土地利用资料的更新对四川盆地高温天气数值模拟的影响
Influences of updated land-use datasets on WRF simulations for high-temperature weather in Sichuan Basin
通讯作者: 吴炜(1973—),男,正研级高级工程师,主要从事数值预报、环境气象和海洋气象研究. E-mail:wuwei_sd@163.com。
责任编辑: 刘晓云;校对:王涓力
收稿日期: 2021-09-2 修回日期: 2022-02-23
| 基金资助: |
|
Received: 2021-09-2 Revised: 2022-02-23
作者简介 About authors
温晓培(1992—),女,工程师,主要从事中尺度数值模拟研究.E-mail:wenxp10@163.com。
土地利用情况影响区域天气和气候,采用与实况更为接近的下垫面资料能够为数值预报提供有力支撑。使用中尺度数值模式WRF对2019年8月四川盆地高温过程进行数值模拟试验,对比基于2019年更新的MODIS土地利用数据与WRF自带土地利用资料的差异,分析下垫面资料的更新对数值模拟效果的影响。结果表明:两组土地利用资料存在明显差异,更新后的MODIS资料刻画更为精细,模拟区域的土地利用类型更加丰富。2 m气温对土地利用资料十分敏感,更新土地利用资料后两次个例平均的2 m气温2 ℃以内的模拟准确率提高6.2%,日最高气温模拟准确率提高31.3%;而日最低气温模拟准确率下降2.1%。土地利用资料变化明显的四川盆地内部较更新前增温明显,局部增温超过4 ℃,最高气温模拟偏低的状况明显改善。选取四川盆地内部地表类型由农田转为城市和建筑的合川站作为典型站点进行分析,发现土地利用类型更新后发射率减小,植被气孔阻抗增大,粗糙度增大,陆面参数的变化导致地表对边界层大气向上的感热输送增加,地表蒸发及大气水分供应减少,气温升高,边界层高度升高。模拟初期土地利用资料的更新造成模拟差异的局地性较强,随着模拟时间增加,逐渐影响中高层及周边大气。土地利用资料的改变通过影响陆面参数的选择,导致模拟结果的差异。更新土地利用资料后可有效改善2 m气温及最高气温的模拟效果。
关键词:
Land use affects regional weather and climate. The use of land-use data that is updated and closer to the observation can provide strong support for numerical prediction. The high-temperature processes in August 2019 in Sichuan Basin are simulated by using the mesoscale numerical model WRF. Updated land-use datasets extracted from MODIS data are compared with original WRF datasets, and the influences of updated land-use data on WRF simulation are analyzed. The results show that there are significant differences between two sets of land use data, the updated data is more detailed, and the land use types of the simulated area are more abundant. The 2 m temperature is very sensitive to land use data, with update of land-use data, the accuracy ratio (absolute errors less than 2 ℃) of simulated 2 m temperature increased by 6.2%, and that of daily maximum temperature increased by 31.3%; the accuracy of simulated daily minimum temperature decreased by 2.1 %. Simulated temperature increases significantly in the Sichuan Basin where the land-use changed obviously, the increase in some areas is more than 4 ℃, and the negative bias in simulated daily maximum temperature by using original land-use datasets significantly reduces. The Hechuan station is selected as a typical station in the Sichuan Basin for analysis, where land-use type is changed from croplands to urban and built-up. It is found that after the change of land use type, the emissivity decreases, the roughness increases, and the stomata resistance of vegetation increases, and as a result, the upward sensible heat flux increases, surface evaporation and atmospheric water supply reduces, 2 m temperature increases, and planet boundary layer height increases. Updated land-use data results in strong locality of the simulation difference in the initial stage, as the lead time increases it gradually affects the upper atmosphere and surrounding areas. Land-use data lead to differences of simulations by affecting the selection of land-surface parameters. The accuracy of simulated 2 m temperature and maximum temperature are improved with update of land-use data.
