干旱气象 ›› 2025, Vol. 43 ›› Issue (5): 820-829.DOI: 10.11755/j.issn.1006-7639-2025-05-0820

• 研究论文 • 上一篇    

甘肃康县气候康养资源特征评估

鲍丽丽1,2(), 程鹏1(), 尹春1, 张熙1, 赵文婧1, 郭艺婷1, 李晓琴1, 张玥1   

  1. 1.甘肃省气象服务中心,甘肃 兰州 730020
    2.中国气象局水文气象重点开放实验室,北京 100081
  • 收稿日期:2024-11-28 修回日期:2025-07-09 出版日期:2025-10-31 发布日期:2025-11-09
  • 通讯作者: 程鹏(1981—),男,甘肃临泽人,正高级工程师,主要从事应用气象学与人工影响天气研究。E-mail: tfreefish@163.com
  • 作者简介:鲍丽丽(1995—),女,甘肃定西人,硕士,工程师,主要从事专业气象预报服务工作。E-mail: 2936335249@qq.com
  • 基金资助:
    甘肃省联合科研基金项目(25JRRA1118);中国气象局水文气象重点开放实验室开放研究课题(24SWQXZ037);甘肃省青年科技基金项目(23JRRA1326);甘肃省气象局气象科研项目(Ms2025-B-5)

Assessment of characteristics of climate-based wellness resources in Kangxian County

BAO Lili1,2(), CHENG Peng1(), YIN Chun1, ZHANG Xi1, ZHAO Wenjing1, GUO Yiting1, LI Xiaoqin1, ZHANG Yue1   

  1. 1. Meteorological Service Center of Gansu Province, Lanzhou 730020, China
    2. China Meteorological Administration Hydro-Meteorology Key Laboratory, Beijing 100081, China
  • Received:2024-11-28 Revised:2025-07-09 Online:2025-10-31 Published:2025-11-09

摘要:

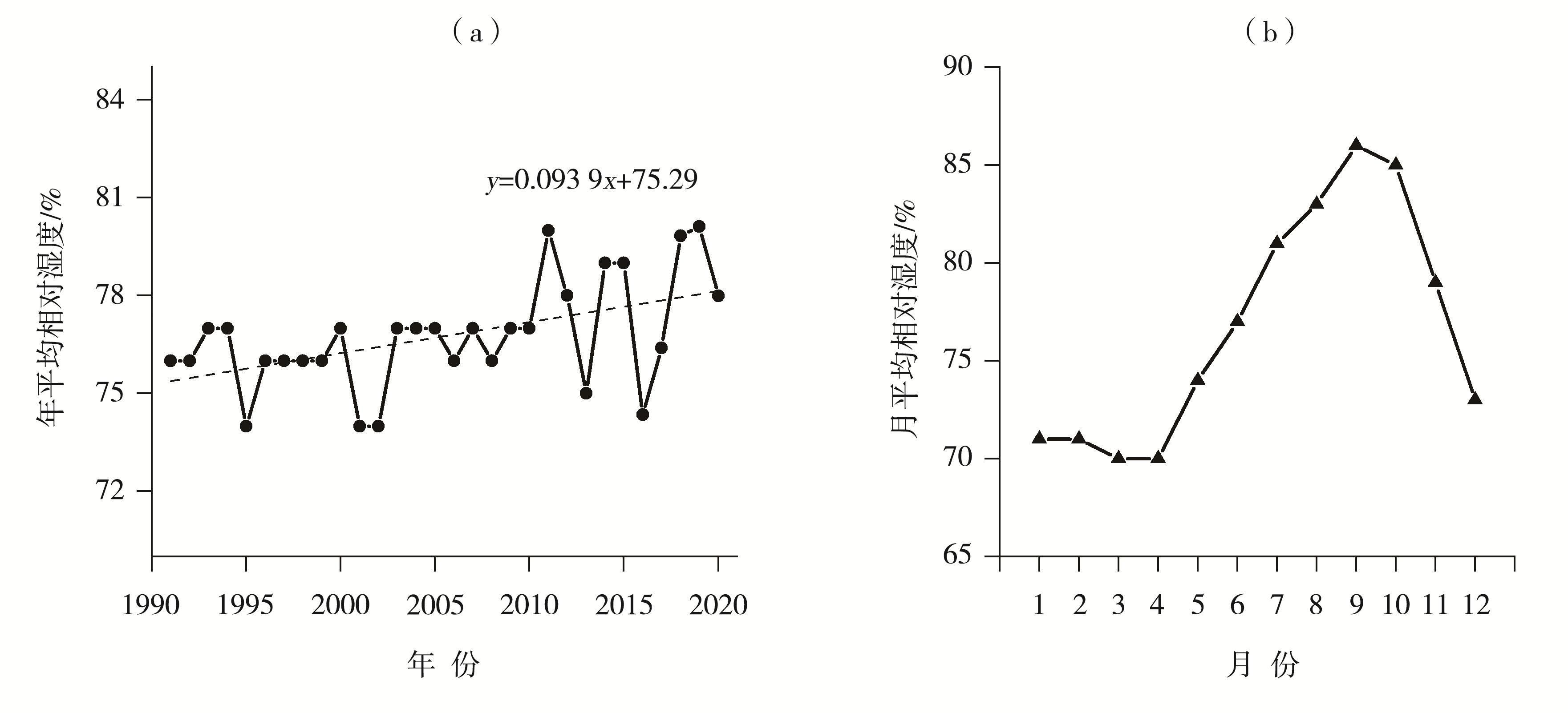
为推进甘肃康县气候生态资源的开发和利用,本文以1991—2020年气象资料为核心,结合森林资源、水质情况、空气环境质量等数据,从生态环境特色资源与气候资源两方面来评价康县气候康养资源禀赋。结果表明:康县全域年平均负(氧)离子数浓度为3 338个·cm-3,达到负(氧)离子浓度空气清新标准,对人体健康极为有利,康县空气质量良好,空气优良天数占全年比例为99.2%。康县雨量充沛,温度和湿度适宜,夏季高温日数极少,另外,温度、降水量、相对湿度的年际变化均呈波动缓慢上升趋势,平均气温、平均最高气温和平均最低气温的上升速率分别为0.16、0.32、0.27 ℃·(10 a)-1,降水量上升幅度约为78.2 mm·(10 a)-1,相对湿度增加幅度约为0.9%·(10 a)-1。康县与相邻县(区)相比,降水量最丰沛,干燥度值最小,平均气温、平均最高气温和平均最低气温均为最低,平均相对湿度最大,且灾害性天气较少,气候舒适期长达9个月,与国内部分旅游城市相比气候康养条件具有明显优势,具备“夏令避暑、富氧康养、湿润滋养、度假休养、游赏乐养”等养生气候特征。

关键词: 生态资源, 环境质量, 气候舒适度, 气候康养禀赋

Abstract:

In order to promote the development and utilization of ecological climate resources in Kangxian County, meteorological data from 1991 to 2020, as well as data about forest resources, water quality and air environment quality were used to evaluate the ecological climate resources in Kangxian County from two aspects: ecological environment characteristic resources and climate resources. The results are as follows: The average annual negative (oxygen) ion number concentration was 3 338 per cubic centimeter in Kangxian County, which met the air freshness standard for negative (oxygen) ion concentration and was extremely beneficial to human health. The air quality in Kangxian County was excellent, and the number of days with good air accounted for 99.2% of the whole year. Kangxian County had abundant rainfall, suitable temperature and humidity, and very few hot days in summer. In addition, the inter-annual variations of temperature, precipitation, and relative humidity showed a gradual upward trend. The increasing rates of average temperature, average maximum temperature and average minimum temperature were 0.16, 0.32 and 0.27 ℃ per decade, respectively. The increase in precipitation was approximately 78.2 mm per decade, and the increase in relative humidity was approximately 0.9% per decade. Compared with neighboring counties (districts), Kangxian County has the most abundant precipitation, the lowest dryness value, the lowest average temperature, average maximum temperature, and average minimum temperature, the highest average relative humidity, and fewer incidents of severe weather. The climate comfort period lasted up to 9 months. Compared with some tourist cities in China, Kangxian County has obvious advantages in terms of climate and wellness conditions, such as summer retreat, oxygen rich health care, moist nourishment, vacation and rest, and sightseeing and leisure.

Key words: ecological resources, environmental quality, climatic comfortability, climate-based wellness resources

中图分类号: