秦岭北麓盛夏典型突发性降水过程中低层风特征
Characteristics of low-level wind during typical sudden precipitation processes at the northern foot of Qinling Mountains in midsummer
通讯作者: 李明(1974—),男,硕士,正高级工程师,主要从事灾害性天气预报研究。E-mail:467665085@qq.com。
责任编辑: 黄小燕;校对:王涓力
收稿日期: 2024-03-4 修回日期: 2024-05-27
| 基金资助: |
|
Received: 2024-03-4 Revised: 2024-05-27
作者简介 About authors
刘嘉慧敏(1989—),女,硕士,高级工程师,主要从事灾害性天气预报研究。E-mail:857392276@qq.com。
低层风场变化对突发性降水的形成有重要作用,其通过改变低层大气的流场结构,进而影响低层大气的稳定性及垂直运动,促使对流云发生发展。基于长安站风廓线雷达资料、地面加密观测资料、欧洲中期天气预报中心发布的第五代大气再分析资料及多普勒雷达资料,分析盛夏(7—8月)副热带高压控制下秦岭北麓3次典型突发性降水过程[2023年8月6日11:00—12:00(简称“过程Ⅰ”)、2023年7月13日00:00—01:00(简称“过程Ⅱ”)和2022年8月3日18:00—19:00(简称“过程Ⅲ”)]中低层风场的演变特征。结果表明:3次过程均发生在副热带高压配合低层冷空气侵入的环流背景下,突发性强。过程Ⅰ和过程Ⅱ低层为偏西风冷空气侵入,过程Ⅲ为偏东风冷空气侵入。降水发生前长安地区大气呈显著不稳定状态,对流层中层垂直风切变较弱,这是3次降水过程局地性强的主要原因。盛夏长安站低层风速多年平均总体呈单峰型变化,风速随高度先增加再减小,1 000 m高度以下平均风速不超过3.14 m·s-1,小时风速存在明显日变化特征。低层风向随高度增加呈逆时针旋转,由西南风逐渐转为东南风。3次突发性降水过程发生前4~6 h,长安站低层大气存在冷空气侵入过程,且风速较多年平均明显加大。伴随低层冷空气的持续侵入,地面气温迅速下降,气压上升,对流触发,强降水产生。低层冷空气的持续侵入一方面在低层产生强烈的中尺度锋生,为突发性降水提供能量条件和触发条件;另一方面受秦岭北麓及关中盆地局地地形的阻挡作用,迫使低层冷空气强迫抬升,有利于降水增幅。
关键词:
The changes of low-level wind field play an important role in the formation of sudden precipitation, which can change the flow field structure in the lower atmosphere, thereby affect the stability and vertical movement of the lower atmosphere and promote the development of convective clouds. Based on wind profile radar data at Chang’an Station, observation data, the fifth generation atmospheric reanalysis data released by the European Center for Medium Range Weather Forecasting, and Doppler radar data, this study analyzed the evolution characteristics of the low-level wind field during three typical sudden precipitation events under the control of the subtropical high at the northern foothills of the Qinling Mountains in midsummer. These events occurred on August 6, 2023, from 11:00 to 12:00 (referred to as “Process I”), July 13, 2023, from 00:00 to 01:00 (referred to as “Process II”), and August 3, 2022, from 18:00 to 19:00 (referred to as “Process III”). The results show that all three events occurred under the circulation background of the subtropical high combined with the intrusion of cold air at low level, exhibiting strong suddenness. For Process I and Process II, the intrusion of cold air at low level was characterized by westerly winds, while for Process III, it was characterized by easterly winds. Before the precipitation, the atmosphere over the Chang’an region was in a significantly unstable state, with weak vertical wind shear in the middle troposphere, which was the main reason for the highly localized nature of these three precipitation events. In midsummer, the multi-year average low-level wind speed at Chang’an Station generally exhibited a single-peak pattern, the wind speed initially increased with height and then decreased. The average wind speed below an altitude of 1 000 meters did not exceed 3.14 m·s⁻¹, and the hourly wind speed shows distinct diurnal variation characteristics. The low-level wind direction displayed a counterclockwise rotation with increasing height, shifting gradually from southwesterly to southeasterly winds.The 4-6 h before the occurrence of three sudden precipitation processes, there was a cold air intrusion process in the low-level over Chang’an, and the wind speed was significantly bigger than the multi-year average. With the continuous invasion of low-level cold air, the 2 m temperature decreased rapidly, the air pressure rose, convection was triggered, and heavy precipitation occurred. The continuous intrusion of low-level cold air could generate strong mesoscale frontogenesis in the lower atmosphere, providing energy and triggering conditions for sudden precipitation. On the other hand, due to the obstruction of the local terrain at the northern foot of the Qinling Mountains and the Guanzhong Basin, the low-level cold air was forced to rise, promoting an increase in precipitation.
Keywords:
本文引用格式
刘嘉慧敏, 李明, 欧阳雨, 吉庆, 王青霞, 李文耀, 李涵钰.
LIU Jiahuimin, LI Ming, OUYANG Yu, JI Qing, WANG Qingxia, LI Wenyao, LI Hanyu.
0 引言
近年来,伴随高分辨率数值模式快速发展,秦岭及周边地区强降水客观预报精度稳步提高。但模式对于秦岭北麓突发性降水预报仍存在较大时空偏差(Pan et al.,2022;Zhang and Pan,2022),特别是盛夏西太平洋副热带高压控制下的突发性降水,现有的高分辨率数值模式无法准确预报秦岭山区的降水峰值及落区。研究表明低层风场变化对秦岭北麓突发性降水的形成至关重要。一方面,当秦岭北麓处于副高外围暖湿气流控制时,由于局地充足的水汽和强盛的不稳定能量,一旦低层风场存在冷空气扰动则会触发强对流,瞬间会在秦岭北麓造成短时强降水(刘胜男等,2023)。另一方面,当低空风发展为边界层急流时,与秦岭北麓局地小尺度地形的相互耦合作用使得大气中能量快速累积,同时配合特殊的地形摩擦、阻挡抬升等作用会造成极端突发性暴雨天气(张宏芳等,2020)。此外,夏季秦岭北麓突发性降水过程中低层风场存在明显加强现象,尽管强度未能达到低空急流,但明显的风速加强能够迫使大气抬升并造成秦岭北麓突发性降水(陈小婷等,2023)。由于数值模式对秦岭北麓低层大气流场预报仍存在较大不确定性,加之现有探空资料时空分辨率较低,获取与降水关系密切的高空大气环流信息有限。因此,秦岭北麓突发性降水的精准预报面临诸多挑战。
风廓线雷达是一种单点主动遥感设备,可直接获取水平风向、风速、垂直速度等参数,是灾害性天气短时临近预报的重要信息源(May et al.,2001;May et al.,2002)。风廓线雷达可以实现连续定量探测,探测高度可从边界层延伸至对流层,能够快速捕捉中小尺度天气系统,是对常规高空探测资料的有效补充,被广泛应用于对流监测及动力学诊断分析(张东方等,2023;陈立波等,2024;吴古会等,2024)。研究表明基于风廓线雷达分钟级的定量监测产品能够清晰表征暴雨过程中大气水平运动在垂直方向上的细微结构,较好地反演出低空急流的异常变化,可对复杂地形下暴雨边界层中小尺度系统演变的机理认识提供客观支撑(苟阿宁等,2022;邹倩等,2024)。此外,风廓线雷达在雨雪转换及雾霾生消天气中能够精确反映出冷暖层风场结构及低层大气湍流活动等(花丛等,2017;毛文茜等,2022;陈光宇等,2023)。长安站边界层风廓线雷达于2015年建成投入业务应用,相关研究通过对比分析长安边界层风廓线雷达资料与LC波段探空资料、ERA5再分析资料,发现前者与观测及再分析资料相关性较好,可用于实际应用和业务研究(张寅等,2017)。
为探明秦岭北麓盛夏(7—8月)典型突发性降水过程中低层风场的精细变化及其对突发性降水的影响,本文选取3次发生在副高配合低层冷空气侵入环流背景下的秦岭北麓突发性降水过程典型个例[2023年8月6日11:00—12:00(简称“过程Ⅰ”)、2023年7月13日00:00—01:00(简称“过程Ⅱ”)和2022年8月3日18:00—19:00(简称“过程Ⅲ”)],基于秦岭北麓长安站风廓线雷达资料,分析秦岭北麓盛夏典型突发性降水过程中低层风场的变化特征及其对突发性降水的作用,以期为今后该区域突发性降水预报提供理论依据。
1 研究区概况、资料和方法
1.1 研究区概况
图1
图1
研究区示意图
(红色三角形为长安站风廓线雷达位置;填色为地形,单位:m)
Fig.1
Schematic diagram of the study area
(The red triangle represents the location of Chang’an Station; the color shaded is for terrain,Unit: m)
1.2 资料和方法
长安站风廓线雷达型号为G-II型固定式,最大探测高度为6~8 km,最低探测高度为100 m,详细参数信息见表1。选取1 h平均采样高度数据产品,包括采样水平风向、水平风速、垂直风速、大气折射率结构常数等,垂直高度取100~2 000 m,共21层。资料时间为2021—2023年7—8月风廓线雷达数据,该时段内数据连续稳定,未发生长时间缺测及异常值。由于长安区风廓线雷达仅有1部,因此以长安站风廓线雷达为代表,分析秦岭北麓低层风场变化。分析长安站低空不同高度层多年月平均、小时平均风速(风向)变化时将2021—2023年7—8月不同高度层风速(风向)求和取平均。
表1 长安站风廓线雷达总体参数
Tab.1
| 类别 | 参数值 |
|---|---|
| 测量范围 | 水平风速:0~60 m·s-1;垂直风速:±20 m·s-1;风向:0~360° |
| 高度分辨率 | 60、120、240 m |
| 时间分辨率 | 3波束≤6 min,5波束≤0 min(单位观测时间1 min) |
| 径向速度分辨率 | ≤0.2 m·s-1 |
| 风速测量精度 | ≤1.5 m·s-1 |
| 风向测量精度 | ≤10° |
利用陕西省气象信息中心提供的西安市境内214个地面加密气象站观测资料分析长安区突发性降水过程天气实况特征。该资料包括1 h降水量、气温、露点、风向、风速、海平面气压及过去24 h降水量。资料时间分别选取2023年8月5日20:00—6日20:00、2023年7月12日20:00—13日20:00、2022年8月3日08:00—4日08:00(北京时,下同)。
利用欧洲中期天气预报中心(European Centre for Medium-Range Weather Forecasts,ECMWF)发布的第五代全球再分析格点资料(ERA5)分析突发性降水过程的环流形势演变特征。该资料垂直方向共30层,时、空分辨率分别为1 h、0.25°×0.25°。所用要素有位势高度、相对湿度、温度、垂直速度、风场及比湿等。资料时段与站点资料时段一致。长安站大气垂直分布廓线由ERA5资料绘制。
利用西安C波段多普勒天气雷达体扫(采用VCP21体扫模式)数据分析中小尺度对流系统的演变。资料包含基本反射率因子、组合反射率因子及径向速度等产品,垂直方向19层。资料选取时间分别为2023年8月6日09:00—11:00、2023年7月12日17:00—13日11:00、2022年8月3日16:00—18:00。确定1 h降水量超过10 mm为秦岭北麓短时强降水标准(李明,2017)。
风廓线雷达和多普勒天气雷达都是重要的气象雷达观测工具,但两者在工作原理、探测目标及应用领域上都有所不同,前者能够提供关于大气边界层内风速、风向及其随高度变化的详细资料,从而揭示大气垂直动力学结构的精细变化,后者利用多普勒效应捕捉降水粒子的运动信息,便于分析降水系统的运动趋势和强度变化,二者的联合使用有利于对大范围暴雨和大风天气过程的观测、分析和预测。
2 突发性降水过程中低层风场变化
2.1 降水实况
从降水量空间分布[图2(a)、(c)、(e)]可以看出,过程Ⅰ和过程Ⅲ强降水局地性强,过程Ⅲ降水范围较过程Ⅰ偏西偏南,过程Ⅱ强降水范围大,强降水中心位于秦岭北麓中东部。以长安站1 h降水演变[图2(b)、(d)、(f)]为例,过程Ⅰ、过程Ⅱ和过程Ⅲ小时最大雨量分别达21.4、20.5和16.2 mm,过程Ⅱ较过程Ⅰ及过程Ⅲ持续时间长。由于这3次降水过程发生骤急,其间伴有大风、雷电等强对流天气,造成城区出现严重内涝。
图2
图2
2023年8月5日20:00—6日20:00 (a)、2023年7月12日20:00—13日20:00 (c)、2022年8月3日08:00—4日08:00 (e)秦岭北麓不同站点24 h降水量空间分布(彩色圆点,单位:mm)及2023年8月6日08:00—17:00(b)、2023年7月12日20:00—13日13:00 (d)、2022年8月4日16:00—23:00 (f)长安站逐小时降水量演变
Fig.2
The spatial distribution of 24 h precipitation (color dots, Unit: mm) at different stations at the northern foot of Qinling Mountains from 20:00 on 5 to 20:00 on 6 August 2023 (a), from 20:00 on 12 to 20:00 on 13 July 2023 (c) and from 08:00 on 3 to 08:00 on 4 August 2022 (e), and the evolution of hourly precipitation at Chang’an Station from 08:00 to 17:00 on 6 August 2023 (b), from 20:00 on 12 to 13:00 on 13 July 2023 (d), from 16:00 to 23:00 on 4 August 2022 (f)
2.2 环流背景
过程Ⅰ发生在500 hPa大陆高压控制下,700 hPa在关中西部至陕南西部有弱切变,长安区850 hPa与500 hPa温度差超过20 ℃[图3(a)];降水发生前(8月6日08:00)大气呈明显不稳定状态,对流有效位能(Convective Available Potential Energy,CAPE)达3 730.4 J·kg-1[图4(a)]。过程Ⅱ与过程Ⅰ影响系统较为相似,长安区在西太平洋副热带高压控制下,700 hPa切变位置与过程Ⅰ基本一致,850 hPa与500 hPa温度差超过22 ℃[图3(b)];降水发生前(12日20:00)CAPE达4 380.7 J·kg-1[图4(b)],大气不稳定能量较过程Ⅰ偏强。过程Ⅲ西太平洋副热带高压非常强盛,与大陆高压合并后控制陕西,长安区850 hPa与500 hPa温度差超过26 ℃[图3(c)];3日14:00,CAPE达3 689.3 J·kg-1[图4(c)]。这3次过程降水发生前CAPE均非常强,低层一旦有弱扰动,便会触发不稳定能量急速释放。注意到3次过程中0~6 km垂直风切变均在4 s-1以下,不利于形成大范围强盛的组织化对流(张文龙等,2014)。
图3
图3
2023年8月6日08:00 (a)、2023年7月12日20:00 (b)、2022年8月3日14:00 (c) 500 hPa位势高度场(等值线,单位:gpm)、850 hPa与500 hPa温度差(填色,单位:℃)及700 hPa风场(风矢,单位:m·s-1)
Fig.3
The 500 hPa geopotential height field (contours, Unit: gpm), temperature difference between 850 hPa and 500 hPa (the color shaded, Unit: ℃) and 700 hPa wind field (wind vectors, Unit: m·s-1) at 08:00 on 6 August 2023 (a), 20:00 on 12 July 2023 (b), 14:00 on 3 August 2022 (c)
图4
图4
2023年8月6日08:00 (a)、2023年7月12日20:00 (b)、2022年8月3日14:00 (c)长安探空站T-ln P图
(黑色实线为温度曲线,绿色实线为等饱和混合比线,红色实线为层结曲线)
Fig.4
The T-ln P diagram of Chang’an sounding Station at 08:00 on 6 August 2023 (a),20:00 on 12 July 2023 (b),14:00 on 3 August 2022 (c)
(The black solid line represents the temperature curve,the green solid line represents the equal saturated mixing ratio curve,and the red line represents stratification curve)
2.3 低层风场变化
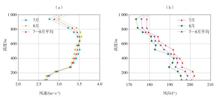
图5为2021—2023年7—8月长安站低层平均风速风向随高度变化。可以看出,7月和8月900 m高度以下风速呈单峰型变化。7月,600 m高度以下风速随高度增加而增大,最大为3.50 m·s-1,600 m以上风速随高度迅速降至2.75 m·s-1[图5(a)];8月,800 m高度以下风速随高度增加而增大,800 m以上风速迅速降低至3.02 m·s-1[图5(a)]。总体而言,盛夏长安站低层风速较弱,1 000 m高度以下平均风速不超过3.14 m·s-1,呈现先增大再减小的趋势,600~800 m风速最大[图5(a)]。7月和8月长安站低层风向总体表现为随高度增加呈逆时针旋转,由西南风逐渐转为东南风[图5(b)]。
图5
图5
2021—2023年7—8月长安站低层平均风速(a)、风向(b)随高度的变化
Fig.5
The variation of average wind speed (a) and wind direction (b) with height in the low layer over Chang'an Station from July to August during 2021-2023
图6
图6
2021—2023年7—8月长安站低层水平风速(a)及风矢(b)逐时变化(单位:m·s-1)
Fig.6
Hourly variation of horizontal wind speed (a),wind vectors (b) in lower layer over Chang'an Station from July to August during 2021-2023 (Unit: m·s-1)
分析3次过程中长安站低层风场及地面气象要素逐时变化(图7),发现降水开始前4~6 h低层大气存在明显的冷空气侵入过程。过程Ⅰ,8月6日06:00[图7(a)、(b)],1 000 m内以弱西南风为主,最大风速不超过2 m·s-1,长安站附近还未有明显回波生成[图8(a)];07:00,低层有弱冷空气侵入,西南风转为偏西风,风速加强至4 m·s-1,地面3 h正变压升至1.3 Pa;10:00,300~500 m低层偏西风风速增至6 m·s-1,平均风速仅为4 m·s-1[图6(a)],地面24 h降温幅度为3.9 ℃,低层冷空气强度增强,长安站南侧开始有回波生成[图8(b)];11:00,冷空气持续侵入,地面3 h正变压达到最大,24 h降温幅度为6.5 ℃,长安站上空有反射率因子超过40 dBZ的雷达回波,降水开始[图8(c)];12:00,1 000 m内全部为偏西风,风速超过6 m·s-1,地面24 h降温幅度达8.4 ℃,1 h雨量达到最大;之后,系统减弱,降水趋于结束。
图7
图7
过程Ⅰ(a、b)、过程Ⅱ(c、d)、过程Ⅲ(e、f)长安站低层风场(风矢,单位:m·s-1)及降水量(绿色柱条)(a、c、e),地面3 h变压、气温、露点温度及过去24 h变温(b、d、f)逐时变化
Fig.7
Hourly variation of the low layer wind (wind vectors, Unit: m·s-1), precipitation (green column) (a, c, e) and surface 3 h pressure change, air temperature, dew point temperature and temperature change in the past 24 h (b, d, f) at Chang’an Station during Process I (a, b), Process Ⅱ (c, d) and Process Ⅲ (e, f)
图8
图8
过程Ⅰ(a、b、c)、过程Ⅱ(d、e、f)、过程Ⅲ(g、h、i、)不同时刻西安多普勒雷达组合反射率因子(单位:dBZ)
Fig.8
The composite reflectivity factor (Unit: dBZ) from Xi’an Doppler radar at different times during Process I (a, b, c), Process Ⅱ (d, e, f) and Process Ⅲ (g, h i)
过程Ⅱ,7月12日12:00—15:00[图7(c)、(d)],低层风速较小,580 m内以弱偏西风为主,平均为偏南风[图6(b)],地面3 h正变压和24 h降温幅度较小;16:00,偏西风迅速扩展至820 m高度,地面24 h降温幅度为4.1 ℃,冷空气侵入加强;17:00,偏西风风速最大增至8 m·s-1,超过平均风速[图6(a)],长安站周边有回波生成[图8(d)];18:00,偏西风风速增至12 m·s-1,而平均风速仅为4 m·s-1,配合地面3 h正变压(1.3 Pa)和24 h降温(4.7 ℃),冷空气侵入持续增强,长安站东侧回波迅速加强[图8(e)];22:00,940 m内偏西风风速增至14 m·s-1,地面3 h正变压强度达3.8 Pa,过去24 h降温幅度达5.5 ℃,长安站上空有大范围反射率因子超过50 dBZ的雷达回波发生发展,强降水产生[图8(f)]。
上述两个过程均为偏西风冷空气侵入造成长安突发性降水过程,过程Ⅲ属于偏东风冷空气侵入引起的突发性降水过程。8月3日08:00—10:00,低层以弱偏东风为主[图7(e)、(f)],风速与该时段平均风速基本一致[图6(a)];11:00—12:00,300~700 m偏东风发展;13:00—15:00,1 000 m高度内均转为偏东风,风速增至5 m·s-1,地面温度下降,冷空气开始侵入;16:00,1 000 m高度内偏东风风速最大增至6 m·s-1,并配合明显的地面24 h负变温,偏东风冷空气侵入加强,长安站周边有新生雷达回波发生发展[图8(g)];17:00,随着低层偏东风冷空气持续入侵增强,偏东风风速最大增至9 m·s-1,较该时刻平均风速增大约5 m·s-1,同时,过去24 h降温幅度达8.5 ℃,虽然地面3 h变压为负值,但较16:00增大1.1 Pa,长安站北侧回波迅速发展,中心最大反射率因子超过50 dBZ[图8(h)];18:00,过去24 h降温幅度达到最大,为13.8 ℃,地面3 h变压转为正变压,长安站北侧回波范围进一步增大,此时强降水产生[图8(i)]。
3 低层风场对突发性降水的作用
3.1 低层中尺度锋生触发
低层中尺度锋生能够促进大气不稳定能量的释放使得对流快速发展,是触发突发性降水的关键机制之一,尤其在特定的气象条件和地理环境下,其作用更为明显(赵强等,2021)。分析发现3次突发性降水发生前低层大气均存在不同强度的中尺度能量锋区,水平方向和垂直方向伴随强烈的锋生,为突发性降水提供能量和抬升条件。过程Ⅰ,8月6日11:00,925 hPa长安区南部存在假相当位温密集区,伴有明显的水平锋生,中心强度超过2.1×10-9 K·m-1·s-1[图9(a)];垂直方向上,随着偏西冷空气侵入后与东侧偏东气流相遇,形成一条向西倾斜的中尺度锋区,且随高度下降锋生强度明显增大,即随着低层冷空气侵入近地面斜压性增强[图9(b)]。过程Ⅱ,7月12日19:00,925 hPa降水区水平锋生强度超过20×10-9 K·m-1·s-1[图9(c)];垂直方向上,800 hPa至地面锋生剖面与地面几乎垂直,锋生中心强度达24×10-9 K·m-1·s-1,与低层侵入的偏西风前部辐合区相对应[图9(d)],这也是过程Ⅱ降水强度及范围较过程Ⅰ偏强偏大的主要原因。相较过程Ⅰ和过程Ⅱ,过程Ⅲ的锋生区中心位置偏西。8月3日17:00,925 hPa水平锋生区位于108.5°E附近,中心强度最大为1.1×10-9 K·m-1·s-1[图9(e)];垂直方向上,850 hPa至地面存在锋生,强度弱于上述2个过程,这与该过程相对较弱的低层偏东风有关[图9(f)]。此外,发现在小地形附近也会存在锋生中心,这可能与冷空气侵入后遇到山区地形的阻挡有关(钱卓蕾等,2024)。
图9
图9
2023年8月6日10:00 (a、b)、2023年7月12日19:00 (c、d)、2022年8月3日17:00 (e、f)长安区及周边925 hPa假相当位温(等值线,单位:K)、锋生函数(填色,单位:10-9 K·m-1·s-1)空间分布(a、c、e),假相当位温(等值线,单位:K)、锋生函数(填色,单位:10-9 K·m-1·s-1)及风场(风矢,单位:m·s-1)沿降水中心所在纬度的经度-高度剖面(b、d、f)
(红色方框为秦岭北麓锋生区,灰色阴影为地形)
Fig.9
The spatial distribution of potential pseudo-equivalent temperature (isolines, Unit: K) and frontogenesis function (the color shaded, Unit: 10-9 K·m-1·s-1) at 925 hPa over Chang’an and surrounding areas (a, c, e), the longitude-height sections of the potential pseudo-equivalent temperature (isolines, Unit: K), frontogenesis function (the color shaded, Unit: 10-9 K·m-1·s-1) and wind field (wind vectors, Unit: m·s-1) along the latitude of the precipitation center (b, d, f) at 10:00 on 6 August 2023 (a, b), 19:00 on 12 July 2023 (c, d), 17:00 on 3 August 2022 (e, f)
(The red box represents the frontogenetical area at the northern foot of Qinling Mountains, the gray shaded for terrain)
3.2 地形阻挡强迫抬升
当低层冷空气侵入时,可通过局地小尺度地形强迫抬升促使近地层暖湿空气释放不稳定能量(雷蕾等,2014)。秦岭北麓北邻关中盆地,地势较低,东南部临近秦岭主脊,地势较高。当低层有偏西冷空气侵入时,易受到关中盆地中东部骊山及华山地形阻挡,促使低层大气辐合抬升;当低层有偏东冷空气侵入时,受秦岭北麓地形阻挡及关中盆地喇叭口地形约束使气流向西汇聚辐合,从而造成低层大气动力抬升位置较前者偏南偏西。
从3次降水过程降水前1 h低层925 hPa风场及水平散度场空间分布(图10)可见,过程Ⅰ和过程Ⅱ,低层偏西风从关中盆地西部侵入后,其前部存在风速风向辐合,加之受骊山及华山地形阻挡,在关中盆地中东部形成水平风场辐合区[图10(a)、(b)]。过程Ⅱ关中盆地东部辐合强度强于过程Ⅰ,水平散度中心低于-6.0×10-5 s-1。过程Ⅲ,低层偏东风从关中盆地东部侵入后,受关中盆地喇叭口地形约束及秦岭北麓地形阻挡作用,造成的水平风场辐合区较上述2个过程偏西偏南,散度中心值为-5.0×10-5 s-1[图10(c)]。
图10
图10
2023年8月6日10:00(a)、2023年7月12日19:00(b)、2022年8月3日17:00(c)长安区及周边925 hPa风场(风矢,单位:m·s-1)及水平散度场(黑色虚线,仅显示<0的数值,单位:10-5s-1)空间分布
Fig.10
The spatial distribution of wind field (wind vectors,Unit: m·s-1) and horizontal divergence (black dotted lines,only showing the values less than 0,Unit: 10-5s-1) at 925 hPa over Chang’an and surrounding areas at 10:00 on 6 August 2023 (a),19:00 on 12 July 2023 (b),17:00 on 3 August 2022 (c)
由过强降水中心的水平散度和垂直速度的时间-高度剖面(图11)可见,3次降水过程发生前约3 h,850 hPa以下水平散度存在明显辐合。在低层冷空气持续侵入作用下,秦岭北麓的气流辐合及垂直上升运动均呈现明显增大趋势。过程Ⅰ从8月6日08:00开始低层散度低于-1.2×10-5 s-1且一直持续至降水结束,叠加地形造成的垂直上升运动大值区与降水强度和持续时间吻合较好[图11(a)]。过程Ⅱ动力辐合强度强于过程Ⅰ,叠加地形所导致的强烈上升运动几乎呈直立状态,向上发展至对流层中层附近,垂直速度中心达-4.8 Pa·s-1[图11(b)]。相较过程Ⅰ和过程Ⅱ,过程Ⅲ垂直上升运动区位置偏低,强度偏弱[图11(c)]。
图11
图11
2023年8月6日06:00—14:00(a)、2023年7月12日12:00—13日14:00(b)、2022年8月3日08:00—24:00(c)沿强降水中心的水平散度(填色,单位:10-5s-1)和垂直速度(等值线,单位:Pa·s-1)的时间-高度剖面
Fig.11
Time-height sections of horizontal divergence (the color shaded,Unit: 10-5s-1) and vertical velocity (isolines,Unit: Pa·s-1) along the heavy precipitation center from 06:00 to 14:00 on 6 August 2023 (a),from 12:00 on 12 to 14:00 on 13 July 2023 (b),from 08:00 to 24:00 on 3 August 2022 (c)
综上所述,强降水开始前,低层冷空气侵入一方面在水平和垂直方向造成强烈的中尺度锋生,有利于触发对流发生发展;另一方面低层冷空气侵入关中盆地后受地形阻挡造成强迫抬升,促使降水增加(图12)。
图12
图12
秦岭北麓盛夏低层偏西风(a)、偏东风(b)冷空气侵入造成突发性降水的概念模型
(填色为海拔高度,单位:m)
Fig.12
The conceptual model of sudden precipitation caused by low layer westerly (a) and easterly (b) cold air intrusion at the northern foot of Qinling Mountain in midsummer
(the color shaded for altitude,Unit: m)
4 结论与讨论
本文利用2021—2023年7—8月长安站风廓线雷达资料、气象站观测资料、ERA5再分析资料及多普勒雷达资料,分析了秦岭北麓盛夏典型突发性降水过程中低层风场的特征。得到如下结论。
(1)过程Ⅰ、过程Ⅱ和过程Ⅲ均发生在秦岭北麓一带,持续时间短且突发性强。3次过程发生在副热带高压配合低层冷空气侵入的环流背景下,降水发生前长安区大气呈显著不稳定状态,为突发性降水提供较好的能量条件。对流层中层垂直风切变弱,不利于形成大范围强盛的组织化对流,这是3次降水过程局地性强的主要原因。
(2)盛夏长安站低层风速总体呈单峰型变化,风速随高度先增加再减小,最大值出现在600~800 m高度,1 000 m高度以下平均风速不超过3.14 m·s-1。低层小时风速存在明显日变化,200~800 m风速存在2个明显加强时段,即清晨至上午、傍晚至夜间。盛夏长安站低层风向表现为随高度增加呈逆时针旋转,由西南风转为东南风。01:00—10:00,长安站低层以西南风为主;11:00—18:00,低层逐渐转为南风;19:00—21:00,低层转为东南风。
(3)3次降水过程发生前约4~6 h,长安站低层大气均存在冷空气侵入现象。过程Ⅰ和过程Ⅱ为偏西风冷空气侵入,过程Ⅲ是偏东风冷空气侵入。伴随低层冷空气持续侵入,长安站均出现不同强度的负变温及正变压,过程Ⅱ降温及变压幅度最大。在低层冷空气侵入的作用下,对流触发,强降水产生。
(4)低层冷空气的持续侵入在长安区产生强烈的低空中尺度锋生。过程Ⅱ锋生强度最大,过程Ⅲ相较过程Ⅰ和过程Ⅱ锋生区中心位置偏西,强度偏弱。当低层偏西冷空气侵入时,易受关中盆地中东部骊山及华山地形阻挡,强迫低层大气辐合抬升,促使降水增幅。过程Ⅰ和过程Ⅱ,低层偏西风从关中盆地西部侵入后,其前部存在风速风向辐合,加之受骊山及华山阻挡,在关中盆地中东部形成明显水平风场辐合区。过程Ⅲ低层偏东风从关中盆地东部侵入后,受关中盆地喇叭口地形约束及秦岭北麓地形阻挡作用造成的辐合抬升位置较前2个过程偏西偏南。
从本文分析可见,相较常规观测及再分析资料,高时空分辨率的风廓线雷达能够较好反映突发性降水过程中低层风场中小尺度变化过程。在西太平洋副热带高压控制下的突发性降水过程中,低层冷空气侵入的强度、持续时间与降水发生、结束时间及降水峰值密切相关。这一发现为深化秦岭北麓突发性降水过程中低层中小尺度系统演变的机理认识提供了有力支撑。由于本文结论是通过3次过程分析得到,秦岭及周边地区不同季节低层侵入冷空气的阈值指标具体是多少?如何深入应用新型大气垂直探测资料分析强降水的微物理过程?这有待后期布设更多的大气垂直探测仪器进行组网深入研究。
参考文献
1981—2020年陕西省暖季不同历时强降水时空变化特征
[J].利用1981—2020年陕西省暖季(5—9月)95个国家气象观测站小时降水量资料,结合多种数理统计方法分析4个历时(1 h、3 h、6 h、12 h)强降水的时空变化。结果表明:(1) 陕西省短历时强降水主要集中在7—8月,4个历时强降水高发区均位于陕南秦巴山区,稀发区位于关中平原中部和陕北长城沿线。(2) 各历时降水极值的空间差异均较大,历时越短,极值分布的局地性越强。(3) 近40 a,陕西省各历时强降水均呈增多增强趋势,尤以3 h强降水的增加最为显著。(4) 各历时强降水的趋势变化在空间上表现为非均一性,陕北黄河沿线和陕南中南部强降水呈增多趋势,陕北南部和关中平原中部呈减少趋势,且历时越短,强降水呈增多趋势的范围越大。(5) 强降水日变化南北不同,历时越短,强降水的日变化越明显,特别是陕北短历时强降水日变化最为突出,且在傍晚或夜间易发生强降水事件,其危害更大。
西北干旱区一次极端暴雨局地性增强的对流环境特征
[J].干旱地区极端降水事件往往会造成巨大的人员伤亡和经济损失,研究其演变特征及成因有利于提升该类天气的预报准确率。2022年8月13日西北干旱区甘肃省金塔县出现暴雨天气,日降水量和小时降水量均突破河西走廊国家级气象站历史极值,极端性、局地性特征显著。利用欧洲中期天气预报中心(European Centre for Medium-Range Weather Forecasts,ECMWF)第5代全球大气再分析产品ERA5和实况观测资料对其成因进行分析。结果表明:暴雨出现在稳定的南亚高压北侧,对流层中、高层动力强迫较弱,斜压系统主要位于低层,为500 hPa短波槽前的低层切变线和地面冷锋;青藏高原热低压外围的低层水汽持续输送,形成了暴雨区局地性的极端水汽条件和中等强度的层结不稳定;地面冷锋前部,酒泉中东部低层水汽输送的区域差异形成了明显的湿度锋区和干线;造成极端短时强降水的中-γ尺度对流系统由干线触发,在冷锋和干线的交叉点处发展为导致极端暴雨的深厚湿对流,干线对流单体发展到深厚湿对流过程具有显著局地性特征。
基于风廓线雷达的湖北梅雨期暴雨中小尺度特征
[J].针对2016年湖北梅雨期3次(“6·19”、“7·5”和“7·19” )暴雨过程,首先对比了汉口站探空数据与汉口、咸宁两个风廓线雷达站水平风速、风向,发现“6·19”和“7·5”过程汉口风廓线雷达站3 km以下水平风速和探空数据较为接近,而3次过程中咸宁风廓线雷达站8 km以下水平风向、风速和汉口站探空数据基本吻合。在此基础上利用风廓线雷达资料并结合常规、加密自动气象站资料,对3次过程中水平风场、平均垂直速度及其变率、水平风速垂直切变、大气折射率结构常数($C_{n}^{2}$)等进行分析。结果表明:(1)降水开始前西南风速明显增大,中层干冷空气入侵和地面冷池形成的中尺度偏东气流是“6·19”过程50站出现大于等于17.2 m·s <sup>-1</sup>大风的主要原因,“7·5”和“7·19”过程西南急流长时间维持及1 km以下的偏东气流则是短时强降水持续时间较长的诱因;(2)梅雨期暴雨期间风廓线雷达观测的水平风速垂直切变、平均垂直速度及其变率随高度变化较小,较强上升运动区域主要集中在4 km高度以下;(3) $C_{n}^{2}$显示强降水发生前大气水汽含量有一增加过程,且整层水汽含量深厚,$C_{n}^{2}$大值区的消失对应降水结束。
秦岭山脉南北麓暴雨触发条件对比分析
[J].采用实况气象观测资料、 FY-2G卫星云图资料、 多普勒雷达资料和ERA5 0.25°×0.25°逐小时再分析资料, 对2021年8月21 -22日同时发生在秦岭南北麓的强等级暴雨过程进行对比分析, 探讨秦岭南北麓暴雨触发条件的影响机制。结果表明: 秦岭北麓流场上, 西风带系统在秦岭特殊地形作用下, 对流层低层形成中尺度气旋性环流, 通过热力作用触发暴雨, 对流性降水持续时间短, 强度小; 湿斜压性增强是秦岭北麓暴雨开始的一个信号, 当湿斜压性减弱以及中层比湿减小时, 降水结束。对秦岭南麓而言, 地形作用下对流层低层流场形成中尺度辐合线触发暴雨; 降水释放的凝结潜热加热低层大气, 与中低层入侵的冷空气共同构建对流不稳定结构, 上升运动增强, 降水增强和持续; 对流云团在高温高湿的环境下迅速组织化合并发展, 形成中尺度对流复合体(MCC), 对流强度大, 对流层结深厚, 小时雨强大; 中低层冷空气的入侵和扩散到地面的时间分别与秦岭南麓强降水的开始和结束时间对应。
中国南北过渡带研究的十大科学问题
[J].秦岭-淮河一线在60 a前被科学地确定为中国南北分界线。此后中国地学科学家一直在探索分界线的具体位置和划分指标改进问题;随着数据的积累和认识的加深,还发现了一些新的科学问题。2017年启动的国家科技基础资源调查专项“中国南北过渡带综合科学考察”将秦岭-大巴山定义为中国南北过渡带的主体,拟全面系统地调查和研究其自然地理要素与资源问题,从而实现中国南北分界线研究的全面深化和突破。秦岭-大巴山具有多维地带性结构,表现出高度的过渡性、复杂性、多样性和敏感性。目前面临和需要研究的主要科学问题包括:① 南北分界线与南北过渡带的关系?② 暖温带与亚热带划分指标如何改进?③ 植被-土壤在南北方向上的渐变序列及其形成机理?④ 全球变化与地区关键生物气候指标空间变动的关系?⑤ 秦巴山地的多维地带性结构如何分解与综合?⑥ 秦巴山区生物多样性、特有性的格局与机理?⑦ 秦巴山地东西向廊道效应?⑧ 秦巴山地的区域环境效应及对国家生态安全的意义?⑨ 秦巴山地在中国历史发展中的特殊意义?⑩ 西秦岭的地理结构与华夏文明起源的关系?这些问题既是过去研究工作和认识的总结,也是未来一段时间内需要关注和研究的重点。希望这样的归纳和梳理对于中国南北过渡带和南北分界线的科学研究具有一定的启发和促进作用,为中国自然地理学理论发展、生物多样性和生态安全研究,甚至为华夏文明起源的研究提供新的视角和框架。
秦岭及周边地区暖季降水日变化及其成因分析
[J].利用三源降水融合资料和欧洲中期数值预报中心ERA5逐小时再分析数据, 分析暖季秦岭及周边地区的降水日变化特征及可能的成因。研究表明: 暖季秦岭南北降水日变化存在显著差异, 秦岭南部降水日峰值主要是盆地地形影响下的夜雨, 秦岭北部降水日峰值则是午后黄土高原上的昼雨。青藏高原东部延伸区、 黄土高原等大地形对研究区域长、 短时降水的空间分布贡献显著; 秦岭南部短时降水频率高, 但L3级降水强度相对较低, 北部L3级降水频率低、 强度大。盆地地形作用下夜间的山风与青藏高原南侧地形槽前定常西南暖湿上升气流叠加, 800 hPa以上上升运动异常加强, 形成多个铅直次级环流, 是秦岭南部夜雨特别显著的重要原因; 而白天受谷风的作用, 使得地形槽前上升气流减弱, 昼雨相对较少。午后热力作用加强, 南风上升气流与中上层西北风下沉气流在700 hPa附近交汇, 使得秦岭北部黄土高原午后强降水异常多发。
长安风廓线雷达测风资料的可靠性验证
[J].利用2014—2015年陕西西安泾河站L波段探空数据和ERA-Interim再分析资料,与同期长安站风廓线雷达数据进行对比分析,确定风廓线雷达数据的可靠性。结果显示风廓线雷达资料与L波段探空资料、ERA-interim再分析资料整体上相关性较好,相关系数随高度的增高而增大,在1 500~2 500 m之间达到显著相关。不同时刻数据对比结果显示风廓线雷达白天观测结果整体上优于夜间。从平均状态来看,风廓线雷达在描述平均态过程中与探空和再分析资料基本一致,即风廓线雷达数据可用于实际应用和研究。
西安连续两天短时暴雨的对流条件及触发机制对比分析
[J].2015年8月2 -3日西安地区连续两天出现了短时暴雨天气, 引发山洪和泥石流, 造成铁路中断和人员伤亡。本文利用常规观测资料、 卫星云图及西安站的多普勒雷达资料、 欧洲中期天气预报中心(ECMWF)再分析资料(0.25°×0.25°), 对两次过程的对流条件和触发机制进行对比分析。结果表明: 两天的对流条件有明显区别, 2日西安为副热带高压(简称副高)控制, 高温高湿, 地面温度达39 ℃, 能量充沛, 对流有效位能(CAPE)值大于2000 J·kg<sup>-1</sup>, 地面到850 hPa大气垂直温度递减率接近超绝热状态, 非常利于对流触发; 3日高原槽东移, 西安位于低槽和副高之间冷暖空气交汇区, 地面上陕北有冷锋南压, 近地面层不稳定度降低, 低层冷平流比2日有明显增强, 地面温度降至30 ℃, CAPE值800 J·kg<sup>-1</sup>。对比来看, 3日气温、 不稳定能量较2日有显著降低, 但天气尺度系统强迫更强。触发机制分析显示: 2日下午地面辐合线在延安触发对流, 向南移动过程中产生冷池, 出流的阵风锋在西安触发新生对流, 由于西安地区水汽含量大, 能量充足, 对流回波维持时间长, 产生短时暴雨, 1 h降水量高达47.2 mm, 而3日下午的暴雨是由冷锋触发, 强锋生区域与低层冷平流区域对应较好, 位于近地面层到850 hPa, 锋生次级环流诊断发现, 地面到850 hPa由于锋生造成的垂直运动, 使得气块克服对流抑制抬升到自由对流高度, 触发不稳定能量释放, 产生强降水, 冷锋南压过程中由于秦岭的阻挡作用, 在沿山北麓边界层形成急流, 沿着急流强雷暴单体不断生成并在向东移动过程中形成列车效应, 造成山区的大暴雨。
基于多源观测资料研究重庆地区一次风雹过程
[J].为认识风雹发生前后对流系统的热动力演变特征,加强新型探测资料在风雹监测预警中的应用,利用微波辐射计、风廓线雷达、多普勒雷达等观测资料,对2014年4月18日凌晨发生在重庆西部地区的一次强风雹天气过程进行分析。结果表明:此次风雹过程为典型的低层暖平流强迫类强对流天气,雷达回波悬垂特征和径向速度辐合明显。风雹发生前,微波辐射计反演的温湿度跃增明显,风雹发生前1.0~3.0 h,K指数、850 hPa与500 hPa假相当位温差(θ<sub>se850-500</sub>)、对流有效位能(Convective Available Potential Energy, CAPE)、0~3 km垂直风切变(Vertical Wind Shear,SHR<sub>0-3</sub>)等指数随时间临近明显递增,大气折射率结构常数(Cn<sup>2</sup>)在风雹发生前0.2~0.5 h达到波峰,风廓线雷达显示中低层的垂直速度随高度波动较大;多次风雹过程的参数共性显示,风雹发生前0~0.5 h,微波辐射计25.00 GHz亮温、Cn<sup>2</sup>和大气折射率结构常数面积( S C n 2)都有明显增加趋势,风雹发生前0~10 min, S C n 2均大于-500 dB·km阈值。观测站降雹时,垂直积分液态水和地面到高空的垂直速度差均达到最大,Cn<sup>2</sup>在中低层跃增大于阈值-120 dB。以上特征对识别风雹的发生有较好指示意义。
A comparison between polarimetric radar and wind profiler observations of precipitation in tropical showers
[J].
Combined wind profiler/polarimetric radar studies of the vertical motion and microphysical characteristics of tropical sea-breeze thunderstorms
[J].
Comparative analysis of SCMOC and models rainstorm forecasting performance in Qinling Mountains and their surrounding areas
[J].
Diagnostic analysis of multimodel rainstorm forecast for cases based on MODE method
[J].
Oceanic drivers and empirical prediction of interannual rainfall variability in late summer over Northeast China
[J].
Relationship between tropical Indian Ocean SSTA in spring and precipitation of Northeast China in late summer
[J].
/
| 〈 |
|
〉 |
