干旱气象 ›› 2023, Vol. 41 ›› Issue (3): 413-422.DOI: 10.11755/j.issn.1006-7639(2023)-03-0413

• 论文 • 上一篇    下一篇

2014—2020年关中地区近地面臭氧污染特征及气象条件分析

黄蕾1,3(), 王丽1,3, 杜萌萌1,3(), 刘慧2, 金丽娜1   

  1. 1.陕西省西安市气象局,陕西 西安 710016
    2.陕西省气象台,陕西 西安 710014
    3.秦岭和黄土高原生态环境气象重点实验室,陕西 西安 710016
  • 收稿日期:2022-04-19 修回日期:2022-10-25 出版日期:2023-06-30 发布日期:2023-07-02
  • 通讯作者: 杜萌萌
  • 作者简介:黄蕾(1991—),女,甘肃天水人,工程师,主要从事大气环境及数值模拟研究。E-mail:313695096@qq.com
  • 基金资助:
    陕西省气象局秦岭和黄土高原生态环境气象重点实验室开放研究基金课题(2022G-27)

Characteristics of near-ground ozone pollution and relationships with meteorological conditions in Guanzhong region from 2014 to 2020

HUANG Lei1,3(), WANG Li1,3, DU Mengmeng1,3(), LIU Hui2, JIN Lina1   

  1. 1. Xi’an Meteorological Bureau of Shaanxi Province, Xi’an 710016, China
    2. Shaanxi Provincial Meteorological Observatory, Xi’an 710014, China
    3. Key Laboratory of Eco-Environment and Meteorology for the Qinling Mountains and Loess Plateau, Xi’an 710016, China
  • Received:2022-04-19 Revised:2022-10-25 Online:2023-06-30 Published:2023-07-02
  • Contact: DU Mengmeng

摘要:

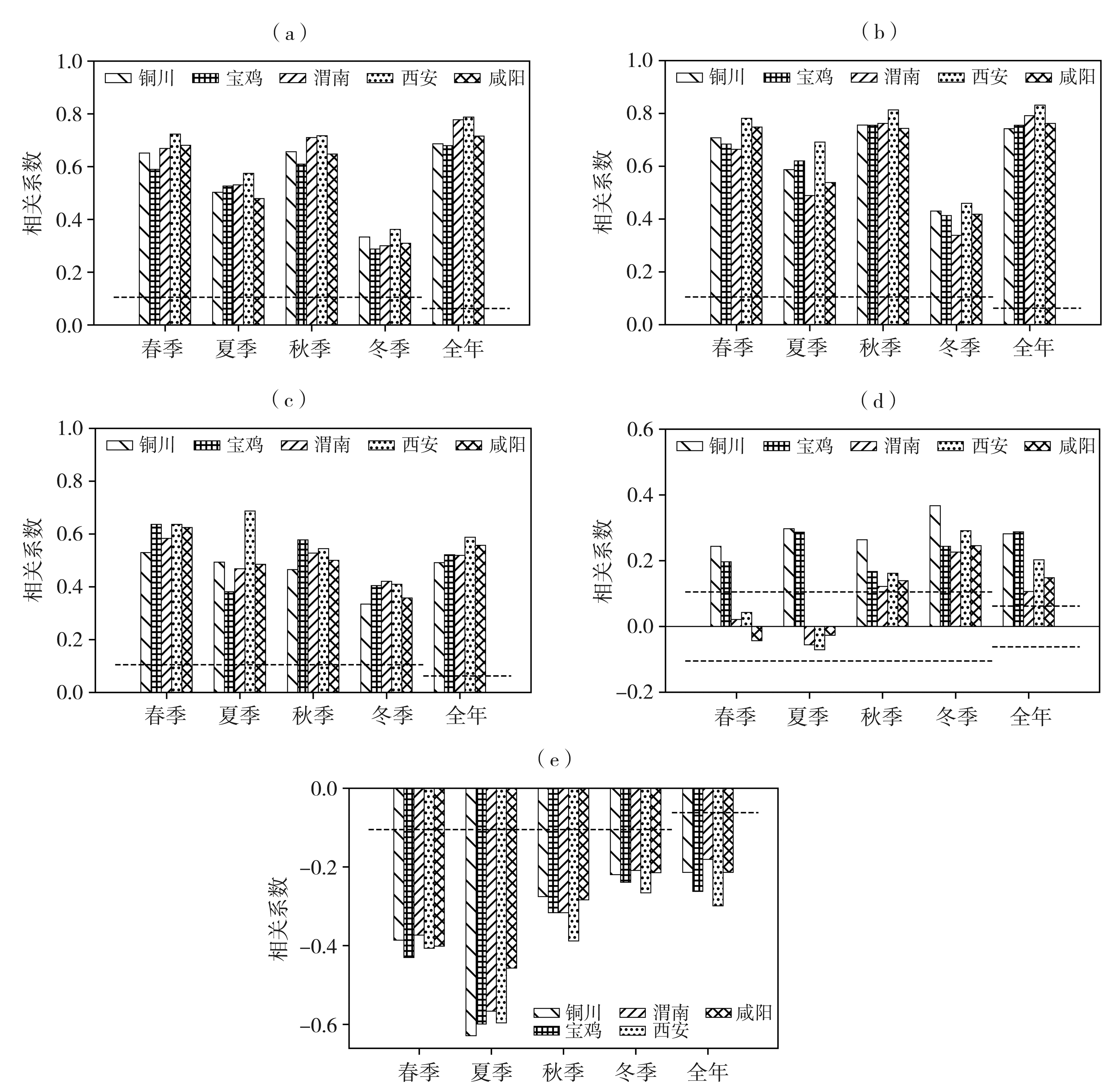
关中作为西北地区最重要的城市群落,近年来O3污染逐渐成为影响当地空气质量的突出问题,探究其变化特征和影响因素对该地区大气环境治理有重要意义。基于2014—2020年关中地区5地市国控环境监测站O3质量浓度逐小时观测资料和国家气象站地面气象要素逐小时观测资料,对比分析关中地区近地面O3污染特征及其气象影响因素。结果表明:(1)近7 a来,O3已逐渐取代PM10成为关中地区仅次于PM2.5的大气首要污染物,以O3为首要污染物的天数占比总体呈波动增加态势。(2)关中地区O3质量浓度呈典型的单峰型月际、日变化,夏季(6—8月)浓度较高,且浓度值自西安、咸阳、渭南、铜川、宝鸡依次减小;07:00—08:00为谷值,15:00—16:00为峰值。(3)当最高气温大于36 ℃、相对湿度为45%~70%、平均风速为2~3 m·s-1时,关中地区O3易超标,且最高气温越高,O3超标率越大;西安、铜川、咸阳、渭南O3污染的有利风向为东北风(NE),而宝鸡则为东南风(SE)或西北风(NW)。(4)源自河南中西部的偏东路径是影响西安夏季O3质量浓度最主要的传输路径,除本省相邻城市影响外,河南中西部、山西南部运城及湖北北部也是西安O3污染主要的潜在贡献源区。

