多模式对四川盆地强降水过程的预报性能检验
Performance verification of multi-model heavy rainfall processes prediction in the Sichuan Basin
通讯作者: 杨康权(1985—),男,广东湛江人,硕士,正高级工程师,主要从事中小尺度天气研究及数值预报释用。
E-mail:154394478@qq.com。
责任编辑: 王涓力;校对:黄小燕
收稿日期: 2022-10-27 修回日期: 2023-06-18
| 基金资助: |
|
Received: 2022-10-27 Revised: 2023-06-18
作者简介 About authors
龙柯吉(1987—),女,四川眉山人,硕士,正高级工程师,主要从事天气学与数值预报方向的研究。E-mail:longkeji945@163.com。
为进一步认识当前数值预报模式的预报能力,选取2018—2020年发生在四川盆地的47次强降水过程进行分型,再基于多源降水融合产品和地面观测资料,通过TS评分、时空滑动等方法对欧洲中期天气预报中心(European Centre for Medium-Range Weather Forecasts,ECMWF)数值预报模式、国家气象中心区域中尺度数值预报模式(China Meteorological Administration Mesoscale Model,CMA_MESO)和西南区域数值预报系统(Southwest Center WRF ADAS Real-time Modeling System,SWC_WARMS)在强降水过程范围、强度、极值、时间和位移偏差等方面的预报能力进行检验评估。结果表明,各模式08:00(北京时,下同)预报优于20:00预报,ECMWF对中雨和大雨预报更优,SWC_WARMS的暴雨量级评分更高。各模式对中雨的预报范围普遍较实况偏大,随着降水量级增大,逐渐转为低估,其中SWC_WARMS更接近实况。对于降水强度,ECMWF和CMA_MESO的平均降水量和极值普遍较实况偏小,SWC_WARMS更接近实况。3种模式时间偏差不明显,仅个别起报时次有-6~3 h的时间偏差;ECMWF的位移偏差最小,纬向上ECMWF和SWC_WARMS以偏北为主,经向上ECMWF以偏西为主,CMA_MESO和SWC_WARMS以偏东为主。
关键词:
In order to further understand the prediction ability of current numerical prediction models, this paper selects 47 heavy rainfall processes that occurred in the Sichuan Basin from 2018 to 2020 and classifies them, then based on merged precipitation products and ground observation data, the prediction ability of European Centre for Medium-Range Weather Forecasts (ECMWF), China Meteorological Administration Mesoscale Model (CMA_MESO) and Southwest Center WRF ADAS Real-time Modeling System (SWC_WARMS) models in the range, intensity, extreme value, time and displacement deviation of heavy rainfall processes is validated and assessed by using threat score, space-time sliding and other methods. The results show that the 08:00 (UTC+08:00) prediction of each model is better than the 20:00 (UTC+08:00) prediction, the ECMWF is better in moderate rain and heavy rain prediction, the SWC_WARMS has a higher score in the rainstorm prediction. The prediction range of moderate rain by various models is generally larger than the actual, and gradually turns to underestimate with the increase of magnitude, in which SWC_WARMS is closer to the actual. For rainfall intensity, the average precipitation and extreme value of ECMWF and CMA_MESO are generally smaller than the actual, and the prediction of SWC_WARMS is closer to the actual. The time deviation of predictions of three models is not obvious, only a few initial forecast times have a time deviation of -6 to 3 h, the displacement deviation of ECMWF products is the smallest, the prediction of ECMWF and SWC_WARMS are mainly northerly in latitudinal direction, while in meridional direction, the prediction of ECMWF is mainly to the west, and the predictions of CMA_MESO and SWC_WARMS are mainly to the east.
Keywords:
本文引用格式
龙柯吉, 杨康权, 康岚.
LONG Keji, YANG Kangquan, KANG Lan.
