“衡邵娄干旱走廊”干旱时空演变特征分析
Spatio-temporal evolution characteristics of drought in the “Heng-Shao-Lou drought corridor”
责任编辑: 蔡迪花;校对:王涓力
收稿日期: 2023-02-8 修回日期: 2023-03-31
| 基金资助: |
|
Received: 2023-02-8 Revised: 2023-03-31
作者简介 About authors
杨扬(1989—),男,博士,安徽省桐城人,主要从事水旱灾害风险研究。E-mail:773483983@qq.com。
近年来,长江流域干旱事件频发,干旱灾害造成的损失越来越大,为进一步提升区域干旱灾害风险管理及防旱抗旱能力,开展典型旱区干旱时空演变规律研究具有重要意义。“衡邵娄干旱走廊”是湖南省干旱最严重区域,利用该区域33个气象站1971—2022年逐月降水量构建标准化降水指数(Standardized Precipitation Index,SPI)序列数据集,以邵阳县为示例,应用游程理论整合干旱事件,基于Gumbel-Copula函数构建干旱历时和强度联合分布函数,计算干旱联合重现期并推广至整个研究区域,在此基础上构建干旱等级划分标准,分析整个研究区域各等级干旱概率空间分布特征。主要结论如下:邵阳县Ⅰ型和Ⅱ型干旱历时和强度理论联合重现期峰值分别约97、27 a,表明长历时且高强度干旱事件发生概率很小,远低于长历时或高强度干旱事件发生概率,这是研究区干旱事件的共性。基于干旱历时和强度联合分布组合可有效避免单一变量在识别干旱等级时对干旱事件整体的分割,能够更准确评估干旱的复杂性及大范围影响。近52 a来,“衡邵娄干旱走廊”西部轻旱最频繁,重旱与特旱发生频率低,特旱主要分布在邵阳县、邵东县及双峰县一带。
关键词:
Recently, the droughts attack frequently in the Yangtze River basin, resulting in more and more loss. To further improve regional drought risk management and drought resistance capabilities, it is of great significance to conduct research on the spatio-temporal evolution characteristics of drought in typical drought-prone areas. “Heng-Shao-Lou drought corridor” in Hunan Province is a region with most severe droughts, the standardized precipitation index (SPI) dataset based on monthly precipitation data from 33 meteorological stations in this area from 1971 to 2022 is constructed. Citing the case of Shaoyang County, run theory is applied to integrate drought events, and Gumbel-Copula is adopted to construct the joint distribution function of drought duration and severity, then the joint return periods of drought are calculated and the method is extended to the whole study area. On the basis of it, the classification standard of drought grades is established, and the spatial distribution characteristics of drought probability for each level in the whole study area are analyzed. The results show that the peaks of theoretical joint return period of drought duration and severity for the type Ⅰ and type Ⅱ in Shaoyang County are around 97 a and 27 a, respectively, which indicates that the probability of drought events with long duration and high severity is very small and far lower than that of drought events with long duration or high severity, it is a common feature of drought events in research area. Furthermore, the combination of drought duration and severity joint distribution can effectively avoid segmentation of the whole drought event when drought grades are identified by a single variable, and can evaluate the complexity and large-scale impact of drought more accurately. In the past 52 years, the slight drought occurs most frequently in western region of the “Heng-Shao-Lou drought corridor”, while the frequency of severe or extreme drought is low. Extreme drought mainly distributes in Shaoyang County, Shaodong County and Shuangfeng County.
Keywords:
本文引用格式
杨扬, 赵伟明, 胡颖冰, 盛东, 魏永强, 申志高, 谭军.
YANG Yang, ZHAO Weiming, HU Yingbing, SHENG Dong, WEI Yongqiang, SHEN Zhigao, TAN Jun.