关键词: 臭氧污染, 时空变化, 气象条件, 潜在源, 关中地区

Abstract:

As the most important urban agglomeration in Northwestern China, the ozone pollution in Guanzhong region has gradually become a prominent problem affecting local air quality in recent years. It is of great significance to explore its spatio-temporal variation characteristics and influencing factors for the atmospheric environment management in this region. Based on hourly mass concentration data of ozone from state-controlled environmental monitoring stations and hourly meteorological data from national meteorological stations in five cities of Guanzhong region from 2014 to 2020, the characteristics of near-ground ozone pollution and its meteorological influencing factors were analyzed comparatively. The results are as follows: (1) The ozone had gradually replaced PM10 as the primary air pollutant after PM2.5 in Guanzhong region in recent 7 years, and the proportion of days with ozone as the primary pollutant had a fluctuant increasing trend in the whole. (2) The monthly distributions of ozone mass concentration in five cities of Guanzhong region appeared a typical single-peak pattern, the ozone mass concentration was higher in summer (from June to August), and the value of concentration in Xi’an, Xianyang, Weinan, Tongchuan and Baoji decreased in order. The diurnal variations of ozone mass concentration also showed a single-peak pattern, with the trough from 07:00 to 08:00 and the peak from 15:00 to 16:00 in five cities of Guanzhong region. (3) When the maximum temperature is higher than 36 ℃, relative humidity is between 45% and 70% and the average wind speed is between 2 and 3 m·s-1, the ozone is easy to exceed the standard in Guanzhong region, and the higher maximum temperature is, the greater exceeding standard rate of ozone is. The favorable wind direction to ozone pollution in Xi’an, Tongchuan, Xianyang and Weinan is NE, while that in Baoji is SE or NW. (4) The easterly route from the central and western parts of Henan Province is the most important transport route affecting ozone concentration in summer in Xi’an City. Except for neighbour cities of Shaanxi Province, the central and western Henan Province, Yuncheng of Shanxi Province and the northern Hubei Province are also major potential sources of O3 pollution in Xi’an City.

Key words: ozone pollution, spatio-temporal change, meteorological conditions, potential sources, Guanzhong region

中图分类号: