm。表层0-10 cm土壤含水量对独立降水事件的脉冲响应可通过指数方程很好地拟合。降水事件的大小决定了降水后表层0-10 cm土壤含水量的最大增量和持续时间, 同时这个脉冲响应过程还受到降水前土壤含水量的影响, 但该过程中并未发现植被因子(叶面积指数)的显著影响。降水后水分下渗深度及该深度的土壤含水量增量主要由降水事件的大小主导, 同时受到降水前土壤含水量的影响。在多伦和锡林浩特, 平均每增加1 mm降水, 下渗深度分别增加1.06和0.79 cm。由此作者认为, 在内蒙古半干旱草原, 降水事件大小和降水前土壤干湿状况是影响土壤水分对降水响应的主要因素, 而植被因子的影响较小。
半干旱地区流动沙地土壤湿度变异及其对降水的依赖
[J].应用半干旱区科尔沁沙地1983- 1990年5~ 10月份土壤湿度定点观测资料,对流动沙地土壤湿度的时空变异及其与降水关系进行了研究。结果表明:半干旱区科尔沁沙地,在0~ 300cm的垂直剖面上,以20cm作为一个层次,流动沙地土壤湿度多年平均值变化于3.25%~ 3.47%,层次间无显著差异。在时间序列土壤湿度存在年内和年际变异,5月份的土壤湿度与6~ 10月份存在显著差异,但6~ 10月份之间土壤湿度差异不显著。年际间降水量变化于243.3~ 567.1mm (变异系数9505%)之间,流动沙地土壤湿度变化于3.10%~ 3.69% (变异系数18.68%)之间。0~ 40cm土壤湿度与前月降水量不显著相关,但40~ 300cm土壤湿度与前月降水量显著相关,当月降水量与各层土壤湿度均显著相关。
黑河流域荒漠区土壤水分对降水脉动响应
[J].利用气象站资料,对黑河流域荒漠区降水特征及其土壤水分对降水脉动响应进行了系统研究。结果表明,荒漠区降水属于降水脉动事件,降水前后土壤水分特征存在显著差异,且随土层增加差异逐渐变小。土壤水分在降水量、土壤深度和降水前后的差异极显著,交互效应也极显著(P<0.0001),表明荒漠区土壤水分对降水脉动具有显著的响应现象。土壤水分的降水脉动响应表现为降水后土壤含水量激增,在蒸散作用下缓慢减小。降水前后土壤含水量的时间序列变异规律均能较好地拟合成变异函数的理论模型。降水前后土壤含水量随机变异均小于结构性变异,反映出荒漠区土壤水分在时间尺度上具有较强的自相关性格局。降水使土壤水分空间结构差异呈现下降趋势,在时间序列上异质性降低。
高寒草地干湿生态系统土壤水分及入渗对降水的响应
[J].为厘清高寒草地土壤水分动态对降水的响应,利用2015-2017年的降水和不同土层(5、10、20、30和40 cm)土壤水分连续观测数据,分析了高寒草原和沼泽草甸生长季土壤水分变化及入渗对降水事件的响应。结果表明:相比于草原,生长季沼泽草甸降水频次较高,小降水事件占比较大。草原和沼泽草甸土壤水分对降水事件的响应存在较大差异,小降水事件(≤5 mm)仅增加了草原5 cm土层土壤含水量,而对沼泽草甸0~40 cm土壤剖面各层土壤含水量均起到微弱的补充;草原5~10 mm的降水事件明显增加了10 cm土层土壤含水量,而>10 mm的降水事件才可明显补充10 cm以下土层土壤含水量;在沼泽草甸>5 mm的降水事件对40 cm土层土壤含水量的增加较上层(0~30 cm)明显。土壤水分增量不仅受降水事件大小和强度的显著影响(P<0.001),同时受降水前表层(0~10 cm)土壤含水量和降水期间气温的显著影响(P<0.05)。相比草原,沼泽草甸土壤中湿润锋运移较快;小降水事件发生时,沼泽草甸0~40 cm土壤剖面蓄水量增加较多;大降水事件发生时,沼泽草甸0~40 cm土壤剖面蓄水量增加较少。结果表明,草原大降水事件(>10 mm)占比较大的特征对于土壤剖面蓄水具有重要作用,沼泽草甸高频次降水和雨水渗透更快更深的特征,有利于土壤更频繁获取和有效地保持水分资源。该研究结果可为理解高寒草地区域尺度上复合生态系统土壤水分维持对降水格局的响应提供理论基础。
Water pulses and biogeochemical cycles in arid and semiarid ecosystems
[J].The episodic nature of water availability in arid and semiarid ecosystems has significant consequences on belowground carbon and nutrient cycling. Pulsed water events directly control belowground processes through soil wet-dry cycles. Rapid soil microbial response to incident moisture availability often results in almost instantaneous C and N mineralization, followed by shifts in C/N of microbially available substrate, and an offset in the balance between nutrient immobilization and mineralization. Nitrogen inputs from biological soil crusts are also highly sensitive to pulsed rain events, and nitrogen losses, particularly gaseous losses due to denitrification and nitrate leaching, are tightly linked to pulses of water availability. The magnitude of the effect of water pulses on carbon and nutrient pools, however, depends on the distribution of resource availability and soil organisms, both of which are strongly affected by the spatial and temporal heterogeneity of vegetation cover, topographic position and soil texture. The 'inverse texture hypothesis' for net primary production in water-limited ecosystems suggests that coarse-textured soils have higher NPP than fine-textured soils in very arid zones due to reduced evaporative losses, while NPP is greater in fine-textured soils in higher rainfall ecosystems due to increased water-holding capacity. With respect to belowground processes, fine-textured soils tend to have higher water-holding capacity and labile C and N pools than coarse-textured soils, and often show a much greater flush of N mineralization. The result of the interaction of texture and pulsed rainfall events suggests a corollary hypothesis for nutrient turnover in arid and semiarid ecosystems with a linear increase of N mineralization in coarse-textured soils, but a saturating response for fine-textured soils due to the importance of soil C and N pools. Seasonal distribution of water pulses can lead to the accumulation of mineral N in the dry season, decoupling resource supply and microbial and plant demand, and resulting in increased losses via other pathways and reduction in overall soil nutrient pools. The asynchrony of resource availability, particularly nitrogen versus water due to pulsed water events, may be central to understanding the consequences for ecosystem nutrient retention and long-term effects on carbon and nutrient pools. Finally, global change effects due to changes in the nature and size of pulsed water events and increased asynchrony of water availability and growing season will likely have impacts on biogeochemical cycling in water-limited ecosystems.
