江西大气整层可降水量特征及其与暴雨的关系
Characterisation of total column water vapour in Jiangxi Province and its relationship with rainstorm
通讯作者: 肖安(1979—),男,江西南昌人,正高级工程师,主要从事中短期天气预报研究。E-mail:mrxiaoan@sohu.com。
责任编辑: 邓祖琴;校对:黄小燕
收稿日期: 2023-10-29 修回日期: 2024-05-27
| 基金资助: |
|
Received: 2023-10-29 Revised: 2024-05-27
作者简介 About authors
郑丽君(1990—),女,江西上饶人,高级工程师,主要从事天气预报研究。E-mail:karenzlj0818@163.com。
为提高江西暴雨预报准确性,基于1990—2022年欧洲中期天气预报中心第五代大气再分析(ERA5)资料、江西省国家气象观测站日降水资料和2023年逐时降水资料,分析江西省平均与暴雨日大气整层可降水量(Total Column Water Vapour,TCWV)分布特征,并确定了有助于预测江西区域性暴雨的TCWV阈值。结果表明:江西省暴雨日的TCWV呈现出明显的时空差异,月平均TCWV中12月、1月为20.0~36.0 mm,全年最低;7—8月可达64.0 mm以上,全年最高,主要集中在赣北和赣中的平原及丘陵地区。7—8月暴雨站点的月平均TCWV的中位数超过65.0 mm;8月最大值可达77.5 mm。暴雨期间,相关站点的TCWV在强降水前通常已达到或接近月平均值,强降水后下降至月平均值以下。暴雨日月平均TCWV值可作为预测该月江西区域性暴雨的阈值:若TCWV值接近或超过月平均值上限,极端降水发生的可能性增大。最大TCWV中心虽不完全与暴雨中心雨带位置重合,但通常位于其附近的高值区内,因此在强降水天气过程中,最大TCWV中心区域可作为预测暴雨雨带位置的重要参考。
关键词:
In order to improve the forecasting capability of rainstorm in Jiangxi Province, based on the fifth generation European Center for Medium Weather Forecasting (ECMWF) atmospheric Re-Analysis (ERA5) data of the global climate, the daily precipitation data of the national meteorological observation stations in Jiangxi Province from 1990 to 2022 and the hourly precipitation data in 2023, the average and rainstorm day mean of total column water vapour(TCWV)in Jiangxi Province were analyzed, and threshold criteria are given for determining the TCWV that is favorable to the occurrence of regional rainstorms in Jiangxi. The results show that the TCWV on rainstorm day in Jiangxi Province show obvious spatial and temporal differences. The monthly mean TCWV is 20.0 to 36.0 mm in December and January, the lowest in the year; it can reach 64.0 mm in July and August, the highest in the whole year, and is mainly concentrated in the plains and hilly areas in northern and central Jiangxi. The median monthly mean TCWV at rainstorm sites in July and August exceeds 65.0 mm; the maximum value of TCWV in August could reach 77.5 mm. During rainstorm, the TCWV at the relevant stations usually reached or approached the monthly mean before heavy precipitation, and decreased to below the monthly mean after heavy precipitation. The monthly mean TCWV value on the day of rainstorm can be used as a threshold for predicting regional rainstorm in Jiangxi during that month: if the value of TCWV is close to or exceeds the upper limit of the monthly mean, the probability of the occurrence of extreme precipitation in Jiangxi Province increases. The central area of the maximum TCWV does not exactly coincide with the location of the rain band at the central area of the rainstorm, but it is usually located within the high value zone near it, so the central area of the maximum TCWV can be used as an important reference for predicting the location of the rain band of the rainstorm during heavy precipitation weather.
Keywords:
本文引用格式
郑丽君, 肖安, 李浙华.
ZHENG Lijun, XIAO An, LI Zhehua.