0 引言
进入21世纪以来,在全球气候变暖的大背景下,极端天气事件发生频率越来越高,特别是极端强降水天气,在全球范围内呈普遍增加趋势(Griffiths and Bradley,2007;Alexander,2016;李银娥等,2019;Zhang and Zhou,2019)。近年来,我国强降水天气也越来越频繁,洪涝、山洪、泥石流、滑坡等次生灾害时常发生,严重威胁人民生命财产安全(Zhai et al.,2015;龙妍妍等,2016;Sun and Zhang,2017)。四川地区处于我国第一、二、三级阶梯过渡带,地势高低悬殊,山谷交错,河网密布,水系众多,复杂的地形地貌、充沛的水汽条件及多变的天气系统使该地成为孕育暴雨洪涝灾害的天然温床。多年来,针对四川地区强降水专家学者们开展了不间断的研究(段静鑫等,2018;周秋雪等,2019;肖递祥等,2020;师锐等,2021;肖红茹等,2021;陈得圆等,2022),努力提升预报预测质量,以减少灾害造成的社会经济损失。高原涡、西南涡、切变线、低空急流等复杂的天气系统加大了四川地区强降水的预报预测难度(肖红茹等,2009;师锐等,2015;杨康权等,2017;蒲学敏等,2021;张武龙等,2021a)。而独特的地理位置使得四川盆地会同时受到太平洋和印度洋的影响,虽然身处内陆,台风系统也会给四川盆地带来持续性强降水(康岚等,2013;雷丽娟和雷小途,2018;王茂书等,2020;周懿等,2020)。
近些年,得益于日新月异的数值天气预报系统,强降水的预报预测能力也得到了不断提高。数值天气预报是根据天气演变过程的流体力学和热力学方程组,在一定的初值和边界条件下,求解未来一定时段大气运动状态和天气现象的方法。由于不同模式的初始场、初始扰动生成、模式框架、参数化方案等各不相同,其预报效果也具有明显的时间和空间上的差异。因此,对数值模式进行检验是使用和发展数值预报系统的重要环节。以往很多相关研究对模式的降水预报效果进行了客观评估(潘留杰等,2017;李博渊等,2020;郑婧等,2020;沈晓燕等,2022),欧洲中期天气预报中心(European Centre for Medium-Range Weather Forecasts,ECMWF)数值预报模式、国家气象中心区域中尺度数值预报模式(China Meteorological Administration Mesoscale Model,CMA_MESO)和西南区域数值预报系统(Southwest Center WRF ADAS Real-time Modeling System,SWC_WARMS)是四川省预报员最常用的模式,陈朝平和卢萍(2020)评估了SWC_WARMS模式不同起报时次对强降水过程的预报能力;王彬雁等(2020)利用SAL方法对国家气象中心的全球/区域同化预报系统中尺度数值预报模式(Global/Regional Assimilation and Prediction System Mesoscale Model,GRAPES_MESO)的降水预报进行了检验;张武龙等(2021b)分析了GRAPES_MESO模式在四川盆地暴雨过程的预报效果。随着模式的不断升级更新,上述3种数值预报模式在四川盆地强降水过程中的预报性能如何?另外,业务应用中发现各模式存在一定的时间、位移和强度偏差,如ECMWF模式在暖区暴雨过程中常常较实况偏小,冷锋进入盆地后其降水落区较实况偏西,那么各模式是否具有系统性的偏差,还需进行客观检验。
1 资料与方法
使用资料包括:1)通过全国综合气象信息共享平台(China Integrated Meteorological Information Service System,CIMISS)接口下载的四川省所有地面观测站逐小时降水观测资料,来源于四川省气象局探测数据中心;2)国家气象信息中心下发的“全国智能网格实况融合分析产品(V1.0)”中的地面-卫星-雷达三源融合降水产品;3)ECMWF、SWC_WARMS、CMA_MESO模式的降水预报产品,来源于四川省气象台。其中ECMWF模式水平分辨率为0.125°,72 h内时间分辨率为3 h;CMA_MESO模式水平分辨率为0.09°,时间分辨率为3 h;SWC_WARMS模式水平分辨率为0.1°,时间分辨率为1 h。所有资料时间段为2018—2020年。
通过四川盆地所有站点逐小时资料累加获得24 h降水(20:00—20:00)(北京时,下同),并根据暴雨站点数筛选强降水过程,即当国家站≥8站且区域站≥250站的24 h降水量≥50 mm,标记为一次强降水过程。筛选出个例后对ECMWF、CMA_MESO和SWC_WARMS模式强降水预报的范围、强度、时间偏差和位移偏差等进行检验和对比。
图1
图1
四川省降水自动站分布和检验区域(黑色方框)
Fig.1
Distribution of automatic precipitation stations in Sichuan Province and validation area (the black box)
1.1 常规检验
根据双态分类联列表计算TS(Threat Score)和BS(Bias Score)(郑婧等,2020),获得强降水过程的综合评价和范围预报性能。另外,采用预报和实况在某一量级的平均降水量比值及某一范围的最大降水量对降水强度预报进行检验。
1.2 时间和位移偏差检验
图2
图2
时间平移(a)和空间平移(b)检验示例
Fig.2
Example of time translation (a) and space translation (b) validation
2 四川强降水过程
2018—2020年共发生了56次强降水过程(图3),2018、2019和2020年分别发生16、15、25次,4—9月均有强降水过程发生,过程次数分别为1、2、8、18、19、8次,可见四川的强降水过程主要发生在7、8月。2018年强降水过程主要发生在7月(7次),2019、2020年则主要发生在8月,分别为5、11次。从强降水过程的暴雨站次来看,国家站发生暴雨站次基本与区域站发生暴雨站次呈正比,范围和极值最大的强降水过程出现在2020年8月15日,国家站和区域站的暴雨站点数分别为48、1 213站,降水量最大达540.1 mm。
图3
图3
2018—2020年四川省强降水过程暴雨发生站次和降水极值
Fig.3
Rainstorm stations and precipitation extremes during heavy rainfall processes from 2018 to 2020 in Sichuan Province
根据冷空气是否影响及冷空气参与程度将强降水过程分为3类:无冷空气影响型(A型)、弱冷空气影响型(B型)、较强冷空气影响型(C型)。预报中常用850 hPa变温和地面变压判别冷空气参与情况,基于模式对两种要素良好的预报能力,可便捷地实现自动识别和分类。结合预报员经验,具体判别标准为:当盆地内850 hPa负变温或地面正变压站点比例低于20%,过程类型为A型;当盆地内850 hPa负变温、地面正变压站数比例超过50%,且最小负变温低于-3 ℃、最大正变压高于5 hPa,过程类型为C型;其余则为B型。从表1看出,盆地内强降水过程大多有冷空气参与(占76.8%),A型、B型、C型的发生次数分别为13、20、23次,暴雨站数平均分别为466、596、616站,24 h降水极值平均分别为239、276和238 mm,极值最大值分别为329、540和360 mm,表明弱冷空气参与时的降水强度相对更强,可能是因为弱冷空气相对而言势力弱,移动速度慢,导致降水持续时间较长,累积雨量更大。
表1 2018—2020年四川省强降水个例信息
Tab.1
| 类型 | 个例日期 | 暴雨站数 (平均)/站 | 极值 (平均)/mm |
|---|---|---|---|
| A | 2018-07-01、2018-07-02、2018-07-08、2018-07-15、2019-07-19、2019-08-20、2019-09-07、2020-06-15、2020-07-09、2020-07-14、2020-07-15、2020-08-14、2020-09-09 | 298~970 (466) | 152~329 (239) |
| B | 2018-06-25、2018-06-29、2018-07-10、2018-07-14、2018-07-26、2019-08-05、2019-08-21、2019-09-09、2020-06-26、2020-06-29、2020-07-16、2020-07-24、2020-07-25、2020-07-29、2020-07-30、2020-08-06、2020-08-10、2020-08-12、2020-08-15、2020-09-05 | 205~1 261 (596) | 166~540 (276) |
| C | 2018-05-20、2018-05-21、2018-08-01、2018-08-02、2018-08-21、2018-09-04、2018-09-05、2019-04-19、2019-06-04、2019-06-27、2019-07-21、2019-07-28、2019-08-02、2019-08-04、2019-09-12、2019-09-13、2020-06-16、2020-08-11、2020-08-16、2020-08-17、2020-08-23、2020-08-29、2020-08-30 | 296~1 238 (616) | 142~360 (238) |
3 检验结果与分析
为对比分析四川强降水过程中3种模式不同起报时间(08:00、20:00)的预报性能,仅选取各模式资料齐全的强降水过程进行检验,共计47次,其中A型11次、B型17次、C型19次。
3.1 总体评价
采用TS评分了解各模式的整体预报情况。从图4可以看出,ECMWF_08、ECMWF_20、CMA_MESO_08、CMA_MESO_20、SWC_WARMS_08、SWC_WARMS_20(08表示08:00起报的36 h预报,20表示20:00起报的48 h预报)对47次降水过程综合的小雨评分差别不大,中雨、大雨和暴雨TS评分均是08:00预报优于20:00预报,表明随着预报时效的临近,预报效果更优。对比而言,ECMWF_08的中雨、大雨预报评分明显优于其他模式,TS评分分别达0.572、0.425,而SWC_WARMS_08和ECMWF_08的暴雨评分最高,均达到0.220以上。
图4
图4
47次强降水过程不同降水等级的综合TS评分
Fig.4
Comprehensive threat score of different precipitation grades of 47 heavy rainfall processes
分析每次过程的评分(图略),ECMWF模式对中雨预报较为稳定,年份间差异不大,以2018年最优,大雨和暴雨的评分则逐年增大,2020年最优;CMA_MESO总体波动不大,以2019年评分更优。SWC_WARMS对中雨和大雨的预报2018年最优,暴雨则是08:00、20:00起报的预报分别以2019年、2018年最优。通过计算各模式达到TS最高的频次可以发现,对于中雨和大雨,ECMWF_08预报评分明显最高,频次高达21次,评分最高可达0.800以上;对于暴雨,SWC_WARMS_08预报评分最高,频次达14次,评分最高达0.557,CMA_MESO 08:00预报次之,频次为9次。对比而言,ECMWF模式在各年份的中雨和大雨预报中均表现最优,2020年的暴雨预报最优,SWC_WARMS在2018、2019年的暴雨预报中表现最优。
从模式在不同类型降水过程中的TS评分(图5)可以看出,3种模式均对较强冷空气过程的把握最好,弱冷空气过程次之,对于中雨和大雨,ECMWF模式表现最优,较强冷空气过程的中雨、大雨评分能达0.624、0.524;对于暴雨,无冷空气过程和弱冷空气过程SWC_WARMS的08:00预报最优,评分分别为0.157、0.205,较强冷空气过程中则是ECMWF模式的08:00预报评分最优(0.311)。表明区域模式对暴雨的预报更有优势,尤其在暖区暴雨过程中,而全球模式对系统性降水过程把握较好。
图5
图5
分型强降水过程不同降水等级TS评分
Fig.5
The threat score of different precipitation grades of classified heavy rainfall processes
3.2 BS评分检验
从图6可以看出,对于中雨,ECMWF模式的BS评分较为稳定,普遍在1.0以上,即中雨落区较实况偏大;CMA_MESO模式08:00预报的评分也普遍大于1.0,20:00预报相对而言波动较大;SWC_WARMS的评分2018年普遍大于1.0,2019年开始出现低于1.0的情况,尤其20:00预报,表明其落区从高估转为低估。对于大雨,ECMWF模式的评分普遍为0.5~1.5,CMA_MESO的BS波动相对较大,但两种模式08:00预报均以高估为主,20:00预报则相反;SWC_WARMS的BS基本为0.5~1.5,08:00预报BS普遍在1.0附近,以高估为主,20:00预报2018年以高估为主,其余年份以低估为主。对于暴雨,ECMWF和CMA_MESO模式以低估为主,SWC_WARMS模式2018年常出现高估,其余年份08:00预报的BS接近1.0,20:00预报以低估为主。
图6
图6
47次强降水过程不同等级降水的BS评分
Fig.6
The bias score of different precipitation grades of 47 heavy rainfall processes
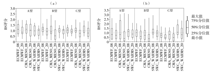
图7为分型降水过程中大雨和暴雨的BS评分箱线图。可以看出,3种模式对大雨预报的BS平均值在1.0附近,08:00起报的暴雨范围与实况更接近,其中ECMWF模式对C型过程的范围把握更优,评分大多在1.0附近,B型过程次之,CMA_MESO对C型过程预报最优,SWC_WARMS对B型过程范围预报更优。对于暴雨,SWC_WARMS_08预报范围与实况更接近,其他模式普遍较实况偏小,相对而言08:00预报更优。
图7
图7
分型强降水过程BS评分箱线图
(a)大雨,(b)暴雨
Fig.7