Keywords:
本文引用格式
温晓培, 吴炜, 李昌义, 李季, 肖明静, 刘诗军, 朱文刚.
WEN Xiaopei, WU Wei, LI Changyi, LI Ji, XiAO Mingjing, LIU Shijun, ZHU Wengang.
引言
随着社会经济发展、生产力水平不断提高,人类影响下垫面的能力逐渐增强[11⇓-13],土地利用类型发生了很大变化[14-15]。WRF模式作为全球广泛应用的中尺度数值模式之一,大量用于天气和气候的模拟研究,但模式中土地利用资料更新缓慢,且在局部区域与实际的土地利用类型差异较大[16-17],造成模拟偏差。随着遥感技术的发展,图像处理和分类水平的提高,可供选择的土地利用数据集逐渐增多,许多专家开展了土地利用数据的优选工作。冉有华等[18]通过对比4种全球土地覆盖数据在中国区域的面积及空间一致性,发现中分辨率成像光谱仪(Moderate Resolution Imaging Spectroradiometer, MODIS)和欧盟联合研究中心空间应用研究所的2000年全球土地覆盖数据产品(GLC2000)有更高的整体分类精度。LIANG等[19]评估和验证MODIS土地覆盖产品(MCD12Q1)在省级(中国安徽省)尺度的一致性,从相关系数来看国际地圈生物圈计划(International Geosphere Biosphere Programme, IGBP)分类的一致性最好。近地面温度[20]、风速[21]、降水[22-23]及地表能量平衡[24]等气象要素对土地利用类型的分布及变化十分敏感,不同区域、不同气象条件下最佳的土地利用类型数据均有差异,选择时效更新、分辨率更高的土地利用数据能够改善模拟结果。曹峥等[16]将多种多源土地利用数据与实际对应年份统计年鉴进行对比分析发现,MODIS2012数据能够较好地反映枣庄土地利用类型的空间分布特征。何建军等[1]研究发现,采用高精度且时效性好的陆面资料后,WRF模拟的兰州冬季近地面气温准确率提高15.8%。
1 数据及试验设计
选取四川盆地2019年两次夏季高温过程(8月15—17日及8月21—23日高温过程,分别简称“8月15日个例”及“8月21日个例”),使用中尺度数值模式WRFV4.0进行数值模拟,模拟时间分别为15日20:00(北京时,下同)至17日20:00,21日20:00至23日20:00。
模式初始场及边界条件采用美国国家环境预报中心(National Centers for Environmental Prediction, NCEP)的逐小时全球预报系统(Global Forecast System, GFS),分辨率为0.25°×0.25°。模拟采用三重嵌套,模式中心点为106°E、30°N,水平分辨率分别为27、9和3 km,格点数为220×180、250×202和307×280[图1(a)],时间步长分别为90、30和10 s,采用Lambert投影,垂直方向分为51层。云微物理方案采用Thompson方案,大尺度对流过程采用Grell-Freitas积云参数化方案(第三层不使用);长波、短波辐射过程均选取RRTMG方案,更新频率20 min,边界层过程选取MYNN2方案,陆面过程采用RUC方案。
图1
图1
模式模拟区域范围(a)和d03区域地形高度(b,单位:m)
Fig.1
Model simulation regions (a) and topographic of the domain 3 (b,Unit:m)
设计两组试验:控制试验(CTRL)和MODIS-2019试验。CTRL试验采用WRF自带的描述为MODIS modified-IGBP土地利用500 m的静态数据资料,其包含了21种土地利用类型。MODIS 2019试验采用的土地利用资料为2019年MODIS土地利用类型产品MCD12Q1 500 m分辨率资料,数据文件为hdf格式,投影方式为sinusoidal投影,每个文件包含2400×2400个格点,其中在赤道地区大小约为10°×10°的一个区域。鉴于WRF模式自带的MODIS土地利用资料采用IGBP分类。为避免分类标准的不一致导致的模拟差异,2019年MODIS土地利用类型产品MCD12Q1选取与WRF模式一致的IGBP分类数据(MCD12Q1 IGBP分类包含的17种土地类型与WRF模式自带的前17种类型土地类型一一对应,18~21类取用WRF模式自带资料),利用HEG工具进行拼接、投影转换、数据切割,并编程进行临近点数据替换,最终转换为WGS84坐标系的静态数据,并对模式前处理参数进行修改。文中分析区域为d03区域[图1(b)],两组试验结果差异均为MODIS 2019试验结果减CTRL试验。实况资料为中国地面逐小时国家级气象站资料,包括2 m气温及日最高、最低气温等。
