Journal of Arid Meteorology ›› 2026, Vol. 44 ›› Issue (1): 149-158.DOI: 10.11755/j.issn.1006-7639-2026-01-0149
• Technical Reports • Previous Articles Next Articles
WANG Qian1(
), LI Jing1(
), ZHANG Qingmei1, LI Jinhai2, ZHAXI Cairang1, QI Wanpeng1
Received:2025-01-22
Revised:2025-04-22
Online:2026-02-28
Published:2026-03-25
王倩1(
), 李静1(
), 张青梅1, 李金海2, 扎西才让1, 祁万鹏1
通讯作者:
李静
作者简介:王倩(1993—),女,青海西宁人,硕士,工程师,主要从事天气预报技术研发与应用。E-mail:349100776@qq.com。
基金资助:CLC Number:
WANG Qian, LI Jing, ZHANG Qingmei, LI Jinhai, ZHAXI Cairang, QI Wanpeng. Application and analysis of multi-model synamic fusion correction method in heavy to rainstorm forecast in Qinghai Province[J]. Journal of Arid Meteorology, 2026, 44(1): 149-158.
王倩, 李静, 张青梅, 李金海, 扎西才让, 祁万鹏. 多模式动态融合订正方法在青海省大到暴雨预报中的应用与分析[J]. 干旱气象, 2026, 44(1): 149-158.
Add to citation manager EndNote|Ris|BibTeX
URL: http://www.ghqx.org.cn/EN/10.11755/j.issn.1006-7639-2026-01-0149
Fig.2 Comprehensive verification results of 3-hourly and 24-hour accumulated precipitation forecasts at 24-hour lead time from multiple products in Qinghai Province from July to September 2023
| 百分位数 | 观测降水量/mm | 不同预报产品/mm | |||||
|---|---|---|---|---|---|---|---|
| CMA-BJ | SCMOC | CMA-SH9 | QM-BJ | QM-SCMOC | QM-SH9 | ||
| 20 | 0 | 0 | 0 | 0 | 0 | 0 | 0 |
| 40 | 0 | 0.1 | 0 | 0 | 0 | 0 | 0 |
| 50 | 0 | 0.3 | 0.5 | 0.4 | 0 | 0 | 0 |
| 55 | 0.1 | 0.6 | 0.9 | 0.8 | 0 | 0 | 0 |
| 60 | 0.3 | 1.0 | 1.3 | 1.5 | 0.1 | 0 | 0.1 |
| 65 | 0.6 | 1.5 | 1.8 | 2.6 | 0.4 | 0.2 | 0.4 |
| 70 | 1.2 | 2.1 | 2.3 | 4.0 | 1.0 | 0.7 | 1.0 |
| 75 | 2.1 | 3.0 | 3.0 | 5.7 | 1.8 | 1.4 | 2.0 |
| 80 | 3.3 | 4.1 | 3.8 | 8.0 | 3.2 | 2.7 | 3.4 |
| 85 | 5.0 | 5.7 | 4.0 | 10.8 | 5.4 | 4.7 | 5.5 |
| 90 | 7.2 | 8.0 | 6.7 | 14.8 | 8.7 | 8.0 | 8.8 |