Boxplots of bias score of classified heavy rainfall processes
(a) heavy rain, (b) rainstorm
综上可知,3种模式的大雨范围与实况相当,暴雨范围普遍偏小,SWC_WARMS预报表现最优。ECMWF和CMA_MESO对C型过程的评分更高,SWC_WARMS在B型过程中表现更优。
3.3 降水强度检验
3.3.1 不同量级降水强度检验
图8为强降水过程预报降水强度与实况降水强度之比。可以看出,对于10 mm以上(中雨)、25 mm以上(大雨)、50 mm以上(暴雨)降水,ECMWF模式的评分普遍在1.0以下,表明其降水强度普遍较实况偏小;而SWC_WARMS模式普遍在1.0附近,与实况降水强度相当,20:00预报略偏弱;CMA_MESO模式则波动较大,但大多在1.0以下,表明降水强度普遍较实况偏小。
图8
图8
强降水过程不同降水等级预报与实况降水强度之比
Fig.8
The ratio between predicted and actual precipitation intensity of different precipitation grades during heavy rainfall processes
从分型降水过程中大雨和暴雨的降水强度评分箱线图(图9)来看,ECMWF和CMA_MESO模式的评分普遍在1.0以下,SWC_WARMS模式在1.0附近,强度与实况更为接近。结合评分平均值和箱子集中程度,ECMWF模式对B型过程08:00预报更优,20:00预报3类过程差别不大;CMA_MESO模式对有冷空气参与过程的降水强度预报更接近实况;SWC_WARMS模式对3类过程的降水强度把握较好,其中对C型过程08:00预报更优,20:00预报则是A型过程更优。
图9
图9
分型强降水过程预报降水强度与实况降水强度之比箱线图
(a)大雨,(b)暴雨
Fig.9
Boxplots of the ratio between predicted and actual precipitation intensity during the classified heavy rainfall processes
(a) heavy rain, (b) rainstorm
3.3.2 降水极值检验
47次强降水过程中均有大暴雨发生,降水极值为141.9~430.2 mm。从3种模式不同起报时间的极值预报与实况散点分布[图10(a)]可以看出,模式预报的极值波动较大(26.7~653.6 mm),大多散点分布在对角线以下,表明各模式的极值普遍较实况偏小,其中SWC_WARMS模式预报与实况更接近,且以08:00预报更优。从分型检验结果[图10(b)]来看,各模式均是08:00起报的降水极值更接近实况;C型过程ECMWF模式的极值预报相对较差;CMA_MESO模式在各类降水中预报都较实况偏小较多,相对而言B型过程中预报更优;SWC_WARMS模式在各类降水中预报效果差异较小,SWC_WARMS_08最接近实况,明显优于其他模式,表明区域模式对降水极值的把握更优。
图10
图10
预报与实况降水极值散点分布(a)和分型降水极值预报与实况对比(b)
Fig.10
Scatter map of predicted and actual precipitation extreme values (a) and comparison of predicted and actual extreme values during classified precipitation processes (b)
3.4 位移误差检验
图11为3种模式大雨和暴雨量级降水预报的位移偏差,经向偏差为正表示预报较实况偏南,纬向偏差为正表示模式较实况偏西。各模式08:00预报误差更小,对于大雨量级,ECMWF模式纬向以偏北为主,经向偏差正负相当,08:00预报以偏西为主,20:00预报以偏东为主;CMA_MESO纬向偏差正负相当,经向偏差以负为主,大多个例落区较实况偏东偏北,其次为偏西偏南;SWC_WARMS纬向和经向偏差均以负为主,大多个例落区较实况偏东偏北,其次为偏西偏南。对于暴雨量级,ECMWF模式纬向偏差以负为主,经向偏差正负相当,两个起报时次的偏差以偏东偏北最多,其次是偏西偏北;CMA_MESO经向偏差以负为主,纬向偏差正负相当,两个起报时次均以偏东偏北为主,偏西偏南次之;SWC_WARMS纬向和经向偏差均以负为主,大多个例较实况偏东偏北,其次是偏西偏北。
图11
图11
大雨(a、b)和暴雨(c、d)量级08:00(a、c)和20:00(b、d)降水预报的位移偏差
Fig.11
Displacement deviation of heavy rain (a, b) and rainstorm (c, d) magnitude precipitation prediction staring at 08:00 (a, c) and 20:00 (b, d)
