黄土高原半干旱区2020年生长季草地土壤呼吸特征及其影响因素
Grassland soil respiration characteristics and their influencing factors in semi-arid region of Loess Plateau during the growing season in 2020
通讯作者: 闭建荣(1984—),男,博士,高级工程师,主要从事半干旱气候变化研究. E-mail:bijr@lzu.edu.cn。
责任编辑: 黄小燕;校对:刘晓云
收稿日期: 2022-01-20 修回日期: 2022-04-11
| 基金资助: |
|
Received: 2022-01-20 Revised: 2022-04-11
作者简介 About authors
张琳焓(1993—),女,硕士生,主要从事陆地碳循环过程研究.E-mail:zhanglh2019@lzu.edu.cn。
采用LI-8100A型土壤碳通量仪对黄土高原半干旱区草地生长季(5—10月)的土壤呼吸速率、土壤温度及含水量进行连续观测,综合分析土壤呼吸的时间变化规律,并研究环境因子对呼吸速率的影响。结果表明:(1)不同天气条件下土壤呼吸速率的日动态变化差异明显,晴天的日均值 (2.90 µmol·m-2·s-1)与变化范围(1.73~4.92 µmol·m-2·s-1)明显大于多云天和阴天。不同月份土壤呼吸速率的平均日变化均呈现“单峰型”结构,最高值(2.20~4.40 µmol·m-2·s-1)、最低值(0.71~1.70 µmol·m-2·s-1)分别出现在12:00或13:00、05:00或06:00,日均值接近于10:00或19:00的观测值。(2)白天和夜间土壤呼吸速率在5—6月处于较小值,从6月开始逐渐增大,8月达到峰值(白天3.31±0.98 µmol·m-2·s-1、夜间1.80±0.39 µmol·m-2·s-1),之后逐渐减小,10月出现最低值(白天1.55±0.55 µmol·m-2·s-1、夜间0.81±0.12 µmol·m-2·s-1),且白天通常高于夜间。整个生长季夜间土壤呼吸对全天总呼吸的贡献率为27.2%~32.4%。因此,在当前草地生态系统碳循环模型中应考虑夜间土壤呼吸的影响。(3)土壤温度是影响生长季土壤呼吸速率的主要环境因子,但土壤温度单变量模型不足以全面解释土壤呼吸的动态变化。结合土壤温度与含水量的双变量非线性模型能更好地拟合土壤呼吸速率,对其变异的解释程度达74.0%。(4)2020年生长季,全天、白天和夜间土壤呼吸的温度敏感性指数(Q10)变化范围分别为1.38~2.14、1.22~1.96和0.85~1.64,对应平均值分别为1.58±0.23、1.41±0.19和1.20±0.16。如果只用白天时段的Q10值代替日均值,将造成约10.8%的低估。
关键词:
The automated soil CO2/gas flux system (model LI-8100A) was used to continuously observe the soil respiration rate, soil temperature and water content in a semi-arid grassland of Loess Plateau during the growing season (from May to October). The temporal variations of soil respiration were comprehensively analyzed, and the influences of environmental hydrothermal factors on soil respiration were studied. The results are as follows: (1) The diurnal dynamic variations of soil respiration rate were significantly different under diverse weather conditions, and the daily mean value (2.90 µmol·m-2·s-1) and variation range (1.73-4.92 µmol·m-2·s-1) on sunny days were obviously greater than those on cloudy and overcast days. The average diurnal variations of soil respiration rate in different months all showed a significant unimodal pattern, with the maximum (2.20-4.40 µmol·m-2·s-1) appearing at 12:00 BST or 13:00 BST and the minimum (0.71-1.70 µmol·m-2·s-1) appearing at 05:00 BST or 06:00 BST. The daily mean values were close to the observed values at 10:00 BST or 19:00 BST. (2) The soil respiration rate in both daytime and nighttime were low in May and June, and increased gradually from June, then reached the peak value (in daytime 3.31±0.98 µmol·m-2·s-1, in nighttime 1.80±0.39 µmol·m-2·s-1) in August, afterwards gradually decreased. Furthermore, the lowest value occurred in October (in daytime 1.55±0.55 µmol·m-2·s-1, in nighttime 0.81±0.12 µmol·m-2·s-1), and soil respiration rates in daytime were always higher than those in nighttime. The nocturnal soil respiration contributed 27.2%-32.4% to the total respiration during the whole growing season. Therefore, the effects of nocturnal soil respiration should be considered in the current carbon cycle models of grassland ecosystem. (3) Soil temperature was the main environmental factor affecting soil respiration rate, but the univariate model of soil temperature was not enough to fully explain the diurnal dynamic changes of soil respiration. The bivariate nonlinear model combined with soil temperature and water content could be better fitted the soil respiration rate and accounted for 74.0% of the variation. (4) The temperature sensitivity indices (Q10) of the entire day, daytime, and nighttime throughout the growing season in 2020 varied from 1.38 to 2.14, from 1.22 to 1.96, and from 0.85 to 1.64, respectively, with the corresponding mean values of 1.58±0.23, 1.41±0.19 and 1.20±0.16. This suggested that replacing the daily mean values of Q10 with daytime averages would result in an underestimation of about 10.8%.