| 95 | 11.5 | 12.4 | 11.6 | 21.0 | 15.3 | 14.6 | 15.1 |
| 99 | 22.7 | 23.6 | 20.8 | 34.6 | 32.9 | 33.1 | 32.6 |
| 99.5 | 29.1 | 29.3 | 26.6 | 40.0 | 43.2 | 43.4 | 41.2 |
| 99.9 | 44.0 | 42.8 | 35.7 | 51.7 | 77.6 | 78.5 | 64.8 |
| 99.99 | 69.2 | 65.8 | 48.0 | 67.5 | 142.1 | 139.6 | 102.9 |
| 99.999 | 89.7 | 90.9 | 54.2 | 81.4 | 162.2 | 151.8 | 135.2 |
| 100 | 96.2 | 114.9 | 57.1 | 103.3 | 200.1 | 171.5 | 149.0 |
Tab.1 The percentiles of daily precipitation from observations and multiple forecast products before and after correction in Qinghai Province from July to September 2023
| 百分位数 | 观测降水量/mm | 不同预报产品/mm | |||||
|---|---|---|---|---|---|---|---|
| CMA-BJ | SCMOC | CMA-SH9 | QM-BJ | QM-SCMOC | QM-SH9 | ||
| 20 | 0 | 0 | 0 | 0 | 0 | 0 | 0 |
| 40 | 0 | 0.1 | 0 | 0 | 0 | 0 | 0 |
| 50 | 0 | 0.3 | 0.5 | 0.4 | 0 | 0 | 0 |
| 55 | 0.1 | 0.6 | 0.9 | 0.8 | 0 | 0 | 0 |
| 60 | 0.3 | 1.0 | 1.3 | 1.5 | 0.1 | 0 | 0.1 |
| 65 | 0.6 | 1.5 | 1.8 | 2.6 | 0.4 | 0.2 | 0.4 |
| 70 | 1.2 | 2.1 | 2.3 | 4.0 | 1.0 | 0.7 | 1.0 |
| 75 | 2.1 | 3.0 | 3.0 | 5.7 | 1.8 | 1.4 | 2.0 |
| 80 | 3.3 | 4.1 | 3.8 | 8.0 | 3.2 | 2.7 | 3.4 |
| 85 | 5.0 | 5.7 | 4.0 | 10.8 | 5.4 | 4.7 | 5.5 |
| 90 | 7.2 | 8.0 | 6.7 | 14.8 | 8.7 | 8.0 | 8.8 |
| 95 | 11.5 | 12.4 | 11.6 | 21.0 | 15.3 | 14.6 | 15.1 |
| 99 | 22.7 | 23.6 | 20.8 | 34.6 | 32.9 | 33.1 | 32.6 |
| 99.5 | 29.1 | 29.3 | 26.6 | 40.0 | 43.2 | 43.4 | 41.2 |
| 99.9 | 44.0 | 42.8 | 35.7 | 51.7 | 77.6 | 78.5 | 64.8 |
| 99.99 | 69.2 | 65.8 | 48.0 | 67.5 | 142.1 | 139.6 | 102.9 |
| 99.999 | 89.7 | 90.9 | 54.2 | 81.4 | 162.2 | 151.8 | 135.2 |
| 100 | 96.2 | 114.9 | 57.1 | 103.3 | 200.1 | 171.5 | 149.0 |
Fig.3 The cumulative probability distribution curves of daily precipitation from observations and multiple forecast products before and after correction in Qinghai Province from July to September 2023
Fig.4 Verification of 3-hourly and 24-hour cumulative precipitation forecasts at 24-hour lead time before and after correction for multiple forecast products in Qinghai Province from July to September 2023
Fig.5 Trends of standardized weight coefficients for 3-hourly forecasts from three preferred models with dynamic fusion at 08:00 (a) and 20:00 (b) in Qinghai Province from July to September 2023
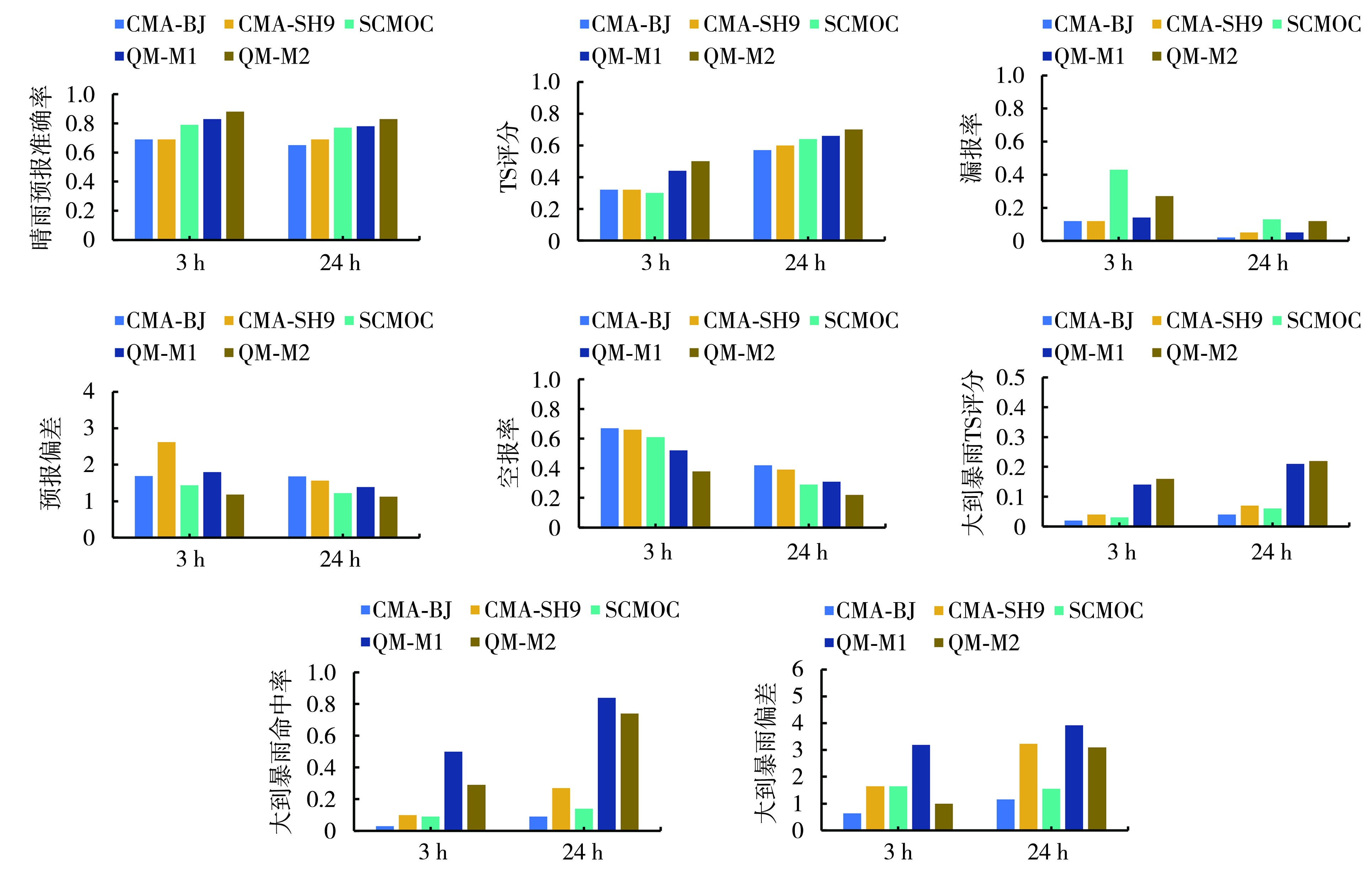
Fig.6 Comprehensive verification of 3-hourly and 24-hour cumulative precipitation forecasts at 24-hour lead time from multiple forecast products in Qinghai Province from July to September 2023
| 预报间隔/h | 检验指标 | CMA-BJ | CMA-SH9 | SCMOC | QH-M1 | QH-M2 | QH-SPCC |
|---|---|---|---|---|---|---|---|
| 3 | PC | 0.63 | 0.66 | 0.57 | 0.71 | 0.80 | 0.58 |
| TS | 0.56 | 0.58 | 0.53 | 0.62 | 0.69 | 0.53 | |
| PO | 0.03 | 0.02 | 0.02 | 0.02 | 0.08 | 0.03 | |
| FAR | 0.43 | 0.41 | 0.47 | 0.37 | 0.27 | 0.46 | |
| BIAS | 1.71 | 1.67 | 1.83 | 1.55 | 1.25 | 1.79 | |
| TS(≥10 mm) | 0.13 | 0.14 | 0.15 | 0.30 | 0.17 | 0.20 | |
| BIAS(≥10 mm) | 0.47 | 0.81 | 0.45 | 2.93 | 0.38 | 2.50 | |
| POD(≥10 mm) | 0.17 | 0.22 | 0.19 | 0.90 | 0.22 | 0.59 | |
| 24 | PC | 0.89 | 0.89 | 0.90 | 0.90 | 0.92 | 0.89 |
| TS | 0.89 | 0.89 | 0.90 | 0.90 | 0.91 | 0.89 | |
| PO | 0.001 | 0.001 | 0.003 | 0.001 | 0.01 | 0.002 | |
| FAR | 0.11 | 0.11 | 0.10 | 0.10 | 0.08 | 0.11 | |
| BIAS | 1.12 | 1.12 | 1.11 | 1.11 | 1.07 | 1.12 | |
| TS(≥25 mm) | 0.26 | 0.31 | 0.31 | 0.28 | 0.37 | 0.23 | |
| BIAS(≥25 mm) | 0.81 | 1.52 | 1.61 | 3.56 | 2.36 | 3.94 | |
| POD(≥25 mm) | 0.38 | 0.63 | 0.73 | 0.99 | 0.93 | 0.93 |
