贵州梵净山汛期降水日变化特征
Diurnal variation of precipitation in flood season in Fanjing Mountain in Guizhou
通讯作者: 谢清霞(1980—),女,高级工程师,主要从事中短期天气预报和研究。E-mail:66506485@qq.com。
责任编辑: 王涓力;校对:邓祖琴
收稿日期: 2025-03-28 修回日期: 2025-06-18
| 基金资助: |
|
Received: 2025-03-28 Revised: 2025-06-18
作者简介 About authors
陈桂峰(1998—),男,助理工程师,主要从事短临天气预报研究。E-mail: 739072153@qq.com。
为加深对山地复杂地形区的降水规律认识,利用贵州梵净山东侧不同海拔高度的3个气象观测站2022—2023年汛期5—10月逐小时降水资料,分析山脚、山腰和山顶站降水日变化特征。结果表明:夜间至早晨降水量和降水强度随海拔升高而增大,午后至傍晚两者随海拔升高而减小;山脚站和山腰站降水量大值时段出现于午后到傍晚,山顶站则集中于凌晨到早晨;3站降水量主要来源于持续2~18 h的降水事件,山顶站持续8 h以内的降水事件其降水量均表现为夜间大于白天,山脚站和山腰站这一特征仅体现在持续3 h以内的降水事件中;降水高发时段随海拔升高呈现系统性推迟,从山脚站的夜间至上午,经山腰站的夜间到中午,过渡到山顶站的中午到凌晨,表现出“从上午到中午向凌晨传播”的趋势。短历时强降水(降水量≥25 mm)多出现在早晨且降水频次最多,长历时降水的降水量占比最大。
关键词:
To deepen the understanding of precipitation patterns in complex mountainous terrain, hourly precipitation data from three meteorological observation stations at different altitudes on the eastern side of the Fanjing Mountain in Guizhou Province in the flood season from May to October during 2022-2023 were used to analyze the diurnal variation characteristics of precipitation at the foot, mid-slope and summit stations. The results show that the amount and intensity of precipitation from night to morning increase with increasing altitude, while both decrease with increasing altitude from afternoon to evening. The periods with the large precipitation amount at stations on the foot and middle of the mountain occur from the late afternoon to evening, while at the summit station it concentrates from the early morning to morning. The precipitation at three stations mainly originates from rainfall events lasting from 2 to 18 hours. At the summit station, the precipitation amount during rainfall events lasting less than 8 hours is greater at night than during the day, while at the foot and mid-mountain stations, this characteristic is only observed in rainfall events lasting less than 3 hours.The peak period of precipitation shows a systematic delay with altitude increasing. From the night to the morning at the station at the foot of the mountain, then from the night to the noon at the station on the middle of the mountain, and finally transitioning from the noon to the early morning at the top station of the mountain, it exhibits a trend of “spreading from the morning to the noon and then to the early morning”. Short duration heavy precipitation (with precipitation amount greater than or equal to 25 mm) mostly occurs in the morning and has the highest frequency, while long duration precipitation has the highest proportion of precipitation amount.
Keywords:
本文引用格式
陈桂峰, 张驰, 乔琪, 谢清霞, 邓苏, 白琴琴.
CHEN Guifeng, ZHANG Chi, QIAO Qi, XIE Qingxia, DENG Su, BAI Qinqin.
0 引言
梵净山是云贵高原向湘西丘陵过渡斜坡上的第一高峰,国家5A级风景区,世界自然遗产,位于贵州铜仁市江口、印江、松桃三县交界处,自北向南纵贯铜仁市中部,是乌江与沅江的分水岭,也是横亘于贵州、重庆、湖南、湖北4省(市)的武陵山脉最高主峰。其最高峰凤凰山海拔2 572 m,垂直高差达2 000 m以上,各气象要素及光热资源在山体不同海拔高度差异明显,气候、植被、土壤等都有明显的垂直带谱。
深入理解降水日变化特征,对于认识区域气候特征、改进数值天气预报模式以及防范由强降水引发的洪涝和地质灾害具有至关重要的意义(李智玉等,2024),长期以来,很多学者对不同区域的降水日变化规律开展了广泛研究。研究表明,北京夏季平均降水量日变化主体呈单峰型,降水频次为双峰型,降水强度为多峰型(赵玮等,2022);广东降水频次与强度日变化整体都呈现“双峰型”特征,峰值主要出现在午后至傍晚(高翠翠等,2024);江西小时降水量与日降水量之比以及小时降水次数与日降水总次数之比的日变化均呈较明显的双峰特征,第一峰值均出现在下午至傍晚,次峰值均出现在清晨至上午(肖安等,2022);而广西不同地区的降水日变化特征存在显著差异,桂东北、桂西北和沿海地区的小时平均降水量峰值出现在凌晨到早晨,降水主要集中在夜间,桂东南地区的小时平均降水量峰值出现在下午,降水在白天较为集中,桂西南地区降水在清晨和傍晚较为集中(廖胜石等,2023)。在拥有复杂地形的山区,降水日变化特征则呈现出截然不同的规律,川渝地区受西高东低的地形影响,夜雨特征明显,较高海拔地区降水量日峰值大多出现在前半夜,而低海拔地区则大多出现在后半夜(董新宁等,2023);新疆天山(郭玉琳等,2022)、重庆大官山(何泽能等,2022)、大理苍山(董保举等,2023)和广西元宝山(廖胜石等,2024)等山区,降水峰值常出现在夜间或清晨,且其空间分布受海拔高度、坡向等地形因素影响,甚至存在“最大降水高度带”(何生录等,2022)。
研究表明山区降水的空间分布受地形因素影响,地形抬升作用可能导致某些区域在特定时段(如午后)对流活动增强,从而引发短时强降水(童金等,2017),地形朝向和相对于湿润空气主流方向的暴露程度对降水分布也有显著影响(Basist et al.,1994),另外海拔高度也是重要的影响因素,海拔较低的位置有更多的降水(Kozak et al.,2019),或达到一定高度后随着海拔升高降水量减少(Collados-Lara et al.,2018)。作为贵州东北部的显著孤峰,梵净山地区易形成局地强天气,强天气通常会造成严重洪涝、山体滑坡、泥石流等次生灾害,其地形抬升作用对降水的影响尤为突出,低层偏东气流与地形强迫是造成梵净山东侧强降水的关键机制(陈军等,2020;张祝等,2021)。因梵净山垂直高差大,山脚与山腰、山顶的天气及气象要素常存在很大差异,汛期中山腰站和山顶站出现强降水时,发生山体滑坡、洪涝等次生灾害的几率更大,如2016年7月20日的洪涝灾害,山顶站降水量(151.5 mm)达大暴雨,而山脚站降水量仅为69.9 mm,此次强降水造成洪水暴涨、多处山体滑坡,危胁当地人民群众及游客生命财产安全。
目前,对梵净山降水日变化特征随海拔和坡向演变的规律认知尚属空白,本文利用不同海拔高度的气象观测站优越的复杂地形横切面廓线观测能力,分析梵净山地形对降水日变化的影响,加深对山地复杂地形区降水规律的认识,提升当地气象预报能力,对指导防灾减灾工作、做好旅游服务、保护生态环境等方面提供参考。
1 数据与方法
数据来源为2019年在梵净山东面以高差250 m左右海拔高度建设的梯度观测站、国家气象观测站以及区域自动气象站。结合梵净山地形地貌,对国家站、梯度站以及区域自动气象站的资料完整性、数据质量进行对比,且通过界限值和时间一致性检查,选取位于山顶的梵净山国家气象观测站(27.911 4°N、108.693 6°E,海拔2 278 m)(简称“山顶站”)、山腰的梯度观测站铜矿厂站(27.883 6°N、108.730 0°E,海拔916 m)(简称“山腰站”)、山脚的区域自动气象站快场站(27.881 1°N、108.798 3°E,海拔556 m)(简称“山脚站”)作为不同海拔高度的代表站(图1),用2022—2023年汛期5—10月的逐小时降水资料进行分析。
图1
图1
梵净山山脚、山腰和山顶气象站点分布
Fig.1
Distribution of meteorological stations at the foot, middle and top of the Fanjing Mountain
每小时降水量≥0.1 mm被认定为有效降水,当一个时次有降水发生就认为出现一次降水,当某一次降水发生时次后连续2 h没有降水发生定义为一次降水过程结束,并将降水开始时刻至降水结束时刻的小时数定义为降水持续时间(杨森等,2011)。逐时降水量为2022、2023年汛期各时次降水量的平均值;逐时降水频次为2022、2023年汛期各时次降水出现次数的平均值;逐时降水强度为2022、2023年汛期各时次降水量之和与对应时次降水出现次数的比值。逐小时累计降水量是各时次所有降水过程降水量的总和。参考杨萍等(2017)研究,根据降水持续时间,把降水事件分成3类:1~3 h为短历时降水,4~6 h为中历时降水,大于6 h为长历时降水。文中时间均采用北京时,白天时段为08:00—20:00,夜间时段为20:00—次日08:00。
对资料进行分析统计后,获得梵净山东侧不同海拔高度2022—2023年汛期的平均逐时降水量、逐时降水频次、逐时降水强度等,然后统计不同持续时间降水事件的逐时累计降水量及累计降水频次,研究其日变化特征。
2 结果分析
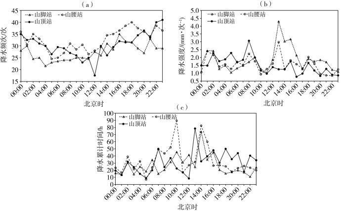
2.1 降水量、降水频次和降水强度的日变化特征
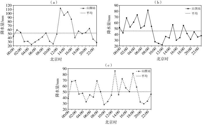
从图2可见,3个观测站2022—2023年汛期的平均逐时降水量均呈多波动的日变化特征,其中山脚站的13:00降水量(113.15 mm)最大,山顶站的12:00降水量(21.85 mm)最小;02:00—08:00降水量随海拔升高而增多,而午后12:00—16:00降水量随海拔升高而减少。
图2
图2
2022—2023年汛期梵净山山脚站(a)、山顶站(b)和山腰站(c)的平均降水量日变化
Fig.2
Diurnal variations of precipitation at stations at the foot (a), top (b) and middle (c) of the Fanjing Mountain in flood season during 2022-2023
山脚站降水高峰期主要集中在13:00—21:00[图2(a)],这9个时次降水量之和为663.20 mm,占总降水量(1 237.45 mm)的54%左右;01:00出现小高峰,05:00降到全天最低值(23.45 mm),后小幅上升,09:00再次下降,11:00出现次低值,然后降水量暴增,在13:00达到最大值之后略有波动,15:00后出现骤降直到17:00,后在全天均值附近摆动,22:00降水量明显减小。山顶站00:00—09:00降水较其余时段明显偏多[图2(b)],这10个时次的降水量之和为590.40 mm,占总降水量(1 098.90 mm)的54%左右,其中08:00出现降水量最大值(81.65 mm),12:00出现最小值(21.85 mm),后在平均值附近波动。山腰站大多时次降水量介于山脚站和山顶站之间,波动和山脚站基本一致,降水主要集中在12:00—19:00[图2(c)],8个时次的降水量之和为494.75 mm,占总降水量(1 205.45 mm)的41%左右,最大值(86.00 mm)与山脚站一样出现在13:00,10:00出现降水量的最小值(28.00 mm)。山脚站和山腰站降水量大值时段主要集中在午后到傍晚,且与山腰站相比,山脚站的逐时降水量表现出更大的波动,山顶站降水主要集中在凌晨到早晨。
从图3(a)可见,山脚站降水频次于04:00达到全日最低值(21.5次),随后整体呈波动上升趋势,并在16:00出现全日峰值(35.0次);山腰站降水频次变化趋势与山脚站相似,于05:00降至最低值(24.5次),此后波动上升,其间在08:00出现一个次高峰后回落,11:00后上升,最终在18:00达到全天最大值(40.0次);山顶站降水频次日变化特征则截然不同,呈“单谷型”,自午夜起持续下降,于12:00达到谷值(17.5次),为3个站中最低值,之后稳步上升,并在23:00达到全日峰值(41.0次),也是3个站中最高值,其日变化振幅最大。总体而言,3个站降水频次均呈现“先下降后上升”的基本趋势,但具体演变过程与极值出现时间存在明显的垂直分布差异:山腰站降水频次有15个时次高于山脚站和山顶站,而山顶站降水频次有18个时次超过山脚站,山脚站的降水频次整体最少,山腰站最多。
图3
图3
2022—2023年汛期梵净山山脚站、山腰站和山顶站的平均降水频次(a)、降水强度(b)和降水累计时间(c)日变化
Fig.3
Diurnal variations of mean precipitation frequency (a), intensity (b) and cumulative time (c) at stations at the foot, middle and top of the Fanjing Mountain in flood season during 2022-2023
从图3(b)可以看出,山脚站的降水强度13:00达到全天最大值(4.30 mm·次-1),这也是3个站中的最高值,其最小值出现在05:00(1.05 mm·次-1);山腰站的降水强度整体介于山脚站与山顶站之间,10:00降水强度突降至全天最小值(0.93 mm·次-1),随后陡升于13:00达本站最大值(2.98 mm·次-1);山顶站的日变化规律与山脚站、山腰站不同,表现为午夜到早晨降水强度大的特征,其最大值出现在08:00(3.07 mm·次-1),而最小值出现在16:00(0.77 mm·次-1),为3个站中最低值。综上可见,03:00—08:00,降水强度随海拔升高而增大,山顶站强度最高;而11:00—16:00及19:00—20:00,降水强度则随海拔升高而减小,山脚站强度最高。