引言
干旱监测指标是开展干旱特征分析的基础,最初(20世纪初)是以某一单一气象或水文要素作为干旱监测指标,一旦指标值达到某一阈值则判定干旱发生。Henry(1906)提出了降水距平干旱指标,认为连续21 d降水量比正常值偏少30%时则出现干旱,比正常值偏少90%以上时则发生极端干旱。这一类指标因受空间位置及时间尺度的影响,难免会造成判别标准的差异。针对这一问题,Mckee等(1993)、Shukla和Wood(2008)陆续提出了标准化降水指标(Standardized Precipitation Index,SPI)和标准化径流指标(Standardized Runoff Index,SRI),分别反映降水或径流在统一标准正态分布及多时间尺度下水分盈缺状况。此外,一些学者融合气象、水文等要素构建了综合干旱指标,其中帕默尔干旱指数(Palmer Drought Severity Index,PDSI)、标准降水蒸散指数(Standardized Precipitation Evapotranspiration Index,SPEI)和气象干旱综合指数(Meteorological Drought Composite Index,MCI)涉及降水、潜在蒸散、前期土壤湿度及径流等多重因素而得到广泛应用(Palmer,1965;Vicente-Serrano et al.,2010;王兆礼等,2016;国家气候中心等,2017;袁先雷等,2021;郭冬等,2022)。由于干旱的复杂性及泛发性,单一评价指标或综合评价指标对旱情判别没有绝对的优劣,针对不同区域、不同类型干旱的识别不是仅依赖某个监测指标,而是建立在对其成因机理的深入理解基础之上。
针对干旱特征的研究,目前主要从两方面进行,一是基于干旱监测指标分析干旱时空分布及发展趋势。具体而言,利用干旱监测指标对干旱发生频率、干旱站次比、干旱强度的年际变化及趋势进行分析预测(李军等,2016;韩志慧等,2017;朱静和包光,2020;余兴湛等,2022)。尽管各种干旱监测指标的侧重点不尽相同,但作为开展干旱等级判别及相关研究的基础,这些指标经过大量实证分析及不断发展完善,其合理性及可操作性已得到认可,具有较高的应用价值与现实意义。二是借助统计学方法识别干旱历程,分离内在特征变量并寻找彼此间联合分布规律。Herbst等(1966)最早将游程理论应用于干旱识别中,通过整合单一时间尺度数据得到独立分布的干旱事件。随后,一些学者以独立干旱事件的强度和历时为变量,开展干旱特征的联合概率分析(陈再清等,2016;李明等,2017;王晓峰等,2017;龙瑞昊等,2020),其中多数研究通过构建合理的Copula分布函数探寻干旱历时和强度的关联性,并以此计算干旱事件联合重现期,从而评估、预测干旱风险分布。Copula函数能够对多个特征变量进行更优的联合拟合,广泛应用于多个研究领域。总体来看,在干旱形成的多因子协同或叠加效应方面还缺乏深入认识,其应用仍存在一些不足,难以有效评估干旱灾害的复杂性及其大范围影响。
2022年,我国长江流域大部遭受罕见高温干旱,经历了“汛期返枯”的极端考验,7月以来,流域降水量创1961年以来历史同期最低纪录,较往年偏少4~5成。地处长江中下游的湖南省受持续旱情影响,出现了夏秋冬连旱。作为我国重要的粮食生产基地,湖南省素有“鱼米之乡”盛名,却历来饱受高温干旱之苦,尤以衡邵丘陵、盆地等区域最甚。据《湖南省水利志》(邓谷君,1985)记载,1945年衡阳、邵阳、娄底(简称“衡邵娄”)一带发生大旱,灾情惨重;1960年《湖南省抗旱工作总结》中称其为“历史干旱走廊”。衡邵娄干旱走廊是湘中最大两个盆地(衡阳、邵阳盆地,简称“衡邵盆地”)的连接带,包括以湘水、资水之间分水岭为中轴的广大丘陵地区(周莉等,2020),该区域干旱问题由来已久,已成为制约当地经济发展和人民生活水平的重要因素之一。然而,现有的衡邵娄干旱走廊干旱特征研究仅是基于历史降水观测资料开展的趋势分析或单一变量分析(彭双姿等,2021),缺乏对干旱事件的合理界定及其内在属性特征的相关性探讨。在全球气候变化背景下,极端干旱事件频发,以衡邵娄干旱走廊为典型区域开展干旱特征研究,不仅可以弥补基础研究的不足,而且对提升区域干旱预警和抗旱能力有重要参考价值,从而更好地为区域社会经济可持续发展提供服务。