从分型降水过程的预报位移偏差(图12)可以看出,对于大雨量级,ECMWF模式08:00预报3类过程均以偏西偏北为主,其中B型过程偏差最小,C型次之;20:00预报对A型过程以偏西偏北为主,B型和C型过程则以偏东偏北为主。CMA_MESO模式08:00预报3类过程均以偏东偏北为主,B型和C型该特征更明显;20:00预报A型和C型过程以偏东偏北为主,B型过程则以偏西偏北为主。SWC_WARMS模式2个起报时次A型过程以偏西偏北为主,B型和C型过程则以偏东偏北为主。对于暴雨量级,ECMWF模式2个起报时次A型过程均以偏西偏北为主,B型过程08:00以偏西偏北为主,20:00以偏东偏北为主,C型过程08:00预报以偏东偏北为主,20:00以偏西偏北为主;CMA_MESO模式08:00预报A型过程以偏西偏南为主,C型过程以偏东偏北为主,20:00预报A型、C型过程以偏东偏北为主;SWC_WARMS模式08:00预报A型过程以偏西偏北为主,B型过程以偏东偏南为主,C型过程以偏北为主,正负经向偏差相当,20:00预报3类过程均以偏东偏北为主。
图12
图12
分型强降水过程大雨(a、b)和暴雨(c、d)预报的纬向(a、c)和经向(b、d)偏差箱线图
Fig.12
Boxplots of latitudinal (a, c) and meridional (b, d) deviation of heavy rain (a, b) and rainstorm (c, d) prediction during classified heavy rainfall processes
3.5 时间偏差检验
图13为强降水过程各模式的时间滑动TS评分。可以看出,3种模式在各降水量级的综合TS评分均呈单峰型,08:00预报优于20:00预报。其中,ECMWF模式两个起报时次均以正点预报评分最优,无明显时间偏差;CMA_MESO模式中雨和大雨以08:00起报的36 h预报和20:00起报的45 h预报评分更高,暴雨则以08:00起报的33 h预报和20:00起报的45 h预报评分更高;SWC_WARMS模式的评分随着时间的滑动先缓慢增大,达到峰值后迅速减小,中雨两个起报时次均以正点预报评分最优,评分分别为0.49、0.43,大雨以08:00起报的36 h预报和20:00起报的45 h预报评分更高,分别为0.35、0.29,暴雨则是08:00起报的33 h预报和20:00起报的48 h预报更优,评分分别为0.21、0.18。
图13
图13
强降水过程3种模式预报不同量级降水的时间滑动TS评分
Fig.13
Time sliding threat score of prediction of precipitation with different grades of three models during heavy rainfall processes
综上可知,3种模式的临近预报更优,中雨和大雨预报均是ECMWF模式评分最优,暴雨则以SWC_WARMS模式略优,各模式总体的时间偏差不明显,仅CMA_MESO和SWC_WARMS的个别起报时次有-3 h的时间偏差。
综合TS评分和最优评分的频次分析不同类型降水过程中大雨[图14(a)]和暴雨[图14(b)]量级的时间偏差。对于ECMWF模式,大雨量级08:00预报在A、B、C型过程中分别以33、36、36 h预报评分最优,20:00预报B型过程以45、48 h预报更优,其他过程以48 h预报更优。暴雨量级08:00预报在A型过程中以36、39 h预报最优,B、C型过程分别以39、33 h预报更优;20:00预报在A、C型过程中以48 h预报更优,B型过程以45 h预报更优。对于CMA_MESO模式,大雨量级08:00预报在A、B、C型过程中分别以39、36和36 h预报评分最优;20:00预报在A型过程中以48、51 h预报更优,B、C型过程分别以48、42 h预报更优。暴雨量级08:00预报在A型过程中以30 h预报最优,B型过程以33、36 h预报更优,C型过程以36 h预报更优;20:00预报在A型过程中以42、45 h预报更优,B型过程以45、48 h预报更优,C型过程以45 h预报更优。对于SWC_WARMS模式,大雨量级08:00起报的降水预报在B型过程中以33、36 h预报最优,A、C型过程分别以36、33 h预报最优;20:00的预报在B型过程中以45、48 h预报更优,A、C型过程分别以48、45 h预报更优。对于暴雨量级,08:00起报的降水预报在A型过程中以33、36 h预报最优,B型过程以30、33 h预报更优,C型过程以33、36 h预报更优;20:00的预报在A、B、C型过程中分别以45、51、48 h预报更优。
图14
图14
分型强降水过程大雨(a)和暴雨(b)量级TS评分和最优评分频次分布
Fig.14
Distribution of threat score of heavy rain (a) and rainstorm (b) magnitude in classified heavy rainfall processes and optimal score frequency
可以看出,不同类型降水过程不同起报时间有一定的时间偏差,ECMWF模式时间偏差在-3~3 h内,CMA_MESO和SWC_WARMS时间偏差则在-6~3 h,以负偏差为主,这可能是模式对影响系统预报的移动快慢偏差导致。
4 结论与讨论
本文筛选出2018—2020年四川省强降水天气过程,通过冷空气参与程度将降水过程划分为3类,并基于全国智能网格实况融合分析产品和地面观测资料,采用常规检验和时空滑动检验等方法对47次强降水过程中ECMWF、CMA_MESO和SWC_WARMS模式的24 h降水预报性能进行检验,得到以下结论。
根据TS评分,各模式08:00预报优于20:00预报,中雨和大雨量级均是ECMWF模式最优,大多过程暴雨预报以区域模式SWC_WARMS评分更高,3种模式对较强冷空气过程的预报更优。
对于BS评分,各模式中雨量级范围普遍以高估为主,随着降水量级增大逐渐转为低估,SWC_WARMS模式更接近实况。ECMWF和CMA_MESO对较强冷空气过程的评分优于其他两类过程,SWC_WARMS则对弱冷空气影响过程评分更优。
ECMWF和CMA_MESO模式各量级降水强度预报普遍较实况偏小,SWC_WARMS模式与实况相当,各模式对有冷空气参与过程的降水强度把握更优。3种模式产品极大值普遍较实况偏小,SWC_WARMS模式表现更优,ECMWF模式对较强冷空气过程中的极值预报相对较差,CMA_MESO模式在弱冷空气影响过程中的极值预报更优,SWC_WARMS对不同类型降水预报效果相当。
时空滑动检验结果表明,3种模式时间偏差不明显,对不同类型降水的时间偏差略有不同,普遍在-6~3 h。ECMWF模式的位移偏差最小,纬向上ECMWF和SWC_WARMS模式以偏北为主,CMA_MESO模式偏北偏南次数相当;经向上ECMWF以偏西为主,CMA_MESO和SWC_WARMS模式则以偏东为主;不同模式不同起报时间在不同类型降水过程中的位移偏差有所差异。
目前研究主要对3种模式的预报性能进行了分析,可为降水的订正提供参考,但对不同模式的各种偏差产生的具体原因还需结合环流形势和物理量特征等进一步研究。另外,CMA_MESO 3 KM模式从2020年6月开始下发,从日常应用看,其具有较好的参考性,已经成为业务中常参考的模式,但由于时间序列较其他模式短,且预报时效仅36 h,因此未进行对比评估,以后将继续针对该模式进行详细的检验评估,为该模式的应用及改进提供参考。
参考文献
四川盆地西部一次典型连续夜雨的数值模拟
[J].利用中尺度模式WRF研究了2017年7月15 -17日发生在四川盆地西部的一次典型连续性夜雨过程的形成机制, 重点讨论了“山谷风”局地环流对此次夜雨过程的作用。研究表明: (1)此次降水天气过程主要发生在500 hPa“北高南低”的环流形势背景下, 这种背景有利于北方冷空气向南输送; 850 hPa上台风东侧的偏南气流和副热带高压西侧偏南气流叠加形成输送带, 有利于低纬大量水汽和热量向四川盆地输送。(2)WRF模式模拟出的“山谷风”是此次夜雨过程的重要动力机制: 白天青藏高原东坡受“谷风”控制, 夜晚青藏高原东坡受“山风”控制, 从而产生了此次夜雨现象。(3)三种螺旋度都能够较好地解释夜间降水形成和“山谷风”之间的关系。
ECMWF集合预报在中国中部地区的降水概率预报性能评估
[J].利用2013、2014年5-10月ECMWF集合预报系统(EPS)输出的降水预报资料,CMORPH(NOAA Climate Prediction Center Morphing Method)卫星与全国30000余个自动气象观测站的逐小时降水量融合资料,基于Brier评分、Talagrand分布、ROC(Relative operating characteristic)分析等方法,研究ECMWF集合预报对我国中部降水的概率预报性能。主要结论如下(1)模式对小雨具有稳定的预报技巧,但预报概率偏大;对大雨以上量级降水的分辨能力不足,概率预报偏小。(2)Talagrand图整体表现为“U”型,模式对中等强度以上量级降水预报频次偏少;就不同量级降水的预报和观测频次一致程度来看,时效越长预报性能越稳定;第11天模式集合成员的发散度发生明显变化,Talagrand图呈“钟”型分布,预报评分显著下降。(3)预报日数越短,降水概率预报效果越好,平均而言,预报日数超过2天后,模式对12 h(24 h)小于30%(40%)的暴雨概率预报技巧低于气候预测。(4)模式24 h小雨命中率较12 h偏高,空报率偏低,预报技巧优于12 h;对暴雨来说,前6天12 h降水概率预报的ROC面积较24 h表现较好。
不同方法对青海2020年强降水模式产品预报性能的检验对比
[J].基于多模式降水格点预报资料、青海省气象站实况资料及多源融合降水格点分析产品,针对青海省2020年7—8月强降水天气个例,采用TS(threat score)评分等传统检验方法和FSS(fraction skill score)评分及MODE(method of object-based diagnostic evaluation)空间检验方法,对比检验各模式在青海强降水中的预报性能。结果表明:(1)小雨及以上量级,欧洲中期天气预报中心(ECMWF)和美国国家环境预报中心(NCEP)全球模式、中国气象局全球同化预报系统(CMA-GFS)及GRAPES区域中尺度数值预报系统(GRAPES-Meso)的传统TS评分均较高且预报能力相差不大,但不同检验方法下评分最高的模式略有不同;(2)中雨及以上量级,各模式预报较观测普遍偏西,且传统TS评分差异较为明显,但不同检验方法下模式评分优劣表现较为一致;(3)大雨及以上量级,各模式预报较观测普遍偏北,且预报能力较差,传统TS评分为0,FSS评分有效提高了模式差异性的评估能力,MODE方法则给出了预报和观测对象属性的具体表现,但对检验参数的选取较为敏感。
一次四川盆地低涡型特大暴雨过程分析
[J].利用NCEP 1°×1°再分析资料和地面加密自动站、实况探空资料及FY-2E的TBB资料,分析2013年6月29日至7月2日四川盆地特大暴雨过程持续时间久、强度强的原因。结果表明:(1)本次盆地暴雨属于低涡型暴雨过程,高原低涡和西南低涡是这次持续性特大暴雨过程的直接影响系统,有利的环流场引导高原低涡及西南低涡东移并形成阻塞,使其稳定在盆地;(2)西南急流的建立及维持为降水区提供了大量的水汽和不稳定能量,并使得中尺度系统得以维持和发展;(3)强烈的高空辐散以及高原低涡和西南低涡共同作用,使得盆地低层正涡度维持并形成上升气流柱,这是强降水发展维持的重要条件;(4)盆地低涡的持续维持诱发了中小尺度云团稳定加强,遂宁站的小时雨强与其对应TBB低值有很好的对应关系;(5)从乐至附近不断产生的强回波单体发展并向东北方向移动,在遂宁一带形成强回波带,形成的类似“列车效应”是造成遂宁地区产生特大暴雨的主要原因。并且强回波带中中气旋的长时间存在意味着对流系统不会很快消弱。
基于ECMWF模式的定量降水客观订正方法
[J].基于ECMWF高分辨率数值模式物理量诊断产品, 利用逻辑回归法开展江西定量降水客观预报试验, 并进行检验和改进。结果表明: (1)初始方案中直接提取预报因子单站建模所得到的预报结果较数值模式原始输出降水改进效果有限, 但在经过降水分区优化、 多倍数暴雨样本扩充、 本地气候频率降水订正等改进步骤后, 各等级降水预报均较初始方案TS有不同程度的提高。(2)2018年降水试验结果表明, 改进方案的晴雨、 各等级降水预报TS均高于EC模式降水和预报员, 其中大雨、 暴雨以上量级相对数值模式以及预报员的订正提高率达到1/4~1倍。(3)本方案预报产品对强天气尺度强迫下、 落区相对集中的暴雨天气有较好的识别能力; 而在暖区暴雨、 盛夏副热带高压边缘暴雨、 高架对流等强降水落区分散且范围较小的情况下, 或是当模式对天气形势、 主雨带预报有明显系统性偏差时, 无法有明显改进。
Global observed long-term changes in temperature and precipitation extremes: A review of progress and limitations in IPCC assessments and beyond
[J].
Variations of twentieth century temperature and precipitation extreme indicators in the northeast United States
[J].
Daily extreme precipitation and trends over China
[J].
Trends in total precipitation and frequency of daily precipitation extremes over China
[J].
Significant increases in extreme precipitation and the associations with global warming over the global land monsoon regions
[J].
/
| 〈 |
|
〉 |