Tab.2 Comprehensive verification of 3-hourly and 24-hour cumulative precipitation forecasts at 24-hour lead time from multiple forecast products from 08:00 on 3 to 08:00 on 5 September 2024 in Qinghai Province
| 预报间隔/h | 检验指标 | CMA-BJ | CMA-SH9 | SCMOC | QH-M1 | QH-M2 | QH-SPCC |
|---|---|---|---|---|---|---|---|
| 3 | PC | 0.63 | 0.66 | 0.57 | 0.71 | 0.80 | 0.58 |
| TS | 0.56 | 0.58 | 0.53 | 0.62 | 0.69 | 0.53 | |
| PO | 0.03 | 0.02 | 0.02 | 0.02 | 0.08 | 0.03 | |
| FAR | 0.43 | 0.41 | 0.47 | 0.37 | 0.27 | 0.46 | |
| BIAS | 1.71 | 1.67 | 1.83 | 1.55 | 1.25 | 1.79 | |
| TS(≥10 mm) | 0.13 | 0.14 | 0.15 | 0.30 | 0.17 | 0.20 | |
| BIAS(≥10 mm) | 0.47 | 0.81 | 0.45 | 2.93 | 0.38 | 2.50 | |
| POD(≥10 mm) | 0.17 | 0.22 | 0.19 | 0.90 | 0.22 | 0.59 | |
| 24 | PC | 0.89 | 0.89 | 0.90 | 0.90 | 0.92 | 0.89 |
| TS | 0.89 | 0.89 | 0.90 | 0.90 | 0.91 | 0.89 | |
| PO | 0.001 | 0.001 | 0.003 | 0.001 | 0.01 | 0.002 | |
| FAR | 0.11 | 0.11 | 0.10 | 0.10 | 0.08 | 0.11 | |
| BIAS | 1.12 | 1.12 | 1.11 | 1.11 | 1.07 | 1.12 | |
| TS(≥25 mm) | 0.26 | 0.31 | 0.31 | 0.28 | 0.37 | 0.23 | |
| BIAS(≥25 mm) | 0.81 | 1.52 | 1.61 | 3.56 | 2.36 | 3.94 | |
| POD(≥25 mm) | 0.38 | 0.63 | 0.73 | 0.99 | 0.93 | 0.93 |
Fig.7 Distribution of accumulated precipitation from observations and multiple forecast products over eastern Qinghai Province from 08:00 on 3 September to 08:00 on 5 September 2024 (Unit: mm)
| [1] | 曹萍萍, 肖递祥, 龙柯吉, 等, 2023a. 基于分位数映射法的四川省ECMWF模式降水预报误差订正分析[J]. 干旱气象, 41(4): 666-675 |
| [2] | 曹萍萍, 杨康权, 肖递祥, 等, 2023b. 2022年汛期四川多模式降水预报检验[J]. 高原山地气象研究, 43(2):28-35. |
| [3] | 曹勇, 张恒德, 郭云谦, 等, 2022. 基于多模式预报优选融合技术的短时定量降水预报[J]. 河海大学学报:自然科学版, 50(5):10-15. |
| [4] | 陈锦鹏, 冯业荣, 蒙伟光, 等, 2021. 基于卷积神经网络的逐时降水预报订正方法研究[J]. 气象, 47(1):60-70. |
| [5] |
陈晓燕, 孔祥伟, 彭筱, 等, 2022. 全球和区域数值模式在甘肃2020年汛期降水预报中的检验评估[J]. 干旱气象, 40(3):524-535.