Keywords:
本文引用格式
张琳焓, 闭建荣, 张雪腾, 李正鹏, 赵长明, 马晓俊.
ZHANG Linhan, BI Jianrong, ZHANG Xueteng, LI Zhengpeng, ZHAO Changming, MA Xiaojun.
引言
全球土壤中有机碳储量为1300~2000 PgC,分别是陆地植物碳库(560 PgC)的3倍和大气碳库(750 PgC)的2倍,其微小变化将会对大气中二氧化碳浓度产生重大影响,从而加剧或减缓全球气候变化[1-2]。世界干旱半干旱区面积为5.55×107 km2,约占全球陆地总面积的41%[3],是全球陆地表面增温最显著的区域,主导着全球碳循环的年际变化[4]。然而,这里降水稀少,蒸发量大,植被覆盖稀疏,生态系统十分脆弱,其土壤呼吸速率的变化对温度和水分的响应更加敏感[5],对全球碳平衡过程影响较大。研究表明,虽然热带雨林是全球陆地生态系统中最主要的碳汇,但是半干旱区由于具有较大的降水变率与气温年际差异,其对全球陆地生态系统碳汇年际变异的贡献约为39%,明显高于热带雨林(19%)和农田(27%)[6]。
目前我国针对土壤呼吸及其影响的研究主要集中在内蒙古羊草草原[7-8]、新疆荒漠植被[9]和青藏高原高寒草甸[10],而对黄土高原半干旱区草地的关注较少。受自然条件制约与人类活动的影响,黄土高原已成为中国水土流失最严重的地区,其生态恢复是国家生态文明建设的主要任务之一[11-12]。在气候条件、植被类型、土壤性质和微生物活性等因素的综合影响下,该地区土壤呼吸常常表现出很大的时空分布差异,极大限制了对碳交换过程的全面认识。李旭东等[13]研究表明黄土高原农田系统土壤呼吸速率的日变化和季节变化均呈明显的“单峰型”曲线,且土壤温度是主控因素,而土壤水分与呼吸作用季节变化的相关性较差;郭丁等[14]使用概率反演分析法对比分析了兰州大学半干旱气候与环境观测站(Semi-Arid Climate and Environment Observatory of Lanzhou University,SACOL)草地和农田生态系统,发现黄土高原半干旱地区草地的固碳潜力是农田的1.2倍;黄土丘陵区围封草地土壤呼吸的日变化曲线接近于正弦函数模型,土壤温度、水分与土壤呼吸的日变化之间呈极显著的指数关系[15];陕西长武黄土旱塬草地土壤温度对土壤呼吸季节变化的作用最大,对其变异的解释程度为79%[16]。上述工作主要探究了土壤温度或土壤水分等单变量因子对呼吸速率的影响,不足以全面刻画环境因子与土壤呼吸的相互作用。此外,受观测仪器和探测技术的制约,以往工作对呼吸速率的研究主要集中在生长季的白天时段,缺乏长期、连续的昼夜变化资料,极大影响了对黄土高原碳循环机制的全面了解。因此,本文分析了黄土高原半干旱区草地系统的土壤呼吸速率、土壤温度及含水量的连续观测数据,试图揭示生长季土壤呼吸的日动态和月变化规律,研究水热因子对土壤呼吸的综合影响,建立合理优化的非线性多元回归方程,以期为准确评估该地区的碳循环过程与影响机制提供基础支撑。
1 研究区概况
试验设置在SACOL站,位于兰州大学榆中校区萃英山顶(104.137°E,35.946°N,海拔1965.8 m)。气候类型属大陆性半干旱气候,年平均气温6.7 ℃、年蒸发量1340 mm、年日照时数约2600 h、年降水量 382 mm(主要集中在7—9月)。实验场地为天然草地,受人类活动干扰较少,可代表方圆几百公里半干旱草地的平均状况。土壤类型为栗钙土,0~ 10 cm土壤层的有机碳、全氮、pH值和土壤容重分别为8.96 g·kg-1、0.75 g·kg-1、8.45和1.14 g·cm-3,10~20 cm土壤层的对应值分别为7.42 g·kg-1、 0.69 g·kg-1、8.49和1.14 g·cm-3。主要植被有铁杆蒿(tripolium vulgare)、冷蒿(artemisia frigida)、赖草(leymus secalinus)和本氏针茅(stipa bungeana)等[17]。
2 试验设置