从图3(c)可以看出,山脚站降水累计时间整体较短,全天有15个时次在3个站中为最短,日变幅相对较小,其最小值出现在22:00(12.0 h),14:00为本站峰值74.0 h,另外高值区主要分布于12:00—16:00之间;山腰站降水累计时间全天多个时次均维持较高值,10:00出现3个站中最大值(89.5 h),上午时段(07:00—10:00)持续偏长,午后也维持在高位,05:00经历了明显的谷值(7.0 h),为3个站中最低值;山顶站的降水累计时间日变化呈现出多峰特征,降水累计时间12:00降至全天最低值8.5 h,13:00和18:00分别出现78.5、50.0 h的高值。山腰站的降水累计时间整体最长,山顶站次之,山脚站最短;山脚站和山腰站07:00—11:00都呈上升趋势,而山顶站则相反;山腰站降水累计时间波动最大,山顶站次之,山脚站波动最小。正午前后,山顶站的降水频次、强度和累计时间均降至低值,形成一个明显的“降水微弱期”。
2.2 不同持续时间降水的降水量和降水频次特征
梵净山东侧不同海拔高度3个站的降水量主要来源于持续时间为2~18 h的降水事件(图4)。3个站持续时间3 h以内的降水都在05:00—06:00出现25.0~50.0 mm的降水量大值区,其中山腰站15:00也出现降水量大值,其余时段短历时降水的降水量3站均较小。持续时间24 h及以上降水的降水量3个站大值区都在02:00出现,另外山脚站和山腰站的大值区还出现在10:00、14:00、15:00,山顶站的大值区在22:00也有出现;中历时降水的降水量大值(≥25 mm)山脚站和山腰站主要出现在早晨和中午时段,山顶站则在夜间;长历时降水100 mm以上降水量大值区山脚站和山腰站主要集中在白天,山顶站主要在夜间;短历时降水的降水量大值(≥25 mm)多出现在早晨,弱降水主要为短历时。
图4
图4
2022—2023年汛期梵净山山脚站(a)、山腰站(b)和山顶站(c)不同持续时间降水的降水量日变化
[右侧实线(虚线)为白天(夜间)降水量]
Fig.4
Diurnal changes of precipitation with different rainfall duration at stations at the foot (a), middle (b) and top (c) of the Fanjing Mountain in flood season during 2022-2023
(The solid and dotted lines on the right side represent precipitation during the day and night, respectively)
山顶站持续8 h以内的降水,其降水量均表现为夜间大于白天,相比之下,山脚站和山腰站这一特征仅体现在持续3 h以内的降水事件中。2022—2023年汛期白天总降水量山脚站为1 582.5 mm,占2022—2023年汛期总降水量的66%;山腰站为1 428.5 mm,占59%;山顶站1 083.6 mm,占45%。山脚站与山腰站白天总降水量都大于夜间,而山顶站夜间大于白天,随着海拔升高白天降水量在逐渐减小。
从山顶站、山腰站和山脚站2022—2023年汛期不同历时降水的降水量及其占比(表1)可以看出,降水量与降水持续时间成正比,长历时降水的降水量占比最高,达73.5%~80.0%,其中山脚站占比最高,山腰站和山顶站相差不多;短历时和中历时降水山脚站的降水量占比最低,而山腰站和山顶站的占比有所增加。
表1 2022—2023年汛期梵净山山顶站、山腰站和山脚站不同历时降水的累计降水量及占比
Tab.1
| 站点 | 短历时 | 中历时 | 长历时 | |||
|---|---|---|---|---|---|---|
| 降水量/mm | 占比/% | 降水量/mm | 占比/% | 降水量/mm | 占比/% | |
| 山脚站 | 169.4 | 7.1 | 308.2 | 12.9 | 1 913.8 | 80.0 |
| 山腰站 | 274.7 | 11.4 | 364.2 | 15.1 | 1 770.0 | 73.5 |
| 山顶站 | 222.5 | 10.1 | 326.7 | 14.9 | 1 644.6 | 75.0 |
从不同降水持续时间的降水频次分布(图5)来看,3个站降水频次超过3次的降水持续时间都在3 h内,随降水持续时间增加,降水频次快速减少;3个站降水持续时间在3 h以内的夜间降水频次都大于白天,且降水频次高值都出现在持续时间1 h时。山脚站的降水频次超过5次的大值区主要在夜间到上午,山腰站主要分布在夜间到中午,山顶站的大值区主要在中午到凌晨,可见降水高发时段随着海拔升高,呈现“从上午到中午向凌晨传播”的趋势。