文中附图涉及地图均基于国家测绘地理信息局标准地图服务网下载的审图号为GS(2017)3320号的标准地图制作,底图无修改。
2 土地利用类型差异
CTRL试验与MODIS2019试验资料差异明显(图2),虽同为500 m分辨率,但MODIS2019资料刻画更为精细、土地类型更加丰富。CTRL试验主要以混合林、农田、草地和多树草原为主。相对CTRL试验,MODIS2019试验中四川盆地主体由大面积的农田转变为农田/自然植被,川中丘陵部分农田区域更新为连成小片的稀树草原,成都平原与重庆主城区城市和建筑面积扩大,城市化进程明显。四川盆地边缘在CTRL试验中以混合林为主的区域,在MODIS2019数据中变为落叶阔叶林、混合林、多树草原和稀树草原的混合体,四川盆地西侧边缘以林地为主,其余地区以草原为主。四川盆地北侧秦岭由大片的混合林变为落叶阔叶林;南侧云贵高原处由农田更新为农田/自然植被以及稀树草原;西北侧松潘高原地区均以稀树草原为主;川东平行岭谷山脉以混合林为主,土地利用类型变化不明显。
图2
图2
CTRL试验(a)和MODIS2019试验(b)土地利用类型空间分布
(红色圆点为土地利用类型变化站点,黑色圆点为未变化站点,黑色五角星为合川站)
Fig.2
The spatial distribution of land use type of CTRL (a) and MODIS2019 (b) experiments
(The red points are the stations with land use change, the black points are the stations without land use change and the black five-pointed star is Hechuan station)
统计d03区域306个站点临近格点的土地利用类型,CTRL试验中有6种土地利用类型,166站土地利用类型为农田,46站为混合林,39站为多树草原,32站为城市和建筑。MODIS2019试验中有9种土地利用类型,其中城市和建筑81站,稀树草原78站,多树草原61站,农田/自然植被为34站。
分析造成两组数据明显差异的原因,首先两组数据时间间隔久,土地利用本身受天气气候影响存在动态变化,其次是政策调控和经济驱动。另外,更新后采用的MCD12Q1版本6数据,其中进行的算法优化也是重要因素。
3 结果分析
3.1 土地利用资料对近地面气温的影响
统计d03区域模拟格点与临近306个站点2 m气温的平均误差(ME)、平均绝对误差(MAE)、均方根误差(RMSE)及2 ℃以内准确率(HR),其中HR计算公式如下:
式中
表1 列出模拟的2 m气温、日最高气温、日最低气温统计检验结果。8月15日个例,模拟的2 m气温的ME由CTRL试验的-1.240 ℃变为MODIS2019试验的-0.328 ℃,相应的MAE由2.120 ℃降低到1.917 ℃,RMSE由2.593 ℃降低到2.462 ℃,HR上升7.5%;8月21日个例,模拟的2 m气温的ME由CTRL试验的-1.289 ℃变为MODIS2019试验的 -0.824 ℃,相应的MAE由1.942 ℃降低到1.830 ℃,RMSE由2.385 ℃降低到2.316 ℃,而HR上升5.0%。
表1 模拟的2 m气温、日最高气温、日最低气温统计检验结果
Tab.1
| 个例 | 物理量 | 试 验 | ME/℃ | MAE/℃ | RMSE/℃ | HR/% |
|---|---|---|---|---|---|---|
| 8月15日个例 | 2 m气温 | CTRL | -1.240 | 2.120 | 2.593 | 54.5 |
| MODIS2019 | -0.328 | 1.917 | 2.462 | 62.0 | ||
| 日最高气温 | CTRL | -3.079 | 3.298 | 3.742 | 21.6 | |
| MODIS2019 | -1.351 | 2.124 | 2.892 | 59.8 | ||
| 日最低气温 | CTRL | -0.437 | 1.633 | 2.072 | 66.9 | |
| MODIS2019 | -0.430 | 1.719 | 2.162 | 63.8 | ||
| 8月21日个例 | 2 m气温 | CTRL | -1.289 | 1.942 | 2.385 | 59.2 |
| MODIS2019 | -0.824 | 1.830 | 2.316 | 64.2 | ||
| 日最高气温 | CTRL | -2.398 | 2.755 | 3.149 | 32.0 | |
| MODIS2019 | -1.474 | 2.146 | 2.690 | 56.4 | ||
| 日最低气温 | CTRL | -1.177 | 1.628 | 2.028 | 67.6 | |
| MODIS2019 | -1.079 | 1.615 | 2.007 | 68.5 | ||
| 两个个例平均值 | 2 m气温 | CTRL | -1.265 | 2.031 | 2.489 | 56.9 |
| MODIS2019 | -0.576 | 1.876 | 2.389 | 63.1 | ||
| 日最高气温 | CTRL | -2.739 | 3.027 | 3.446 | 26.8 | |
| MODIS2019 | -1.413 | 2.135 | 2.791 | 58.1 | ||
| 日最低气温 | CTRL | -0.807 | 1.631 | 2.050 | 67.3 | |
| MODIS2019 | -0.755 | 1.667 | 2.085 | 66.2 |
8月15日个例, MODIS2019试验模拟的日最高气温ME绝对值较CTRL试验减小1.728 ℃,相应的MAE减小了1.174℃,RMSE减小了0.85 ℃,HR提高了38.2%,模拟的日最低气温HR下降了3.1%;而8月21日个例, MODIS2019试验模拟的日最高气温HR较CTRL试验提高了24.4%,相应的模拟的日最低气温HR上升了0.9%。
与CTRL试验比较,两次个例的2 m气温统计检验平均结果表现为MODIS2019试验模拟的2 m气温的ME、MAE、RMSE降低,HR上升6.2%,日最高气温HR提高31.3%,日最低气温HR略有下降。统计结果显示两组试验模拟结果具有一致性,均呈现模拟的2 m气温低于实况、2 m气温及日最高气温HR 上升的效果。下文中将以8月15日个例为例进行分析,说明更新下垫面资料影响温度分布和地表能量平衡的机理。
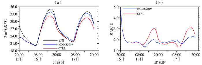
8月16、17日d03区域站点平均日最高气温分别为35、34 ℃,日较差最高达14 ℃。对比两组试验模拟的2 m气温随时间的变化,初始场(2019年8月15日20:00)2 m气温较实况偏低4 ℃以上,在初始场误差较大的情况下,WRF模式能够有效降低模拟误差,两组试验前12 h随着预报时间增加模拟值逐渐接近实况。随着太阳辐射作用的累积,两组试验差异逐渐明显,MODIS 2019试验结果呈高温偏低、低温偏高的特征,CTRL试验除个别时次外,模拟值始终低于实况[图3(a)]。MODIS2019试验模拟的日最高气温与实况更接近,两组试验模拟的日最低气温差异较小。CTRL试验模拟的2 m气温的MAE极值点出现在日最高、最低气温出现后约2 h,MAE最大达3.1 ℃;MODIS2019试验模拟值MAE随时间变化较为平稳,基本维持在1.2~2.2 ℃[图3(b)]。16日23:00至17日11:00 CTRL 试验模拟值的MAE较小,其余时刻MODIS2019试验较小。
图3
图3
模拟的2 m气温与实况(a)及模拟值的MAE(b)随时间的变化