Elevated carbon dioxide alters impacts of precipitation pulses on ecosystem photosynthesis and respiration in a semi-arid grassland
[J].Predicting net C balance under future global change scenarios requires a comprehensive understanding of how ecosystem photosynthesis (gross primary production; GPP) and respiration (Re) respond to elevated atmospheric [CO(2)] and altered water availability. We measured net ecosystem exchange of CO(2) (NEE), GPP and Re under ambient and elevated [CO(2)] in a northern mixed-grass prairie (Wyoming, USA) during dry intervals and in response to simulated precipitation pulse events. Elevated [CO(2)] resulted in higher rates of both GPP and Re across the 2006 growing season, and the balance of these two fluxes (NEE) accounted for cumulative growing season C uptake (-14.4 +/- 8.3 g C m(-2)). Despite lower GPP and Re, experimental plots under ambient [CO(2)] had greater cumulative uptake (-36.2 +/- 8.2 g C m(-2)) than plots under elevated [CO(2)]. Non-irrigated control plots received 50% of average precipitation during the drought of 2006, and had near-zero NEE (1.9 +/- 6.4 g C m(-2)) for the growing season. Elevated [CO(2)] extended the magnitude and duration of pulse-related increases in GPP, resulting in a significant [CO(2)] treatment by pulse day interaction, demonstrating the potential for elevated [CO(2)] to increase the capacity of this ecosystem to respond to late-season precipitation. However, stimulation of Re throughout the growing season under elevated [CO(2)] reduced net C uptake compared to plots under ambient [CO(2)]. These results indicate that although elevated [CO(2)] stimulates gross rates of ecosystem C fluxes, it does not necessarily enhance net C uptake, and that C cycle responses in semi-arid grasslands are likely to be more sensitive to changes in precipitation than atmospheric [CO(2)].
Phenological events and their environmental triggers in Mojave desert ecosystems
[J].
Ecology of mixed prairie in Canada
[J].
Contingent productivity responses to more extreme rainfall regimes across a grassland biome
[J].
Precipitation pulses and carbon fluxes in semiarid and arid ecosystems
[J].In the arid and semiarid regions of North America, discrete precipitation pulses are important triggers for biological activity. The timing and magnitude of these pulses may differentially affect the activity of plants and microbes, combining to influence the C balance of desert ecosystems. Here, we evaluate how a "pulse" of water influences physiological activity in plants, soils and ecosystems, and how characteristics, such as precipitation pulse size and frequency are important controllers of biological and physical processes in arid land ecosystems. We show that pulse size regulates C balance by determining the temporal duration of activity for different components of the biota. Microbial respiration responds to very small events, but the relationship between pulse size and duration of activity likely saturates at moderate event sizes. Photosynthetic activity of vascular plants generally increases following relatively larger pulses or a series of small pulses. In this case, the duration of physiological activity is an increasing function of pulse size up to events that are infrequent in these hydroclimatological regions. This differential responsiveness of photosynthesis and respiration results in arid ecosystems acting as immediate C sources to the atmosphere following rainfall, with subsequent periods of C accumulation should pulse size be sufficient to initiate vascular plant activity. Using the average pulse size distributions in the North American deserts, a simple modeling exercise shows that net ecosystem exchange of CO2 is sensitive to changes in the event size distribution representative of wet and dry years. An important regulator of the pulse response is initial soil and canopy conditions and the physical structuring of bare soil and beneath canopy patches on the landscape. Initial condition influences responses to pulses of varying magnitude, while bare soil/beneath canopy patches interact to introduce nonlinearity in the relationship between pulse size and soil water response. Building on this conceptual framework and developing a greater understanding of the complexities of these eco-hydrologic systems may enhance our ability to describe the ecology of desert ecosystems and their sensitivity to global change.
Competition for pulsed resources: an experimental study of establishment and coexistence for an arid-land grass
[J].
/
| 〈 |
|
〉 |