在平坦草地内选择一块20 m×20 m的实验样地,样地内植被分布总体较均匀,但在局地尺度上,有多种类型的植被和裸地分布,为使观测结果更具代表性,采用LI-8100A型多通道土壤碳通量仪测定土壤呼吸速率时,选取8个不同植被覆盖密度的样点分别放置长期测量气室,相邻气室间隔4 m,按逆时针方向依次标记为1~8号。每个气室内的植被分布状况如图1所示,其中1、2、7号植株覆盖相对稀疏,其余气室的植被覆盖度为65%~80%。测量时每个气室都放置于一个直径20 cm、横截面积371.8 cm2、高度10 cm的PVC呼吸测定圈上,测定圈嵌入土壤深度为6 cm,为减小安装对测量的干扰,测定圈在测量前2 d嵌入土壤中。
图1
图1
8个气室内的植被分布状况(2020年8月27日拍摄)
Fig.1
Vegetation distributions in eight air chambers (taken on August 27, 2020)
3 资料与方法
观测时段为2020年5月20日至10月20日(生长季),每30 min依次完成8个气室土壤呼吸速率的测量,即每天进行48次连续测定。每个气室还配备一个土壤温度(8100-203型)和水分(GS1型)传感器,同步测量5 cm土壤温度及含水量。降水量和太阳辐射资料分别由SACOL站的雨量筒(TE525MM-L型)和短波辐射表(CM21型)测量,时间分辨率均为30 min。5月20日至7月20日3、4、7号气室的温度传感器被送回厂家进行校准标定,该时段的土壤温度资料缺失;5月26日至7月4日,由于雨量筒仪器故障,该时段的降水资料缺失。
LI-8100A型土壤碳通量仪的测量原理是通过测量气室内CO2的增加速率,推算气室外CO2扩散到自由大气中的通量,具体公式如下:
式中:
原始数据按如下步骤处理:首先根据仪器公司提供的File Viewer软件导出8个气室的土壤呼吸速率、土壤温度及含水量数据,通过对不同气室测量值的相互比较与验证,有效剔除因仪器故障或外界干扰等产生的异常野点数据,然后利用SPSS 22.0和IDL8.3软件进行相关分析、回归拟合与绘图。
式中:TS(℃)为土壤温度;WS(m3·m-3)为土壤含水量;
通常使用温度敏感性指数Q10研究土壤温度与土壤呼吸速率的关系,Q10是指温度每升高10 ℃时土壤呼吸增加的倍数。作为一个重要的模型参数,Q10已被广泛应用于各种生态碳循环模型的模拟中[20],具体公式如下:
考虑到水热因子的共同影响,分别采用线性和非线性模型(交叉、幂次、复合)[21]研究土壤温度与含水量的协同作用对呼吸速率的影响,并根据决定系数R2筛选最优拟合模型。
式中:a、b、c、d、e、f均为拟合参数。
4 结果与分析
4.1 土壤呼吸速率及环境因子的时间变化
4.1.1 土壤呼吸速率及环境因子的逐30 min变化
图2为2020年生长季土壤呼吸速率、土壤含水量、土壤温度和降水量的逐30 min变化。可以看出,整个观测期内不同气室的土壤呼吸速率、土壤含水量和温度均呈现较为一致的动态变化,变化范围分别为0.20~7.15 µmol·m-2·s-1,0.0~0.39 m3·m-3和10~40 ℃。8个气室的呼吸速率都是从5月植被 返青期开始逐渐增强,7—8月达到峰值(6.4~7.15 µmol·m-2·s-1),9—10月随着植被逐渐变枯黄而减小(2.0~4.0 µmol·m-2·s-1)。2020年SACOL站降水主要集中在7—8月,占生长季总降水量(212.4 mm)的74.2%。受降水过程影响,土壤含水量表现出明显的脉冲波动变化,其最大值与降水量具有很好的对应关系,而土壤温度的动态变化主要受太阳辐射和天气状况控制。8个不同气室的土壤呼吸速率差异较小(标准差为0.10~0.46 µmol·m-2·s-1)且变化趋势较为一致。为减小空间异质性对实验结果的影响,下文使用8个气室土壤呼吸速率、土壤温度及含水量的逐小时算术平均值代表该地区土壤物理参量的典型变化。
图2
图2
2020年生长季8个气室土壤呼吸速率(a)、土壤含水量(b)、土壤温度(c)及降水量(d)逐30 min变化
Fig.2
The 30-min variation of soil respiration rate (a), soil water content (b), soil temperature (c)and precipitation (d) for eight air chambers during the growing season of 2020
4.1.2 土壤呼吸速率及环境因子的日变化
图3为2020年8月26日(晴天)、28日(多云)和29日(阴天)3种典型天气条件下土壤呼吸速率的日变化个例。可以看出,不同天气状况下土壤呼吸速率的日变化差异明显,晴天和多云天均呈“单峰型”曲线,即从日出前开始逐渐增强,正午达最高值,午后至20:00(北京时,下同)为快速减弱阶段,而夜间下降趋于平缓;晴天土壤呼吸速率的日平均值为2.90 µmol·m-2·s-1,变化范围为1.73~4.92 µmol·m-2·s-1,最大和最小值分别出现在13:00和06:00;多云天呼吸速率的日均值(2.60 µmol·m-2·s-1)和变化范围(1.86~3.91 µmol·m-2·s-1)均低于晴天,最高值出现时间比晴天提前1 h;而阴天呼吸速率一直处于较低水平(1.44~1.89 µmol·m-2·s-1),日变化规律不明显。
图3
图3
3种典型天气条件下土壤呼吸速率的日变化
Fig.3
Diurnal variations of soil respiration rate under three typical weather conditions
图4为生长季不同月份土壤呼吸速率、土壤温度和含水量的平均日变化。可以看出,5—10月土壤呼吸速率的平均日变化都呈明显的“单峰型”曲线,表现为正午较高而早晚时段偏低,与土壤温度的变化特征一致性较好,呼吸速率最低值出现在05:00或 06:00,变化范围为0.71~1.70 µmol·m-2·s-1,而最高值出现在12:00或13:00,对应变化范围为2.20~4.40 µmol·m-2·s-1。这主要由于夜间时段土壤温度较低,植被根系活动和土壤微生物活性也相对微弱,而白天土壤温度会随着太阳辐射的增强逐渐升高,适宜的温度促进了土壤微生物的分解和植被的光合作用,使得土壤呼吸在正午达到最大值,即在适宜温度范围内,土壤呼吸随着温度的升高而增强;午后随着土壤温度继续升高至最大值,微生物酶分解的活性受到抑制,导致呼吸作用逐渐减弱,出现“时滞”现象,即土壤温度最大值的出现时间比土壤呼吸滞后1~2 h。各月土壤呼吸速率的总体趋势为8月>7月>5月>9月>6月>10月,日均值分别为2.52、2.51、1.81、1.80、1.62、1.17 µmol·m-2·s-1,均接近于10:00或19:00的观测值。而平均土壤含水量的波动变化较小,在00:00—12:00基本保持恒定,从13:00开始呈逐渐下降趋势。
图4
图4
2020年生长季不同月份土壤呼吸速率(a)、土壤温度(b)和含水量(c)的平均日变化
Fig.4
Average diurnal changes of soil respiration rate (a), soil temperature (b)and soil water content (c) for different months during the growing season of 2020
4.1.3 土壤呼吸速率及环境因子的月变化
本文将08:00—18:00规定为白天时段,20:00至次日06:00定为夜间时段,分别计算生长季逐月白天、夜间及全天土壤呼吸速率、土壤温度及含水量的平均值(图5)。可以看出,白天和夜间土壤呼吸速率的变化趋势较为一致,均在5—6月处于较小值,从6月开始逐渐增大,8月达到峰值(白天3.31±0.98 µmol·m-2·s-1、夜间1.80±0.39 µmol·m-2·s-1),之后开始逐渐减小,10月降到最低值(白天1.55±0.55 µmol·m-2·s-1、夜间0.81±0.12 µmol·m-2·s-1)。这是由于随着气温回暖、降水增多,植被生长良好,适宜的水热条件促进了植被的光合作用、根系呼吸和微生物对土壤有机质的分解,使得呼吸作用明显增强,在植被生长最旺盛的8月达到峰值;而到了生长季末期,呼吸速率随着土壤温度的降低和降水过程的减少而逐渐减弱。另外,整个生长季土壤呼吸速率全天、白天和夜间的平均值分别为1.80±1.01、2.35±1.02、1.39±0.52 µmol·m-2·s-1,如果只用白天时段观测的平均值代表全天平均值,将对土壤呼吸造成约30.6%的高估。早期研究[22]指出,夜间草地系统的土壤呼吸作用较弱,对全天的贡献远小于白天,在观测和模拟时常常被忽略。本文计算发现2020年生长季不同月份夜间的土壤呼吸约占全天总呼吸的27.2%~32.4%,因此,为准确评估半干旱区草地生态系统的碳源汇收支,应该在模型中考虑夜间土壤呼吸的贡献。
图5
图5
2020年生长季逐月土壤呼吸速率(a)、土壤温度(b)和含水量(c)的白天、夜间及全天平均值(误差棒为对应的标准偏差)
Fig.5
The mean values of soil respiration rate (a), soil temperature (b) and soil water content (c) in daytime, nighttime and all-day in each month during the growing season of 2020(Error bars represent the standard deviations)
4.2 环境因子对土壤呼吸速率的影响
4.2.1 土壤呼吸速率与土壤温度的关系
图6为2020年生长季土壤呼吸速率与土壤温度的散点图,其中指数和线性模型的拟合方程分别为
图6
图6
2020年生长季土壤呼吸速率与土壤温度的散点图
Fig.6
The scatter diagram between soil respiration rate and soil temperature during the growing season of 2020
4.2.2 土壤呼吸速率与土壤含水量的关系
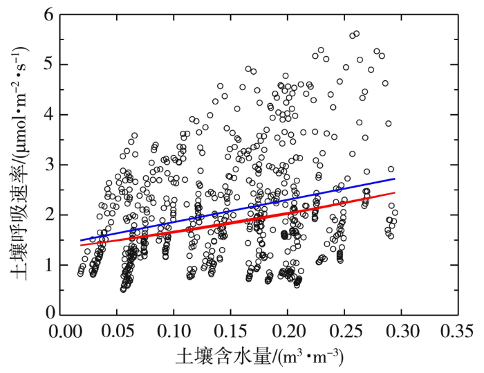
图7为2020年生长季土壤呼吸速率与土壤含水量的散点图,其中指数和线性模型的拟合方程分别为
图7
图7
2020年生长季土壤呼吸速率与土壤含水量的散点图
Fig.7
The scatter diagram between soil respiration rate and soil water content during the growing season of 2020
4.2.3 水热因子的协同作用
结合土壤温度与含水量建立的双变量非线性模型能更好地解释土壤呼吸速率的变化[9]。分别使用线性、交叉、幂次、复合4种拟合模型,对生长季土壤呼吸速率与土壤温度和含水量的所有小时平均数据进行多元回归拟合(表1)。可以看出,4种模型的决定系数R2分别为0.663、0.735、0.733、0.740 (P<0.001),说明双变量非线性方程的拟合效果明显优于单变量模型。另外,分别计算白天和夜间水热因子对土壤呼吸速率变异的解释程度,发现夜间时段水热因子对土壤呼吸速率变异的解释程度为57.5%(幂次模型),而白天仅为44.3%(交叉模型),均远低于全天的74.0%。因此,综合考虑全天时段水热因子协同作用的非线性模型(交叉、幂次、复合模型)对呼吸速率变异的解释程度更好,改进后双因子模型的最优拟合效果达74.0%。这与刘丽雯等[27]、马涛等[28]、王建国等[29]分别在黄土高原中西部的永寿(75.3%)、兰州(63.6%~80.6%)、神木(69.7%~77.4%)等草地系统的研究结论较接近。
表1 2020年生长季土壤呼吸速率与土壤温度和含水量的多元回归模型
Tab.1
| 模型类型 | 拟合方程 | R2 | P |
|---|---|---|---|
| 线性 | 0.663 | P<0.001 | |
| 交叉 | 0.735 | P<0.001 | |
| 幂次 | 0.733 | P<0.001 | |
| 复合 | 0.740 | P<0.001 |
从上述4种模型中选取决定系数较高的交叉和复合模型来验证其适用性。挑选出2020年生长季所有晴天,将晴天条件下的土壤温度和含水量数据代入上述模型,得到的土壤呼吸模拟值和实测值对比如图8所示。可以看出,2种模型的模拟结果与实测值变化趋势较为一致,且数值也较为接近。交叉模型拟合结果的平均值、标准差分别为2.02、0.9 µmol·m-2·s-1,而复合模型的对应值分别为2.20、0.98 µmol·m-2·s-1,均与实测值(2.01±0.105 µmol·m-2·s-1)十分接近,且拟合度都大于87.6%,表明这2种模型均能较好地预估半干旱区生长季草地系统的土壤呼吸速率。另外,在植被返青期复合方程对极值的模拟偏高且误差略微偏大,交叉方程的模拟结果与实测值更吻合;而在植被生长茂盛期,复合方程对呼吸速率的拟合效果均优于交叉方程,后者对极大值的模拟存在一定的低估;到了植被枯黄期,受土壤温度、降水及植物生长状况的共同影响,2种拟合方程的模拟值都较实测值偏高。
图8
图8
2020年生长季晴天时土壤呼吸速率实测值与模拟值对比
Fig.8
Comparison of measured and simulated soil respiration rate on sunny days during the growing season of 2020
5 Q10值变化特征
分别计算2020年生长季5—10月全天、白天和夜间的Q10值(表2)。可以看出,全天、白天、夜间的Q10值变化范围分别为1.38~2.14、1.22~1.96、0.85~1.64,对应平均值分别为1.58±0.23、1.41±0.19、1.20±0.16。不同月份全天Q10值均高于白天和夜间,且除5月外,6—10月白天Q10值也均高于夜间,说明白天时段土壤呼吸速率对土壤温度的敏感性低于全天但高于夜间。通过定量计算发现,如果仅用白天Q10平均值代替总平均值将造成约10.8%的低估。因此,在讨论土壤温度敏感性时,使用全天连续时段观测数据计算的Q10值更准确。由表2还可知,半干旱区草地系统的Q10值从返青期(5月)开始逐渐降低,到草盛期(6—9月)下降到最低值后又逐渐升高,在植被枯黄初期(10月)达到最大值,即草地土壤呼吸的温度敏感性随着植被生长旺盛(枯黄)而减小(增大),这是由于当植物处于不同生长阶段时,昼夜土壤温差和植物根系呼吸的贡献也有所差异,从而使Q10值发生变化[30]。另外,不同月份地上植被凋落物被土壤微生物的分解程度不同,使得土壤有机质也发生了改变[31],这会对土壤微生物的呼吸产生影响,因此未来在研究生长季土壤呼吸速率的温度敏感性时,除了考虑土壤温度和土壤含水量外,还要考虑凋落物的数量与植物的生理指标等因素的影响。LI等[32]利用LI-6400型便携式碳通量仪对SACOL站2008—2010年3—10月围封草地土壤呼吸进行了测量,发现围封草地土壤呼吸Q10值的变化范围为1.27~5.76,平均值为1.75,通过对比发现本文在2020年生长季测得Q10值的全天变化范围及平均值都略低于SACOL站早期的测量结果,这可能是由测量仪器不同及不同年份之间气候差异造成的,2008—2010年测量时段土壤的水热条件、呼吸速率、降水量均高于2020年,使得Q10值也有所升高。此外,LI等[32]仅选择在生长季晴天的上午(08:00—11:00)进行测量而忽略了下午及夜间时段的结果,导致其测量的Q10值偏高。总之,Q10值对土壤水热条件、植被生长状况等因素的变化非常敏感,从而表现出较大的时间差异[33]。
表2 2020年生长季逐月不同时段Q10值
Tab.2
| 月份 | 时段 | Q10值 | R2 | P | |
|---|---|---|---|---|---|
| 5月 | 全天 | 0.06 | 1.755 | 0.81 | |
| 白天 | 0.04 | 1.439 | 0.78 | ||
| 夜间 | 0.04 | 1.526 | 0.72 | ||
| 6月 | 全天 | 0.05 | 1.593 | 0.69 | |
| 白天 | 0.03 | 1.328 | 0.59 | ||
| 夜间 | 0.02 | 1.250 | 0.39 | ||
| 7月 | 全天 | 0.03 | 1.378 | 0.38 | |
| 白天 | 0.02 | 1.220 | 0.29 | ||
| 夜间 | -0.02 | 0.849 | 0.15 | 0.17 | |
| 8月 | 全天 | 0.05 | 1.587 | 0.77 | |
| 白天 | 0.04 | 1.426 | 0.70 | ||
| 夜间 | 0.02 | 1.230 | 0.35 | ||
| 9月 | 全天 | 0.05 | 1.713 | 0.84 | |
| 白天 | 0.04 | 1.564 | 0.78 | ||
| 夜间 | 0.02 | 1.223 | 0.43 | ||
| 10月 | 全天 | 0.08 | 2.143 | 0.91 | |
| 白天 | 0.07 | 1.960 | 0.89 | ||
| 夜间 | 0.05 | 1.640 | 0.77 | ||
| 5—10月 | 全天 | 0.05 | 1.575 | 0.62 | |
| 白天 | 0.03 | 1.414 | 0.58 | ||
| 夜间 | 0.02 | 1.201 | 0.21 |
6 结论
(1)不同天气条件下土壤呼吸速率存在明显的动态日变化差异,晴天和多云天均呈“单峰型”曲线,而阴天变化不明显,其平均值和变化范围都低于晴天与多云天。
(2)整个生长季不同月份土壤呼吸速率的平均日变化也呈明显的“单峰型”曲线,表现为中午高、早晚低的规律;不同月份的土壤呼吸速率在0.71~4.40 µmol·m-2·s-1之间波动,总体趋势为8月>7月> 5月>9月>6月>10月。平均日变化的最高值通常出现在12:00或13:00,而最低值出现在05:00或 06:00,日均值接近于10:00或19:00观测值。
(3)白天和夜间土壤呼吸速率在5—6月处于较小值,从6月开始逐渐增大,8月达峰值(白天3.31±0.98 µmol·m-2·s-1、夜间1.80±0.39 µmol·m-2·s-1),9—10月始终呈下降趋势,最低值(白天1.55± 0.55 µmol·m-2·s-1、夜间0.81±0.12 µmol·m-2·s-1)出现在10月;受太阳辐射和土壤温度等因素影响,白天的呼吸速率总是高于夜间;各月份夜间土壤呼吸对土壤总呼吸的贡献约为27.2%~32.4%,因此,在生态模型的模拟中夜间的土壤呼吸不应被忽略。
(4)土壤温度、土壤含水量等单变量模型对生长季土壤呼吸作用变化的解释程度远低于考虑水热因子协同作用的多元回归模型,改进的交叉和复合模型对土壤呼吸变异的解释程度明显提高,分别为73.5%和74.0%。
(5)2020年生长季全天、白天和夜间Q10值的变化范围分别为1.38~2.14、1.22~1.96、0.85~1.64,平均值分别为1.58±0.23、1.41±0.19、1.20±0.16,即白天时段的温度敏感性低于全天,若只选择白天时段的Q10值近似代表全天的总平均值,将造成约10.8%的低估。因此,为更加准确地估计半干旱区草地土壤呼吸的温度敏感性,应对全天各时段开展长期连续的综合观测。
参考文献
Model estimates of CO2emissions from soil in response to global warming
[J].
Soil warming and organic carbon content
[J].
Precipitation pulses and soil CO2 flux in a Sonoran Desert ecosystem
[J].
Global semi-arid climate change over last 60 years
[J].
Ecosystem stability and compensatory effects in the Inner Mongolia grassland
[J].
The dominant role of semi-arid ecosystems in the trend and variability of the land CO2 sink
[J].
Study on soil respiration characteristics and carbon balance of kobresia pygmaea meadow in Qinghai-Tibet Plateau, China
[J].
An overview of the semi-arid climate and environment research observatory over the Loess Plateau
[J].
Soil surface CO2 fluxes and the carbon budget of a grassland
[J].
Modelling respiration of vegetation: evidence for a general temperature-dependence Q10
[J].
Diurnal dynamics of soil respiration and the influencing factors for three land-cover types in the hinterland of the Taklimakan Desert, China
[J].Knowledge of soil respiration and the influencing factors in desert ecosystems is essential to understanding carbon dynamics and responses of biotic and abiotic processes in soils to climate change. In this study, soil respiration rate (Rs) for three land-cover types (shifting sandy land, sandy land with straw checkerboard barriers, and shelter forest land) in the hinterland of the Taklimakan Desert was measured in May 2015 using an automated soil CO2 flux system. The effects of soil temperature (Ts) and soil water content (Ws) on Rs were also analyzed. The results showed that Rs values in shifting sandy land, sandy land with straw checkerboard barriers, and shelter forest land were all low and exhibited obvious diurnal fluctuations. The establishment of straw checkerboard barriers in sandy land had no significant effect on Rs, while the establishment of shelterbelts significantly increased Rs. Shifting sandy land and sandy land with straw checkerboard barriers were carbon sinks at night and early morning and were carbon sources in the daytime, while shelter forest land always acted as a carbon source during the whole day. The synergistic effect of Ts and Ws could better explain the diurnal dynamics in Rs than single factor. In shifting sandy land and sandy land with straw checkerboard barriers, Ws was identified as a limiting factor influencing the diurnal dynamics of Rs. Furthermore, a relatively strong hysteresis loop existed between Rs and Ts. In contrast, in shelter forest land, Rs was significantly influenced by Ts, and a relatively weaker hysteresis loop existed between Rs and Ws.
Day and night soil respiration from a grassland
[J].
Response of soil respiration and its components to experimental warming and water addition in a temperate Sitka spruce forest ecosystem
[J].
Responses of soil, heterotrophic, and autotrophic respiration to experimental open-field soil warming in a cool-temperate deciduous forest
[J].
Differential responses of carbon-degrading enzymes activities to warming: implications for soil respiration
[J].
土壤水热条件对东北森林土壤表面CO2通量的影响
[J].东北地区森林生态系统因其面积大,碳贮量高而在本地区和我国碳平衡中占有重要的地位。土壤表面CO<sub>2</sub>通量(RS)作为陆地生态系统向大气圈释放的主要CO<sub>2</sub>源,其时空变化直接影响到区域碳循环。该研究采用红外气体分析法比较测定我国东北东部次生林区6个典型的森林生态系统的RS及其相关的土壤水热因子,并深入分析土壤水热因子对RS的影响。研究结果表明:影响RS的主要环境因子是土壤温度、土壤含水量及其交互作用,但其影响程度因生态系统类型和土壤深度而异。包括这些环境因子的综合RS模型解释了 67.5%~90.6%的RS变异。在整个生长季中,不同生态系统类型的土壤温度差异不显著,而土壤湿度的差异显著(α= 0.05)。蒙古栎(Quercus mongolica)林、红松(Pinus koraiensis)林、 落叶松(Larix gmelinii)林、硬阔叶林、杂木林和杨桦(Populus davidiana_Betula platyphylla)林的RS变化范围依次为:1.89~5.23 µmol CO<sub>2</sub>•m<sup>–2</sup>•s<sup>–1</sup>,1.09~4.66µmol CO<sub>2</sub>•m<sup>–2</sup>•s<sup>–1</sup>,0.95~3.52µmol CO<sub>2</sub>•m<sup>–2</sup>•s<sup>–1</sup>,1. 13~5.97µmol CO<sub>2</sub>•m<sup>–2</sup>•s<sup>–1</sup>,1.05~6.58µmol CO<sub>2</sub>•m<sup>–2</sup>•s<sup>–1</sup>和1.11~5.76µmol CO<sub>2</sub>•m<sup>–2</sup>•s<sup>–1</sup>。RS的季节动态主要受土壤水热条件的驱动而呈现单峰曲线,其变化趋势大致与土壤温度的变化相吻合。Q<sub>10</sub>从小到大依次为:蒙古栎林2.32,落叶松林2.57,红松 林2.76,硬阔叶林2.94,杨桦林3.54和杂木林3.55。Q<sub>10</sub>随土壤湿度的升高而增大;但超过 一定的阈值后,土壤湿度对Q<sub>10</sub>起抑制作用。该研究结果强调对该地区生态系统 土壤表面CO<sub>2</sub>通量的估测应同时考虑土壤水热条件的综合效应。
Contribution of root respiration to total soil respiration in a semi-arid grassland on the Loess Plateau
[J].
/
| 〈 |
|
〉 |