0 引言
暴雨作为中国常见的气象灾害,影响范围广、强度大且易引发多种次生灾害,对人民生命财产造成严重威胁(马志敏等,2023)。随着全球气候变暖,极端暴雨事件也愈加频发(俞小鼎,2012;Kahraman et al.,2021;崔慧慧等,2023)。水汽是形成暴雨的关键因素(钱正安等,2018;阙志萍等,2021),其持续强劲的输送可为暴雨提供充足的水汽,并可能长距离输送(蔡荣辉等,2019;Xiong and Ren,2021)。研究表明,中国中东部季风区、梅雨带与水汽输送带高度相关(黄荣辉和陈际龙,2010;黄荣辉等,2011;江志红等,2013)。针对河南暴雨和四川持续性暴雨的研究表明水汽源地和输送通道与暴雨区域密切相关(饶晨泓等,2022;王佳津等,2023)。
然而,相较于水汽通量和水汽通量散度等更直观的物理量,大气整层可降水量(Total Column Water Vapour,TCWV)的应用相对较少。TCWV表示单位面积空气柱中所含有的水汽总量全部凝结后,会在气柱底部形成的水深(杨景梅和邱金桓,2002)。虽然大气可降水量是一个理想状态下的量,但提供了理解水汽与降水关系的一种视角。大气可降水量的变化与降水强度的直接相关性较低,因为实际降水受多种因素影响,并非所有的水汽都会转化为降水(孙继松,2017;Mukhopadhyay et al.,2021)。研究表明,即使在强降水中,大气可降水量的峰值也不一定与降水峰值完全对应(Young et al.,2020;徐爽等,2023)。尽管如此,大气整层可降水量的极值常常预示着可能的强降水事件,如2022年黄土高原2次暴雨中观测的大气可降水量分别为43、47 mm(陈小婷,2022),2021年河南特大暴雨中大气可降水量超过70 mm(崔晓鹏和杨玉婷,2022)。
1 资料和方法
1.1 资料来源
1)降水观测资料来自中国气象局国家信息中心的“天擎”平台,包括1990—2022年江西省93个国家气象站在暴雨日的24小时降水量(08:00—08:00),以及2023年江西暴雨日的1 h、12 h、24 h累计降水量。2)网格大气整层可降水量数据来自欧洲中期天气预报中心(European Centre for Medium-Range Weather Forecasts, ECMWF)第五代大气再分析资料(ERA5)中的大气整层可降水量TCWV数据,所用资料时间段为1990—2023年,其中1990—2022年的数据用于逐月和暴雨日逐时统计分析,2023年的数据用于具体的暴雨事件逐时分析。该数据在中国中东部地区的TCWV分析中误差较小,可满足研究需要(冉令坤等,2021;汤彬等,2023)。文中所有时间均为北京时。
图1
图1
江西省地形及93个国家气象观测站空间分布
Fig.1
The topograhy and spatital distribution of 93 national meteorological observation stations in Jiangxi Province
1.2 暴雨日选取及TCWV计算方法
定义江西省国家站降水日值数据中出现10站及以上暴雨(降水量≥50 mm)为一个暴雨日,经统计,1990—2022年江西省共有550个暴雨日。暴雨日的平均TCWV为08:00、14:00、20:00、次日02:00四个时次TCWV的平均值。具体暴雨事件分析中,暴雨站点累计降水量≥50 mm且≤99.9 mm,大暴雨站点累计降水量≥100 mm。
采用双线性插值法将ERA5再分析资料中的逐时TCWV插值到观测站点作为站点的逐时数据,并将暴雨日的月平均降水量也通过插值方法得到站点的暴雨日月平均降水量。在评估年际分布特征时,根据需要对年值进行高斯滤波(徐元泰和丁一汇,1988;李方腾等,2021),以过滤掉一些年代际等特征的干扰。使用箱线图描述暴雨站点的TCWV月平均特征时,可能有数据比上限高(或比下限低),普通箱线图称之为“异常值”。但这些数据都是历史上出现过的真实值,并不是错误数据,因此本文称之为“极端值”。文中,3—5月为春季,6—8月为夏季,9—11月为秋季,12月—次年2月为冬季;赣北、赣中、赣南分别指江西省28.0°N以北、26.5°N—28.0°N及26.5°N以南的地区(赵文灿等,2018)。
2 TCWV的时空分布特征
图2
图2
1990—2022年江西省年平均TCWV空间分布(单位:mm)
注:基于国家测绘地理信息局标准地图服务网站下载的审图号为GS(2017)3320号的标准地图制作,底图边界无修改,下同。
(粗实线范围为江西省,下同)
Fig.2
The spatial distribution of annual mean TCWV in Jiangxi Province during 1990-2022 (Unit: mm)
(The thick solid line is the range of Jiangxi Province, the same as below)
图3
图3
1990—2022年江西省春(a)、夏(b)、秋(c)、冬(d)季平均TCWV空间分布(单位:mm)
Fig.3
The spatial distribution of mean TCWV in spring (a), summer (b), autumn (c), and winter (d) in Jiangxi Province during 1990-2022 (Unit: mm)
从1990—2022年江西省TCWV的月平均空间分布(图4)可看出,1月,TCWV分布与冬季相似,东北部地区为12~16 mm,其他地区低于20 mm;2月,TCWV开始增大,东部地区增大至16~20 mm,西部则超过20 mm;3月TCWV分布与春季相似,大部分地区的TCWV增加到24~28 mm,罗霄山脉的井冈山地区出现低值中心;4、5月,TCWV进一步增加;6月,受南海季风影响,江西省TCWV明显增加,赣东北增大至48 mm,其余地区的TCWV可达52 mm以上;7月达到全年最大,为50~56 mm,赣东北从低值中心突变为高值中心;8月,TCWV开始下降,9、10月明显减少,11月进一步降低,12月则与1月相似。
图4
图4
1990—2022年江西省1—12月平均TCWV空间分布(单位:mm)
Fig.4
The spatial distribution of monthly mean TCWV in Jiangxi Province from January to December during 1990-2022 (Unit: mm)
3 暴雨日TCWV的时空分布特征
3.1 暴雨日TCWV的分布特征
1990—2022年江西省暴雨日的年平均TCWV呈东北—西南向分布(图5)。西北部的幕连九山脉和赣南南部的暴雨日TCWV最小,不足44 mm;赣北和赣中东部地区则较高,一般为52~56 mm,部分地区甚至超过56 mm。表明区域性暴雨发生时TCWV在赣北、赣中东部地区明显增加,这两个区域,特别是上饶和抚州,也是江西省暴雨日数最多的地区。此外,江西省暴雨日TCWV的年平均最大值与最小值之差为12 mm,这表明其分布不均,存在一定的地理差异。
图5
图5
江西省1990—2022年暴雨日年平均TCWV空间分布(单位: mm)
Fig.5
The spatial distribution of annual mean TCWV on rainstorm day in Jiangxi Province during 1990-2022 (Unit: mm)
春季,江西暴雨日的平均TCWV在中部地区较高,通常大于44 mm,而周围山区为40~44 mm。罗霄山脉的井冈山地区低于36 mm,为全省最低[图6(a)]。夏季,暴雨日的平均TCWV大值中心位于赣北,最大值超过64 mm,明显高于春季;赣中、赣南地区为56~62 mm,井冈山地区仍然最低,约为48 mm[图6(b)]。秋季的分布与春季相似,但数值普遍比春季高6 mm左右[图6(c)]。冬季,暴雨日平均TCWV明显降低,并呈东北—西南向分布,西北地区最低,低于24 mm,而赣中东南部和赣南地区较高,超过32 mm,是暴雨日平均TCWV最小的季节[图6(d)]。这也与江西暴雨的气候特征相符(金米娜,2009;唐传师等,2021)。此外,赣中东南部和赣南地区冬季的暴雨日平均TCWV明显高于同一地区的平均TCWV,表明这些地区在冬季需要更充足的水汽条件,才能触发区域性暴雨天气。
图6
图6
1990—2022年江西省春(a)、夏(b)、秋(c)、冬(d)季暴雨日平均TCWV空间分布(单位:mm)
Fig.6
The spatial distribution of mean TCWV on rainstorm day in spring (a), summer (b), autumn (c), and winter (d) in Jiangxi Province during 1990-2022 (Unit:mm)
从1990—2022年江西省暴雨日月平均TCWV空间分布(图7)可看出,1月,暴雨日平均TCWV为全年最低,其中,赣北、赣中、赣南地区分别为20~26、26~32、32~36 mm。2月,赣北、赣中地区的TCWV有所增加,但赣南仍然为32~36 mm;3月,全省暴雨日平均TCWV开始普遍增加,赣北、赣中地区增至32~36 mm,赣南首次超过36 mm;4—5月,江西的暴雨日平均TCWV在数值和空间分布上与春季特征相似,其中5月江西中部地区的暴雨日平均TCWV超过52 mm;随着夏季风的影响加剧,6—7月,暴雨日的平均TCWV中心从赣中转移至赣北(并维持至9月),月内最高值分别突破62、66 mm,而赣南地区维持在56 mm左右,整体呈北多南少;8月暴雨日平均TCWV为全年最大,其中赣北地区大部分大于64 mm,而赣中、赣南大多为56~62 mm;9月,赣北暴雨日平均TCWV回落至60 mm左右,赣中、赣南也降至58 mm左右;10月,全省暴雨日TCWV明显下降,赣北仅为40~46 mm,赣中、赣南为46~50 mm;11月,江西大部分地区的暴雨日平均TCWV降至40~44 mm;12月,暴雨日平均TCWV进一步下降,赣北为28~36 mm,赣中、赣南不超过38 mm。
图7
图7
1990—2022年江西省1—12月暴雨日月平均TCWV空间分布(单位:mm)
Fig.7
The spatial distribution of monthly mean TCWV on rainstorm day in Jiangxi Province from January to December during 1990-2022 (Unit: mm)
3.2 暴雨站点TCWV分布特征
对1990—2022年共计550个暴雨日进行统计(图8)后发现,1—2月暴雨站点平均TCWV为全年最低,中位数分别为29.4、30.6 mm;3月中位数为35.8 mm,明显高于前2个月,其上、下限值也有所增加;4—6月,暴雨站点的平均TCWV逐月增加,且增幅明显,其中位数分别为46.3、54.3、62.0 mm;6—9月,暴雨站点的平均TCWV中位数均在60.0 mm以上,其中7—8月中位数均超过65.0 mm,8月的平均值为全年最高,单站最大值达77.5 mm,为1990—2022年所有暴雨日站点记录中的最高值;9月开始,站点平均TCWV中位数开始快速下降,到12月,中位数降至36.8 mm,略高于3月。
图8
图8
1990—2022年江西省暴雨日站点平均TCWV箱线图月际变化
Fig.8
Monthly variation of the mean TCWV boxplot at stations during rainstorm day in Jiangxi Province during 1990-2022
4 典型暴雨日TCWV的时空变化特征
选取江西省2023年的5月4—6日、6月22—24日、7月22日3次暴雨天气过程进行验证分析,此3次暴雨天气过程为2023年江西省发生的典型区域性暴雨过程,降水强度大、范围广。
在较强降水前后,TCWV随天气系统变化呈两种情况:一种是某时段内TCWV较大且伴有较强降水,而其他时段TCWV较低,无明显降水;第二种是TCWV持续较高,导致较强的累积降水,但小时降水可能并不大。对于第一种情况,若简单取整个时段内的TCWV平均,可能掩盖实际的极端天气情况。因此,在分析中,选取各时段内最大TCWV格点数值,与站点累积降水量进行对比。
4.1 2023年5月4—6日江西省连续性大暴雨过程
2023年5月4日20:00—6日19:00,受西南暖湿急流和北方冷空气南下影响,江西连续两天出现暖区暴雨天气过程(图9),其中4日20:00—5日07:00,暴雨主要位于赣北地区;5日08:00—19:00,暴雨转移至赣中西北部;5日20:00—6日07:00,暴雨在赣中北部;6日08:00—19:00,暴雨在赣南、赣中北部。在此期间,湖南和江西因冷暖空气对峙形成缓慢南压的静止锋,导致两省出现大范围暴雨、大暴雨。850 hPa锋区以南100~300 km区域出现典型的暖区暴雨(陈玥等,2016)。4日20:00—5日07:00,江西最大TCWV分布北多南少,大部分暴雨站点分布在52 mm以上的大值区内,部分站点的TCWV超过60 mm。5月暴雨日平均TCWV全省为52 mm、赣北北部约为50 mm,此次大暴雨过程中29°N以北地区的TCWV比平均值高8~10 mm,28°N—29°N之间大暴雨的TCWV比月均值大8 mm,其他地区与月均值相当;雨带位于TCWV高值中心南侧。5日08:00—19:00,主雨带南移,大暴雨中心与TCWV高值中心重叠,TCWV中心值超过64 mm,雨带仍位于TCWV中心南侧。5日20:00—6日07:00为暴雨最强阶段,TCWV中心值达68 mm,比5月平均值高16 mm,与33 a来的TCWV最大值持平;这一阶段有较多站点出现暴雨、大暴雨,主雨带仍位于TCWV高值中心南侧。6日08:00—19:00,主雨带南压至赣南地区,TCWV高值中心也逐渐南压至27°N以南地区,TCWV比5月平均值高12~16 mm,赣南因此出现暴雨、大暴雨;雨带同样位于TCWV中心南侧。
图9
图9
2023年5月4日20:00—5日07:00(a)、5日08:00—19:00(b)、5日20:00—6日07:00(c)、6日08:00—19:00(d)最大TCWV(等值线,单位:mm)及暴雨、大暴雨站点分布
(红色箭头处依次为铜鼓、乐安、崇仁和信丰站位置)
Fig.9
Distributions of maximum TCWV (isolines, Unit: mm) and stations with rainstorm and heavy rainstorm from 20:00 on May 4 to 07:00 on May 5 (a), 08:00 to 19:00 on May 5 (b), 20:00 on May 5 to 07:00 on May 6 (c), 08:00 to 19:00 on May 6 (d), 2023
(The red arrows indicate the locations of Tonggu, Le An, Congren and Xinfeng station, respectively)
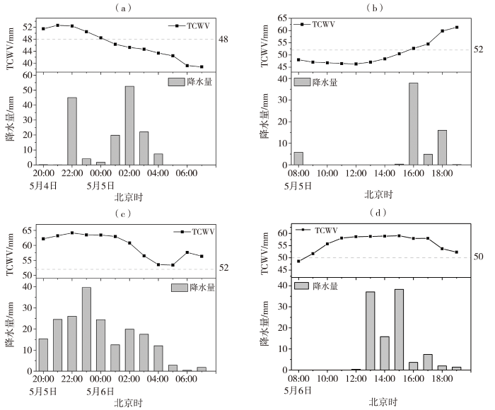
以各阶段降水量最大的国家站为代表,讨论暴雨发生期间TCWV和降水量的逐小时变化特征(图10)。5月4日20:00—5日07:00,铜鼓站TCWV从51.5 mm下降至38.8 mm,比月平均值48.0 mm少近10.0 mm,但该站在此时段内出现了3次20.0 mm·h-1以上的短时强降水。5日13:00,乐安站TCWV迅速上升;16:00超过52.0 mm,乐安站开始出现较强降水;19:00乐安站TCWV达61.3 mm,12 h累计降水量达到暴雨级别。5日20:00—6日07:00,崇仁站降水量最大,5日20:00崇仁TCWV达62.2 mm,比月均值高10.0 mm;6日04:00 TCWV下降至53.5 mm,仍然高于月均值,随后小幅上升。6日09:00,信丰站TCWV超过月均值,TCWV升高至58.8 mm后开始出现较强降水;16:00,TCWV下降,降水量也随之减少。
图10
图10
2023年5月4日20:00—5日07:00铜鼓(a)、5日08:00—19:00乐安(b)、5日20:00—6日07:00崇仁(c)、6日08:00—19:00信丰(d)小时降水量和TCWV
(虚线为站点TCWV月均值)
Fig.10
The hourly precipitation and TCWV of station from 20:00 on May 4 to 07:00 May 5 at Tonggu (a), 08:00 to 19:00 on May 5 at Le An (b), 20:00 on May 5 to 07:00 on May 6 at Chongren (c) and 08:00 to 19:00 on May 6 at Xinfeng (d), 2023
(The dotted lines represent the monthly mean TCWV of the stations)
4.2 2023年6月22—24日和7月22日暴雨天气过程
受高空槽、西南气流和低层切变线共同影响,2023年6月22日08:00—25日07:00江西连续3 d出现暴雨(图11)。22日08:00—23日07:00,暴雨区域位于赣北南部至赣南北部地区;23日08:00—24日07:00,暴雨区域位于赣东北至赣中西部;24日08:00—25日07:00,暴雨主要出现在赣北、赣中地区。22日,赣中地区的TCWV中心值超过68 mm,高于6月暴雨日月均值8 mm,但低于5月5日最大TCWV的增幅(16 mm),6月22日暴雨强度未达5月5日水平。暴雨普遍发生在TCWV超过60 mm的区域,与赣中地区6月暴雨日的平均TCWV阈值相符。23日,大暴雨主要出现在TCWV高值中心东北侧。
图11
图11
2023年6月22日08:00—23日07:00(a)、23日08:00—24日07:00(b)、24日08:00—25日07:00(c)、7月22日08:00—23日07:00(d)最大TCWV(等值线,单位:mm)及暴雨、大暴雨站点分布
(红色箭头处依次为婺源、余江、黎江和萍乡站位置)
Fig.11
Distributions of maximum TCWV (isolines, Unit: mm) and stations with rainstorm and heavy rainstorm from 08:00 to next 07:00 on June 22 (a), June 23 (b), June 24 (c), and July 22 (d), 2023, respectively
(The red arrows indicate the location of Wuyuan, Yujiang, Lijiang and Pingxiang station, respectively)
7月22日08:00—23日07:00,受高空槽和低层切变线的共同影响,赣北、赣中地区出现区域性暴雨,萍乡降水最强。此次暴雨主要发生在TCWV超过 68 mm(超过7月均值约4 mm)的区域,少部分在64~68 mm范围内。
从TCWV和降水量的逐小时变化(图12)可看出,6月22日08:00婺源TCWV较低,但15:00已超过月均值,并持续增加,16:00出现持续型降水。23日01:00,婺源的雨强达23.4 mm·h-1,与TCWV高值出现时段一致。23日,余江全天TCWV均超过月均值,虽未出现短时强降水,但当日累计降水量达124.2 mm。23日08:00—13:00,黎川TCWV逐渐上升至62.5 mm,与强降水变化较为一致,随后TCWV下降至月均值以下,降水量也相应减少并最终停止。7月22日09:00—23日08:00,萍乡的TCWV呈增长趋势,14:00超过月均值;23日06:00—07:00达最大值,与短时强降水的发生一致。
图12
图12
2023年6月22日08:00—23日07:00婺源(a)、23日08:00—24日07:00余江(b)、24日08:00—25日07:00黎川(c)和7月22日08:00—23日07:00萍乡(d)小时降水量和TCWV
(虚线为站点TCWV月均值)
Fig.12
The hourly precipitation and TCWV of station from 08:00 to next 07:00 on June 22 at Wuyuan (a), June 23 at Yujiang (b), June 24 at Lichuan (c), and July 22 at Pingxiang (d), 2023
(The dotted lines represent the monthly mean TCWV of the stations)
综上,TCWV与暴雨关系密切,其暴雨日月均值可作为判断暴雨天气的参考阈值,当TCWV超过月均值越多,出现暴雨的概率越大;当TCWV接近或超过历史极值时,极端暴雨的风险增大。然而,需要注意的是,TCWV反映的是整层大气中水汽的含量,山区的TCWV可能较低,但并不意味着山区降水量一定较少。暴雨的准确预测还需结合其他气象条件进行综合分析。
5 结论和讨论
本文使用1990—2022年ERA5再分析资料、江西省国家气象观测站日降水资料和2023年逐时降水资料,对过去33 a江西省年、季、月平均TCWV的空间分布特征进行了详细分析;同时,通过研究近33 a 550次区域性暴雨过程,探讨江西省在暴雨发生时TCWV的特征,得到以下主要结论。
(1)江西省大部分地区的年平均TCWV为32~36 mm,赣北北部地区低于32 mm。春、秋季西高东低,为28~36 mm;夏季超过54 mm,冬季约为16 mm。暴雨日的年平均TCWV为44~56 mm,赣西北地区较少,赣东南地区较大。春、秋季的暴雨日TCWV为44~48 mm,夏季可达56~64 mm,冬季为24~34 mm。
(2)全省月平均TCWV从1月的16 mm逐渐增加至6月的52 mm,7—8月可达56 mm,之后迅速下降至12月的16 mm。暴雨日的月平均TCWV在1月为20~36 mm,7—8月可达64 mm以上,集中在赣北、赣中平原地区。之后逐渐下降至12月的28~36 mm。
(3)1—2月暴雨日站点TCWV最小,随后逐渐增加,7、8月的中位数值分别为65.3、65.8 mm,8月最大可达77.5 mm,为全年最大。随后逐月下降至12月的36.8 mm。
(4)暴雨站点的TCWV通常在较强降水发生前达到或接近暴雨日的月平均值;较强降水结束后,TCWV通常降至暴雨日月平均值以下。当暴雨站点TCWV接近或超过月均值的极值时,极端降水的可能性增加。因此,暴雨日的月平均TCWV可作为预测区域性暴雨的有效阈值。在暴雨天气过程中,当站点TCWV超过月平均值后,TCWV大值时段与较强降水出现时段较为一致;暴雨和大暴雨雨带位置与TCWV中心虽不完全重合,但都出现在TCWV中心附近的高值区内,因此在强降水天气过程中TCWV中心区域可以作为预报暴雨和大暴雨雨带位置的重要参考依据。
此外,地形对TCWV有明显影响。山区站点如铜鼓站的数据显示,其在暴雨过程中的TCWV与平均值有较大偏差,表明山区暴雨的水汽条件较为复杂。
参考文献
四种全球大洋水汽数据产品的比较分析
[J].文章比较了卫星专用传感器微波成像仪/探测仪(SSM/I&SSMIS)、遥感系统数据集(RSS V7R01)、欧洲中期天气预报中心第5代再分析数据(ERA5)和现代回顾分析的研究与应用第2版数据(MERRA-2) 4种观测和再分析资料在刻画全球大洋水汽气候态中的异同点, 初步探究了不同尺度的大气柱水汽总量(TCWV)的变化特征和长期趋势。研究结果表明, 4种数据TCWV的空间分布、季节和年际变化较为一致。从1988至2018年, TCWV总体呈增加趋势, 其中热带海洋的年际变化显著, 增加趋势较强, 且和厄尔尼诺-南方涛动(ENSO)高度相关。利用再分析数据做短时间(如1991—1997年)的TCWV趋势分析时要慎重使用ERA5和MERRA-2的数据。在研究热带区域长期水汽变化趋势时, 需谨慎使用MERRA-2的数据。
黄土高原两次不同类型暴雨水汽特征分析
[J].为深入认识西北半干旱区暴雨的水汽特征及来源,提高该地区暴雨预报能力,利用高空及地面观测资料、欧洲中期天气预报中心(European Centre for Medium-Range Weather Forecasts, ECMWF)第5代全球大气再分析产品——ERA5(0.25°×0.25°)对2022年7月11日、8月9日陕北两次不同环流背景下、不同强度大范围暴雨过程的水汽输送及收支特征进行分析,并利用HYSPLIT (Hybrid Single-Particle Lagrangian Integrated Trajectory)模型,定量分析水汽来源及贡献率。结果显示:高空槽、低层切变线及低涡、低空急流是7月11日暴雨过程的主要影响系统,700 hPa气旋式辐合、850 hPa低涡加强并缓慢移动造成区域性暴雨;短波槽、低层切变线是8月9日暴雨过程主要影响系统,切变线两侧次级环流抬升西太平洋副热带高压(简称“西太副高”)外围暖湿气流,触发不稳定能量释放,形成大范围对流性暴雨天气。7月11日地面至300 hPa水汽输送更强,700 hPa西南急流和850 hPa东南急流形成两支明显的水汽输送带,强辐合维持时间更长,湿层深厚,以稳定性降水为主;8月9日受副热带高压控制,陕北高温、高湿,整层可降水量大,水汽输送较弱,强辐合维持时间短,湿层较薄,但能量充足,以对流性降水为主。7月11日水汽净收入主要来自地面至500 hPa,其中800~500 hPa占比52%,降水加强阶段800 hPa以下东边界的收入迅速增加,纬向收入增加和强的经向收入共同作用使区域净收入维持高值,产生区域性暴雨;8月9日净收入几乎全部来自经向收入,水汽净收入主要来自地面至800 hPa(占比88%),700 hPa切变线南压,榆林北部辐合增强,南风出流减少,水汽经向收入明显增多,暴雨加强。HYSPLIT模型水汽输送轨迹显示7月11日水汽主要源自热带海洋,其中来自南海的水汽贡献率最大,本地及周边近地层高比湿大气也有重要贡献;8月9日水汽主要源自内陆近地层高比湿大气,其次为源自南海的水汽。
云南一次强对流暴雨天气学成因分析
[J].为提高暴雨预报准确率,减少暴雨致灾损失,基于地面常规气象观测资料、卫星云图反演的云顶亮温(Black Body Temperature, TBB)资料及美国国家环境预报中心(National Centers for Environmental Prediction, NCEP)再分析资料,对2017年8月云南一次强对流暴雨成因进行分析。结果表明:500 hPa低槽东移、700 hPa切变线南压、地面冷锋西推是此次降水过程发生的天气背景;中-β、中-α尺度对流系统(Mesoscale Convective System, MCS)是产生强对流暴雨的直接系统,强降雨主要出现在TBB梯度大值区;MCS与700 hPa切变线关系最为密切,切变线位于滇中以东地区,MCS呈椭圆状,沿切变线附近及后部发展,切变线靠近哀牢山或翻越后,MCS呈西北—东南向带状分布,沿切变线前部发展;切变线翻越哀牢山前,白天移动较快,主要产生雷暴天气,夜间移动缓慢,降雨较强;强对流暴雨需重点关注水汽通量辐合大值区、800 hPa与500 hPa温差大于20 ℃区域;强降雨时段,整层大气均为上升运动,强降雨区维持低层辐合、中高层辐散的动力抽吸机制。
中国西北旱区暴雨水汽输送研究进展
[J].为突破中国西北旱区水汽输送分析分歧大、难深入的瓶颈,本文在梳理、剖析以前工作的基础上,先重点分析、评述了西北核心旱区夏秋季及晚春暴雨的水汽源地、水汽输送路径和模型的研究进展,也指出仍存在的问题。主要结论如下:(1)西北区范围大,地形分隔明显,不同季节各地的降水环流变化也大,各地的水汽源地等差异大是合理的,应分区分季节分别研究。(2)先就西北区东、西部分别简洁地总结了该两区夏季主雨、主干旱的盛行组合环流型。(3)在夏秋季我国东部、河西走廊地区先后相继出现副热带高压(简称副高)西伸、偏东风等特定有利流型下,台海水汽能借助西伸副高南侧的东南风急流等三支急(气)流,沿一逆“之”字形路径,被接力输送到西北核心旱区,再与北方槽冷空气交绥致雨。即核心旱区的主要水汽源地在台海区,其水汽输送动态过程详图也被构建。那是核心旱区夏秋暴雨水汽输送的主要型态之一。(4)在春季,特别是晚春,若孟湾、我国东部及河西分别相继出现孟湾西南气流、晚春南下弱冷高压阻挡及河西偏东风流型背景下,孟湾水汽亦能借助孟湾西南急流等三支急(气)流,沿环绕高原东边缘的半圆形路径,被“三棒接力”输送到核心旱区致雨。即:孟湾也是影响西北核心旱区春季,特别是晚春暴雨的另一重要水汽源地。
四川盆地一次持续性暴雨的水汽输送特征
[J].为深入认识四川盆地持续性暴雨的水汽特征及来源,提高该地区暴雨预报能力,利用四川省4 955个国家级及区域级自动气象站资料、全球资料同化系统(Global Data Assimilation System, GDAS)资料、欧洲中期天气预报中心(European Centre for Medium-Range Weather Forecasts,ECMWF)第五代大气再分析资料(ERA5),基于拉格朗日方法对四川盆地2020年8月的一次持续性暴雨过程的水汽输送特征进行了分析。结果表明:强降水开始前和强降水过程中,不同起始高度层水汽输送特征有所不同。中高层起始高度(5 500~10 000 m),强降水开始前气团轨迹源地主要为低纬洋面,而在强降水过程中调整为地中海南岸并为盆地带来中高纬西风带干冷空气;中低层起始高度(1 500~5 500 m),降水过程中气团轨迹源地由地中海南岸逐渐调整为低纬洋面并为盆地带来低纬洋面暖湿空气;低层起始高度(地面至1 500 m),强降水开始前轨迹源地率先调整为低纬洋面并为盆地输送比中低层更为暖湿的气流。统计不同源地水汽贡献率可知,孟加拉湾—泰国湾的水汽占主导(66.6%)、阿拉伯海次之(23.9%)、中国南海最低(9.5%)。
江西省降水日变化时空分布特征
[J].对江西省逐小时降水、短时强降水时空分布特征进行较详细研究,可以提供降水、短时强降水的气候变化背景。利用1979—2019年3—11月江西省86个国家气象站逐小时降水资料,对江西省小时降水、短时强降水的比率、频率日变化特征进行分析。结果表明:(1)江西省降水、短时强降水的比率和频率日变化呈较明显的双峰型特征,第一峰值均出现在15:00—20:00(北京时,下同),次峰值均出现在05:00—10:00。(2)降水和短时强降水的比率、频率日最大值空间分布均呈南高北低趋势,而日最小值空间分布大致为南低北高趋势。时间分布上,江西大部分地区降水比率日最大值出现的时段为15:00—20:00,日最小值主要出现在20:00至次日03:00。(3)江西南部降水比率的日分布特征为单峰型,峰值出现在15:00—20:00;北部以双峰型为主,峰值分别出现在05:00—10:00和15:00—20:00,而环鄱阳湖地区为单峰型,峰值出现在05:00—10:00。(4)不同季节降水比率、频率日变化特征存在略微差异,降水比率和频率的双峰型结构均开始于4月下旬,但降水比率结束于6月上旬,降水频率结束于6月中旬。降水比率、频率在其他时间均为单峰型结构。其中,3月至4月中旬、9月下旬到11月峰值分别出现在00:00—10:00和05:00—10:00,6月下旬至9月中旬峰值主要出现在15:00—22:00。短时强降水比率和频率的日变化在3月至4月上旬为单峰型,峰值主要出现在00:00—10:00;4月中旬至7月中旬以双峰型为主,峰值主要出现在05:00—10:00和15:00—20:00;7月下旬至9月中旬又转为单峰型,峰值主要出现在15:00—20:00。
Quasi-stationary intense rainstorms spread across Europe under climate change
[J].
Unraveling the mechanism of extreme (more than 30 Sigma) precipitation during August 2018 and 2019 over Kerala, india
[J].
Contribution of atmospheric rivers to precipitation and precipitation extremes in East Asia: Diagnosis with moisture flux convergence
[J].
Comparison of short-period daytime convective rainfall accumulations with total column precipitable water: Derivation of an operational forecasting technique
[J].
/
| 〈 |
|
〉 |