DOI |
| [6] | 狄靖月, 赵琳娜, 张国平, 等, 2013. 降水集合预报集成方法研究[J]. 气象, 39(6): 691-698. |
| [7] | 吉璐莹, 智协飞, 季焱, 等, 2025. 基于多模式集成的降水空间结构预报改进研究[J]. 大气科学, 49(1): 257-278. |
| [8] |
焦洋, 郑丽娜, 张永婧, 等, 2024. 两种降水客观统计方法对ECMWF集合平均降水预报的订正研究[J]. 干旱气象, 42(2): 293-304
DOI |
| [9] |
雷华锦, 马佳培, 李弘毅, 等, 2020. 基于分位数映射法的黑河上游气候模式降水误差订正[J]. 高原气象, 39(2):266-279.
DOI |
| [10] | 林春泽, 祁海霞, 智协飞, 等, 2013. 中国夏季降水多模式集成概率预报研究[J]. 暴雨灾害, 32(4):354-359. |
| [11] |
刘娜, 黄武斌, 杨建才, 等, 2022. 基于SCTP-RF算法的甘肃省短期定量降水客观预报方法研究[J]. 干旱气象, 40(1): 146-155.
DOI |
| [12] |
龙柯吉, 杨康权, 康岚, 2024. 多模式对四川盆地强降水过程的预报性能检验[J]. 干旱气象, 42(3): 473-483.
DOI |
| [13] | 罗聪, 张华龙, 曾沁, 等, 2021. 多模式融合的广东网格定量降水预报方法的研发与评估[J]. 气象, 47(5):539-549. |
| [14] | 青海省气象局, 2022. 短时临近降雨强度等级划分:DB63/T 2048—2022[S]. |
| [15] | 沈洁, 王镜, 李忠亮, 等, 2023. 2016—2020年青海省区域性大到暴雨分布特征及预报指标检验[J]. 农业灾害研究, 13(12): 188-191. |
| [16] | 唐健, 代刊, 宗志平, 等, 2018. 主客观融合定量降水预报方法及平台实现[J]. 气象, 44(8):1 020-1 032. |
| [17] |
田笑, 余文韬, 从靖, 等, 2022. 统计降尺度方法在天津小时降水和气温精细化预报中的应用[J]. 干旱气象, 40(1): 135-145.
DOI |
| [18] | 王丽芳, 漆梁波, 周伟, 等, 2021. 频率匹配技术在暴雨预报中的应用及改进分析[J]. 暴雨灾害, 40(4):352-361. |
| [19] |
王叶红, 赵玉春, 2023. GRAPES-REPS对我国南方2017年初夏持续性降水预报的检验评估[J]. 干旱气象, 41(2): 328-340.
DOI |
| [20] | 危国飞, 刘会军, 吴启树, 等, 2020. 多模式降水分级最优化权重集成预报技术[J]. 应用气象学报, 31(6): 668-680. |
| [21] | 吴启树, 韩美, 刘铭, 等, 2017. 基于评分最优化的模式降水预报订正算法对比[J]. 应用气象学报, 28(3):306-317. |
| [22] | 肖丹, 胡超, 陈宁, 等, 2023. 基于频率匹配法和最优TS评分法的降水预报订正效果对比[J]. 气象与减灾研究, 46(4):287-295. |
| [23] | 许晶, 程丛兰, 宋林烨, 等, 2025. 鄂尔多斯高分辨率降水融合预报模型及检验分析[J]. 沙漠与绿洲气象, 19(6):149-157. |
| [24] |
闫慧, 赵桂香, 董春卿, 等, 2017. 集合预报方法在山西暴雨预报中的应用试验[J]. 干旱气象, 35(2):321-329.
DOI |
| [25] | 张娇, 王东勇, 郑淋淋, 等, 2021. ECMWF模式强降水预报偏差订正方法研究及应用[J]. 暴雨灾害, 40(4): 430-436. |
| [26] | 智协飞, 赵忱, 2020. 基于集合成员订正的强降水多模式集成预报[J]. 应用气象学报, 31(3):303-314. |
| [27] | 朱科旭, 管琴, 白爱娟, 2024. 青海省洪涝灾害时空分布和致灾雨量特征[J]. 沙漠与绿洲气象, 18(1):81-88. |
| [28] |
朱文刚, 盛春岩, 范苏丹, 等, 2024. 基于前馈神经网络的多模式集成降水预报研究[J]. 干旱气象, 42(1): 117-128.
DOI |
| [29] |
GUDMUNDSSON L, BREMNES J B, HAUGEN J E, et al, 2012. Technical note: Downscaling RCM precipitation to the station scale using statistical transformations-a comparison of methods[J]. Hydrology and Earth System Sciences, 16(9):3 383-3 390.
DOI URL |
| [30] | LIU Q, LOU X, YAN Z W, et al, 2023. Deep-learning post-processing of short-term station precipitation based on NWP forecasts[J]. Atmospheric Research, 295, 107032. DOI:10.1016/j.atmosres.2023.107032. |
| [31] |
WANG Y, DAI K, ZONG Z, et al, 2021. Quantitative precipitation forecasting using multi-model blending with supplemental grid points: Experiments and prospects in China[J]. Journal of Meteorological Research, 35(3):521-536.
DOI |
| [32] | ZHAO J, LIU Y, XU J C, et al, 2023. Multi-source precipitation data fusion analysis and application based on Bayesian-Three Cornered Hat method[J]. Advances in Water Science, 34(5): 685-696. |
| [1] | CAO Pingping, XIAO Dixiang, LONG Keji, WANG Jiajin, YANG Kangquan. Deviation correction of precipitation forecast by ECMWF model based on quantile mapping method in Sichuan Province [J]. Journal of Arid Meteorology, 2023, 41(4): 666-675. |
| [2] | ZHANG Pengliang, ZHU Shizhen, GONG Jing, ZHAO Bingyu, WANG Bin, ZHANG Boyue, HOU Yonghui. Research on temporal and spatial distribution of cloud macro and micro characteristic parameters in Qinghai Province based on FY-2G data [J]. Journal of Arid Meteorology, 2022, 40(4): 624-636. |
| [3] | SHEN Xiaoyan, SHEN Yanling, QUAN Chen, DU Huali, YAN Yuqian. Verification and comparison of different methods to prediction performance of model products during the heavy precipitations in 2020 in Qinghai Province [J]. Journal of Arid Meteorology, 2022, 40(2): 333-343. |
| [4] | LI Wanzhi, ZHANG Tiaofeng, MA Youxuan, FENG Xiaoli, YU Di, CHEN Jiqing. Drought Disaster Risk Regionalization in Qinghai Province Based on Disaster Risk Factors [J]. Journal of Arid Meteorology, 2021, 39(3): 480-485. |
| [5] | LI Wenhui, LIU Xin, WU Rang, ZHONG Yuanlong, MAI Yongrui, WANG Jun, HAN Binghong. Comprehensive risk regionalization of lightning disaster over Qinghai Province from 2010 to 2019 [J]. Journal of Arid Meteorology, 2021, 39(06): 1017-1024. |
| [6] | QI Donglin1,2, ZHAO Quanning1, ZHAO Huifang1, HAN Tingfang3, SU Wenjiang1. Temporal and Spatial Variation Characteristics and Regional Differences of Dust Fall in Qinghai from 2004 to 2017 [J]. Journal of Arid Meteorology, 2018, 36(6): 927-. |
| [7] | ZHOU Wanfu, TIAN Jianbing,KANG Xiaoyan, ZHANG Boyue, YAN Haiqian. Characteristics of Retrieved Cloud Parameters During Precipitation Processes with Different Types in Spring in Eastern Qinghai Province Based on FY-2 Satellite Data [J]. Journal of Arid Meteorology, 2018, 36(3): 431-. |
| [8] | PEI Shaoyang, ZHOU Dan, BAO Guangyu, SHEN Yanling. Spatial and Temporal Variation Characteristics of Highway Visibility in Qinghai Province and Its Influencing Factors [J]. Journal of Arid Meteorology, 2017, 35(6): 1004-1010. |
| [9] | QI Donglin,XIAO Hongbin,LI Xiaodong,ZHOU Wanfu,SU Wenjiang,HU Aijun. Variation Characteristics of Pan Evaporation in Different Ecological Function Areas of Qinghai Province During 1964-2013 [J]. Journal of Arid Meteorology, 2016, 34(2): 234-242. |
| Viewed | ||||||
|
Full text |
|
|||||
|
Abstract |
|
|||||
©2018 Journal of Arid Meteorology
Tel: 0931-2402270、0931-2402775 Email:ghqx@iamcma.cn、ghs_ghqx@sina.com