1 研究区概况及资料
衡邵娄干旱走廊位于湖南省中部偏南地区,是衡邵盆地连接地带,四面环山,东临罗霄山脉,南靠南岭山脉,西接雪峰山脉,北连南岳衡山,形成狭长型盆地通道(图1),有衡阳市、邵阳市、娄底市全境及永州市北部共33个县级行政区。该区域属于亚热带季风气候,降水时空分布不均且变率大,夏、秋季干旱特征显著,有“十年九旱”之称。作为湖南省粮食主产区和水资源量最少的地区,受气候、地形地貌及经济发展等多重条件影响,衡邵娄干旱走廊干旱发生频率和强度比省内其他区域严重。
图1
图1
衡邵娄干旱走廊地理位置、地形高度和气象站点分布
Fig.1
The distribution of geographic location, terrain elevation and meteorological stations in the Heng-Shao-Lou drought corridor
所用资料为衡邵娄干旱走廊33个气象站1971—2022年逐月降水量数据,针对个别站点数据不全或缺失情况进行了修正或剔除处理。文中涉及的湖南省及市(县)行政边界基于自然资源部标准地图服务网下载的审图号为GS(2019)1822号的标准地图制作,底图无修改。
2 方 法
2.1 SPI及干旱分级
表1 基于SPI的干旱等级划分标准
Tab.1
| 等级 | 类型 | SPI |
|---|---|---|
| 1 | 无旱 | >-0.5 |
| 2 | 轻旱 | (-1.0, -0.5] |
| 3 | 中旱 | (-1.5, -1.0] |
| 4 | 重旱 | (-2.0, -1.5] |
| 5 | 特旱 | ≤-2.0 |
2.2 基于游程理论的干旱事件判定
基于游程理论判识干旱事件。利用月尺度SPI-1时间序列数据,通过设置的阈值条件识别一次干旱事件从开始到结束的整个过程,并计算干旱事件历时和强度。具体步骤如下:(1)设置阈值Z1,对SPI-1时间序列中小于Z1的进行筛查,初步判定为干旱事件;(2)设置阈值Z2,当一次干旱事件的历时仅1个月且SPI值大于Z2时,则将其从干旱事件集中剔除;(3)设置阈值Z0,当两次干旱事件仅间隔1个月且该月SPI值小于Z0时,则将两次干旱事件合并为一次干旱事件,否则为独立的干旱事件。上述阈值条件需满足:Z2<Z1<Z0。一次干旱事件的历时和强度分别定义为总时长跨度和SPI-1累计值的绝对值。
2.3 干旱历时和强度联合分布函数
通过Copula函数构建干旱历时和强度的联合分布函数。Copula函数又称为连接函数,是一类将联合分布函数同其各自的边际分布函数连接在一起的函数(Sklar,1959)。在构建联合分布函数前,需要明确干旱历时和强度各自的分布特征,并进行合理性检验。
(1)变量分布
通常,干旱历时和强度分别符合指数分布和Gamma分布(李明等,2017),计算公式如下:
式中:
(2)K-S检验
Kolmogorov-Smirnov(K-S)法用于检验单一变量样本是否服从某一预设的假设分布或比较两个经验分布的显著性差异,能够有效评估变量是否满足构建Copula函数的条件。
为开展不同变量频率的组合分析,需要先假设干旱历时和强度分布同为一联合分布的边际分布,则干旱历时和强度联合分布函数可表示如下:
式中:
2.4 干旱联合重现期
干旱重现期是用于评价干旱事件严重程度的重要指标。Shiau和Shen(2001)提出了干旱事件的单变量重现期,其计算公式如下:
式中:
进一步考虑变量的联合属性和条件属性,Shiau(2006)提出了干旱历时和强度的联合重现期,分为两种型:
式中:
3 结果与分析
限于篇幅,文中仅以典型干旱区邵阳县为例开展干旱特征的计算与分析,即基于SPI-1筛选干旱事件,结合游程理论判识与整合干旱事件,提取干旱历时和强度,并采用Copula函数构建干旱历时和强度联合分布函数,获得干旱联合重现期。随后,将计算分析过程推广到整个研究区域,通过统计区域干旱历时和强度的联合分布规律,制定区域干旱等级划分标准,探讨区域不同类型干旱分布特征。