Fig.3
Variation of simulated 2 m temperature and observations (a) and MAE of simulated 2 m temperature (b) with time
15日夜间至16日白天模拟区域以晴空为主,对比两组试验模拟的2 m气温差异空间分布随时间的变化(图4),可以看出温度对土地利用类型十分敏感,16日02:00四川盆地南侧边缘山地和成都平原附近最先出现差异,MODIS2019试验相较于CTRL试验温度偏高在0.5 ℃以内,秦岭北侧关中盆地出现了一条1.0 ℃以内的温度偏高带,四川盆地内有部分区域温度偏低,但偏低程度较小。16日08:00开始,整体呈现温度偏高,四川盆地西北和东南边缘山地温度偏高更加明显。随着模拟时间的增加,温度偏高逐渐明显。模拟至16日20:00四川盆地西侧及西北侧高原土地利用类型变化不明显的地区,模拟温度差异很小;秦岭及大巴山区域(由混合林转变为落叶阔叶林区域)以及东南侧湖南、重庆、贵州三省交界地区(以多树草原为主,局部转为稀树草原),MODIS2019试验较CTRL试验出现1.0 ℃左右的增温;四川盆地南、北边缘(由混合林转变为多树草原)增温在2.0 ℃左右,四川盆地内部(主要由农田区域转变为城市和农田/自然植被)增温在3.0 ℃左右,局部增温超过4.0 ℃。
图4
图4
2019年8月16日两组试验模拟的2 m气温差值空间分布(单位:℃)
(a)02:00,(b)08:00,(c)14:00,(d)20:00
Fig.4
The spatial distribution of difference of 2 m temperature simulated by two groups of experiments on 16 August 2019 (Unit:℃)
(a) 02:00 BST, (b) 08:00 BST, (c) 14:00 BST,(d) 20:00 BST
对比分析两组试验模拟的16、17日最高气温与实况的差值分布(图5),16日CTRL试验模拟值在整个模拟区域以低于实况为主,大部分区域偏低3.0 ℃以上,MODIS2019试验模拟结果仍以偏低为主,但偏低程度有所改善,尤其是四川盆地区域偏低多在2.0 ℃以内,而模拟的成都平原最高气温高于实况。两组试验模拟的汉中盆地区2 m最高气温高于实况,四川盆地西侧横断山脉和松潘高原地区最高气温差异不明显,结合MODIS2019土地利用类型,可以看出模式对四川盆地西侧大片草原和混合林的最高气温有所低估。17日,CTRL试验模拟的汉水流域最高气温高于实况2.5 ℃左右,其余地区仍以偏低为主。MODIS2019试验模拟的四川盆地最高气温高于实况,大部分区域偏高仍然在2.0 ℃以内,四川盆地南侧及东侧模拟最高气温偏低,汉水流域最高气温偏高状况加剧,超过3.0 ℃。
图5
图5
CTRL(a、c)、MODIS2019(b、d)试验模拟的2019年8月16日(a、b)和17日(c、d)最高气温分别与实况的差值(单位:℃)
Fig.5
The spatial distribution of difference of simulated maximum temperature by CTRL(a,c), MODIS2019 (b,d) and observed maximum temperature on 16 (a,b) and 17 (c,d) in August 2019 (Unit: ℃)
3.2 地表能量
土地利用/覆盖变化通过改变地表反照率、表面粗糙度、叶面积指数、土壤湿度等地表属性和下垫面的性质影响地表能量分配[31-32]和水分循环,从而引起近地表气温的变化[4,23]。两组试验模拟的四川盆地区域内部温度差异明显,MODIS2019试验较CTRL试验增温明显(图4),同时由于CTRL试验中农田站点最多,MODIS2019试验中城市/建筑站点最多,因而选取四川盆地内部地表类型由农田转为城市和建筑的合川站作为典型站点进行对比分析。合川位于重庆西北部,地处川中丘陵和川东平行岭谷的交接地带。实况最高气温超过39.0 ℃,CTRL试验模拟的最高气温大幅偏低,夜间温度略微偏高,最低气温模拟与实况较为一致,MODIS2019试验模拟的最高气温相对于CTRL更加接近实况(改善了3 ℃以上),但模拟的最低气温偏高,高于CTRL试验和实况(图略)。
图6为两组试验模拟的合川站潜热通量、感热通量、地表热通量和边界层高度随时间的变化。15日20:00至17日20:00该站点为晴空,白天潜热通量和感热通量在太阳辐射作用下迅速增加,每天14:00达最大,较最高气温出现偏早约1 h,地表热通量为负值,每天10:00达极值。CTRL试验模拟的潜热通量日最高值为580 W·m-2,感热通量为110 W·m-2,地表热通量为-120 W·m-2,表明CTRL试验中地表能量以潜热为主,水汽交换强烈。MODIS2019试验较CTRL试验模拟的潜热通量偏小280 W·m-2,感热通量偏大200 W·m-2,地表热通量增强30 W·m-2。
图6
图6
两组试验模拟的合川站潜热通量(a)、感热通量(b)、地表热通量(c)和边界层高度(d)随时间的变化
Fig.6
Variation of latent heat flux (a), sensible heat flux (b), ground heat flux (c) and boundary layer height (d) at Hechuan station simulated by two groups of experiments with time
图7
图7
2019年8月16日14:00两组试验模拟的感热通量(a)、潜热通量(b)差值空间分布(单位: W·m-2)
Fig.7
The spatial distribution of differences of sensible heat flux (a) and latent heat flux (b) simulated by two groups of experiments (Unit: W·m-2)
WRF模式中VEGPARM.TBL给出了每种植被对应的地表反照率、地表发射率、粗糙度、植被气孔阻抗、最大积雪深度等参数,不同土地类型之间的转换直接改变参数取值,进而影响陆面过程的计算,导致模拟结果的差异。由于影响参数较多,文中仅选取4个典型参数进行分析。表2为两组试验中合川站陆面参数值。MODIS2019试验中,发射率减小,粗糙度增大,植被气孔阻抗增大。反照率变化是影响净辐射变化的主要因子,由于合川站反照率未发生变化,两组试验净辐射无较大差异。地表发射率的差异决定不同地表状况下的长波辐射能量分配[33]。土地利用类型改变后,城市内部包括植被、沥青、砖石等不同物理和化学特性的物质构成,发射率由农田的0.935变为0.880,导致地表向外发射长波辐射减少,白天地表吸收的热量增多。城市下垫面材料透水性差,气孔阻抗大幅增加,地面蒸发和蒸腾量少,导致相对湿度减小,潜热通量减少[34],感热通量增加,气温升高。近地面气温不仅受能量平衡的影响,还受大气能量水平和垂直输送的影响[1]。城市建筑物密集,高度差异大,地表粗糙度由0.2 m增加至1.0 m,随着粗糙度的增加,地表交换系数增大,有利于垂直运动发展,边界层高度增高。夜间两组试验模拟的潜热通量和感热通量值差异较小且均接近零,地表热通量为正值,此时释放热量,MODIS2019试验较CTRL试验释放热量偏多,加上白天造成的气温偏高,导致MODIS2019试验模拟的夜间温度也偏高。
表2 两组试验中合川站陆面参数值
Tab.2
| 土地利用类型 | 反照率 | 发射率 | 粗糙度/m | 植被气孔阻抗/(s·m-1) | |||||||||
|---|---|---|---|---|---|---|---|---|---|---|---|---|---|
| CTRL | MODIS2019 | CTRL | MODIS2019 | CTRL | MODIS2019 | CTRL | MODIS2019 | CTRL | MODIS2019 | ||||
| 农田 | 城市和建筑 | 0.18 | 0.18 | 0.935 | 0.88 | 0.2 | 1.0 | 40 | 200 | ||||
下垫面的改变会在地表能量平衡中体现出来,MODIS2019试验利用2019年更新的MODIS资料,相对于CTRL试验中WRF自带土地利用资料,减少了局地地表蒸发及大气水分供应,加强了地表对边界层大气的向上感热输送以及地表与低层大气间的物质能量交换,并通过地表能量平衡影响近地面气象场,改变了边界层结构和局地环流。
3.3 对大气垂直结构的影响
土地利用资料的更新,造成四川盆地低层内部增温,能量收支产生差异,影响局地近地层大气。为进一步分析近地面气象场的差异是否能够影响中高层大气,对2019年8月17日16:00 MODIS2019试验与CTRL试验模拟的位温和垂直速度沿30°N作经度-高度剖面(图8),可以看出,土地利用资料影响大气垂直结构,CTRL试验模拟的位温在2 km以下呈东高西低,2 km以上位温梯度较大。MODIS-2019试验模拟的四川盆地内部1.5 km以下位温为314 K,相较于CTRL试验模拟的位温高3 K左右,2~3 km位温梯度较小,3 km以上位温梯度相当,4 km以上两组试验差异不明显。CTRL试验模拟的垂直速度强度较弱,MODIS2019试验模拟的垂直速度强度明显增强,配合位温波动出现上升区和下沉区,上升速率可达2 m·s-1,高度达3.5 km。从两组试验模拟的700 hPa和500 hPa温度和水汽混合比的差异的空间分布可以看出,16日08:00两组试验模拟的温度和水汽场几乎没有差异,16日20:00和17日08:00差异逐渐显现,此时两组试验模拟的温度差值在1 ℃以内,水汽混合比差值在5 g·kg-1以内(图略)。17日16:00 MODIS2019试验模拟的700 hPa四川盆地内部温度较CTRL试验偏低,偏低幅度在2 ℃以内,四川盆地边缘偏高,500 hPa模拟区域东南部分偏低,四川盆地西北侧土地利用类型未发生明显变化的高原地区温度也出现差异,四川盆地内部温度差异较小。MODIS2019试验模拟的700 hPa水汽混合比较CTRL试验在四川盆地内部以增加为主,且呈现西北—东南方向倾斜的“2”字型分布,在成都平原地区增加最为明显,500 hPa未有明显差异(图9)。土地利用资料影响近地面温度的局地性较强,随着模拟时间的增加,逐渐影响中高层温度及周边区域。
图8
图8
两组试验模拟的2019年8月17日16:00位温(等值线,单位:K)和垂直速度W(彩色填色区,单位:m·s-1)沿30°N经度-高度剖面
(a) CTRL, (b) MODIS2019
Fig.8
Lontitude-height cross sections of potential temperature (isoline,Unit: K) and vertical velocity (color shaded areas,Unit:m·s-1) simulated by two groups of experiments along 30°N at 16:00 BST on 17 August 2019
(a) CTRL, (b) MODIS2019
图9
图9
两组试验模拟的2019年8月17日16:00 700 hPa(a、c)、500 hPa(b、d)温度(a、b)(单位:℃)和水汽混合比(c、d)(单位:g·kg-1)的差值空间分布
Fig.9
The spatial distribution of differences of simutlated temperature (a,b) (Unit:℃) , water vapor mixing ratio (c,d) (Unit:g·kg-1) at 700 hPa (a,c) and 500 hPa (b,d)between two groups of experiments at 16:00 BST on 17 August 2019
4 结论与讨论
利用WRF模式对2019年8月四川盆地高温过程进行数值模拟,对比分析基于2019年更新的MODIS资料土地利用数据与WRF自带土地利用资料的模拟效果差异。得出以下结论:
(1)2 m气温对土地利用资料十分敏感,更新资料后,两次个例平均的2 m气温模拟准确率提高6.2%,最高气温模拟准确率提高31.3%;最低气温模拟准确率下降1.1%。模拟的四川盆地内部2 m气温增温明显,局部增温可超过4.0 ℃,最高气温模拟偏低的状况明显改善。