图5
图5
2022—2023年汛期梵净山山脚站(a)、山腰站(b)、山顶站(c)不同持续时间的降水频次日变化
[右侧实线(虚线)为白天(夜间)降水频次]
Fig.5
Diurnal variation of precipitation frequency of rainfall with different duration at stations at the foot (a), middle (b) and top (c) of the Fanjing Mountain in flood season during 2022-2023
(The solid and dotted lines on the right side represent precipitation frequency during the day and night, respectively)
从表2可见,2022—2023年汛期短历时降水频次最多,占比为58.3%~65.3%,其次是长历时,中历时降水频次最低。山脚站的短历时降水频次占比最高,中历时和长历时降水频次均为最低;山腰站的中历时和长历时降水频次占比最高。可见随着海拔升高,中历时和长历时降水频次有所增加,而短历时降水频次有所减少。
表2 2022—2023年汛期梵净山山顶站、山腰站和山脚站不同历时降水的累计降水频次及占比
Tab.2
| 站点 | 短历时 | 中历时 | 长历时 | |||
|---|---|---|---|---|---|---|
| 降水频次/次 | 占总降水频次/% | 降水频次/次 | 占总降水频次/% | 降水频次/次 | 占总降水频次/% | |
| 山脚站 | 194 | 65.3 | 41 | 13.8 | 62 | 20.9 |
| 山腰站 | 187 | 58.3 | 55 | 17.1 | 79 | 24.6 |
| 山顶站 | 192 | 61.0 | 52 | 16.5 | 71 | 22.5 |
3 结论和讨论
本文利用梵净山山顶、山腰、山脚3个观测站2022—2023年汛期5—10月逐小时降水量资料,对梵净山东侧不同海拔代表站降水量、降水频次、降水强度的日变化特征,以及对不同历时降水事件的累计降水量及累计发生次数的日变化特征进行分析,得到以下具体结论。
(1)夜间至早晨降水量和强度随海拔升高而增大,午后至傍晚则随海拔升高而减小。降水量大值时段山脚站与山腰站集中在午后到傍晚,山顶站则集中于凌晨到早晨。降水频次均呈现“先下降后上升”的基本趋势,此外,山腰站降水持续时间最长,山顶站次之,山脚站最短,正午前后山顶站存在一个降水频次减少、强度减弱和持续时间减少的“降水微弱期”。
(2)短历时强降水(降水量≥25 mm)多出现在早晨;长历时降水的降水量随海拔升高增加,大于100 mm的降水量山脚站和山腰站多出现在白天,山顶站则多出现在夜间。山脚站和山腰站短历时降水的雨量夜间大于白天,而山顶站持续8 h以内降水的降水量均是夜间大于白天,随着海拔升高白天降水量减少。在不同持续时间的降水事件中,3个站都是长历时降水的降水量占比最大。
(3)3个站短历时降水频次均较大,且随降水持续时间的增加,降水频次减少。降水高发时段随着海拔升高,呈现“从上午到中午向凌晨传播”的趋势,山脚站的高频降水集中在夜间至上午,山腰站推迟至夜间到中午,而山顶站则进一步推迟到中午到凌晨。山脚站短历时降水频次最多,中历时和长历时降水频次均为最低,随着海拔升高,持续时间超过3 h的降水更高发。
本文揭示了在孤峰地形下不同海拔高度降水的日变化特征,梵净山作为显著孤峰,其地形抬升作用是造成东侧山脚、山腰午后降水强度明显大于山顶的重要原因。然而,本研究仅针对梵净山东侧的降水日变化,西侧的降水日变化特征及其与坡向的相互作用尚不明确,并且由于山区梯度站建站较晚,所处位置特殊,工作人员难以及时维护维修,导致部分数据缺失,数据可使用年限不够长,下一步将选取更长时间跨度的数据,并结合东西坡向的梯度观测数据进行对比研究,以更全面揭示梵净山地形降水的三维结构,为局地强天气预报监测以及防灾减灾服务提供支撑。
参考文献
Statistical relationships between topography and precipitation patterns
[J].
Precipitation fields in an alpine Mediterranean catchment: Inversion of precipitation gradient with elevation or undercatch of snowfall?
[J].
Variation of precipitation gradient in mountain areas based on the example of the western Beskids in the Polish Carpathians
[J].
/
| 〈 |
|
〉 |