(2)以合川站作为典型站点进行对比分析,发现下垫面更新后发射率减小,植被气孔阻抗增大,导致地表吸收能量增多,局地地表蒸发及大气水分供应减少,潜热通量减少,地表向上感热输送加强,导致温度升高;粗糙度增大,地表交换系数增大,边界层高度增高。
(3)模拟初期土地利用资料的差异局地性较强,随着模拟时间增加,逐渐影响中高层及周边区域大气,更新土地利用资料后垂直速度强度明显增强,四川盆地内部700 hPa温度降低,水汽增加明显;500 hPa四川盆地西北侧土地利用类型未发生明显变化的高原地区温度也出现差异。
更新土地利用资料后,感热通量及潜热通量均发生较为剧烈的变化。除土地利用类型更新造成的模拟差异外,植被覆盖度、叶面积指数等数值未进行修改,局地土地利用类型和植被信息的不匹配可能扩大土地利用类型对地表能量的影响;另外模拟过程中地表发射率等参数被设置为常数,缺少日变化及随气象条件的变化,也可能会造成不同土地利用类型地表能量差异加大。
参考文献
下垫面对WRF模式模拟黑河流域区域气候精度影响研究
[J].利用高精度的土地覆盖、 土壤质地类型和地形高度值替换了天气研究和预报模式Weather Research and Forecasting Model (WRF)中的相关数据, 通过数值模式试验检验了下垫面数据对WRF模拟精度的影响。同时, 通过与黑河综合遥感联合试验中7个测站观测数据的比较, 以平均误差、 均方根误差和相关系数为指标, 分析了WRF模式下垫面数据改变对近地表气象要素的模拟精度的影响。结果表明: (1)WRF模式本身的地形高度信息在黑河流域上游地区有较大误差, 造成了一定的模拟误差。而使用高精度的下垫面数据可以提高WRF模式在黑河流域上游复杂区域的模拟能力; (2)2 m气温除了随地形高度递减外, 还受土壤质地和土地覆盖小幅度影响, 而且进行地形订正后的2 m气温与2 m湿度的模拟在下垫面为水体的区域对比强烈, 因此为模式提供准确的水体分布信息也至关重要; (3)2 m气温和湿度等要素的模拟差异值与地形高度资料的差异呈负相关, 而降雨量的差异与地形高度差异呈微弱的正相关, 与土壤质地差异和土地覆盖差异的相关性也比较弱。
Land use/land cover changes and climate: modeling analysis and observational evidence
[J].
Impact of land use changes on surface warming in China
[J].
Simulation of effects of land use change on climate in China by a regional climate model
[J].
A theoretical analysis on the local climate change induced by the change of land use
[J].
Evaluation of the consistency of MODIS land cover product (MCD12Q1) based on Chinese 30 m GlobeLand 30 Datasets: a case study in Anhui Province, China
[J].
中国土地利用/覆盖变化及其气候效应的研究综述
[J].人类活动引起的土地利用/覆盖变化(Land Use and Land Cover Change,LUCC)是重要的外强迫之一,但是LUCC对全球及区域气候影响的研究仍然薄弱,至今无法对LUCC的气候效应问题做出系统的评估。研究针对人类活动比较剧烈的中国区域问题,首先回顾了近几十年来中国LUCC的特征,接着从观测和数值模拟2个方面系统地讨论了过去LUCC的研究成果,主要针对LUCC通过生物地球物理过程影响区域气候的工作,总结和归纳了LUCC对中国区域气候的影响问题,进而探讨了LUCC在未来气候变化中可能扮演的角色、亟待解决的问题,以及国内外在这方面的研究动态和未来发展方向。
/
| 〈 |
|
〉 |