3.1 基于SPI-1和游程理论的干旱事件发生频率统计与分析
基于邵阳县1971—2022年月尺度SPI-1时间序列,分别以SPI-1和整合后独立干旱事件的月均SPI为指标,统计近52 a邵阳县各类型干旱发生频次及频率(表2)。可以看出,近52 a邵阳县干旱事件频率小于30.0%,游程理论整合后的各类干旱事件频次均低于SPI-1监测结果;基于这两类指标的干旱事件频次随干旱等级增加均明显减少,这两类指标分割了干旱事件的整体性,且判定的干旱事件等级整体存在一定的片面性与局限性。通常,一个长历时且Z2<SPI-1<Z1的干旱事件,其干旱强度可能比一个短历时且SPI-1<Z2的干旱事件大,故在实际情况下基于上述两类指标会造成对干旱事件等级的误判,说明仅依靠单一维度判别干旱事件等级存在一定的缺陷和不足,因此下文将结合干旱的二维特征(干旱历时和强度)进一步探究干旱等级判别的合理性和必要性。
表2 1971—2022年邵阳县干旱事件统计
Tab.2
| 类型 | SPI-1 | 游程理论整合 | ||
|---|---|---|---|---|
| 发生频次 | 发生 频率/% | 发生频次 | 发生 频率/% | |
| 无旱 | 399 | 70.8 | 360 | 76.9 |
| 轻旱 | 79 | 14.0 | 59 | 12.6 |
| 中旱 | 48 | 8.5 | 29 | 6.2 |
| 重旱 | 22 | 3.9 | 13 | 2.7 |
| 特旱 | 16 | 2.8 | 7 | 1.5 |
3.2 干旱历时和强度的边际分布模型
表3 1971—2022年邵阳县干旱事件历时和强度特征量统计
Tab.3
| 特征量 | 干旱历时/月 | 干旱强度 |
|---|---|---|
| 均值 | 1.89 | 1.94 |
| 方差 | 1.67 | 2.24 |
| 1/4中位数 | 1.00 | 0.85 |
| 中位数 | 1.00 | 1.36 |
| 3/4中位数 | 2.00 | 2.52 |
式中:
采用公式(2)、(3)和(9)进行数据拟合计算,得到干旱历时和强度的经验分布及拟合分布曲线(图2),其中m=0.5。可以看出,邵阳县干旱历时和强度分布函数拟合效果好,拟合优度分别为0.97、0.96,均超过95%。通过分析,修正参数m=0.5在衡邵娄干旱走廊其他区域适用性总体也较好。
图2
图2
1971—2022年邵阳县干旱事件历时(a)和强度(b)分布及拟合曲线
Fig.2
Distribution of duration (a) and severity (b) of drought events and their fitting curves in Shaoyang County during 1971-2022
3.3 干旱历时和强度的联合分布模型
分别采用3种典型的阿基米德型Copula函数进一步构建邵阳县干旱历时和强度的联合分布函数,其表达式及拟合结果见表4。可以看出,Gumbel-Copula函数拟合的欧式平方距离最小,效果最优。
表4 基于不同类型Copula函数的1971—2022年邵阳县干旱事件历时和强度联合分布函数及拟合优度检验
Tab.4
| Copula函数 类型 | 联合分布函数 | θ拟合参数 | |
|---|---|---|---|
| Gumbel-Copula | 2.199 2 | 0.011 | |
| Clayton-Copula | 2.175 0 | 0.019 | |
| Frank-Copula | 7.215 3 | 0.018 |
为直观显示拟合效果,图3给出Gumbel-Copula函数的联合分布密度和累积概率,不难看出随着干旱历时和强度的同步增加,联合分布密度呈先缓后陡的增加趋势,联合累积概率等值线逐渐加密。此外,当干旱历时(强度)作为独立变量时,随着干旱历时(强度)的增加,联合累积概率呈先陡后缓的增加趋势。这些特征反映了干旱历时和强度的内在关联规律,对干旱事件等级的判定有重要启示。
图3
图3
基于Gumbel-Copula函数的1971—2022年邵阳县干旱事件联合分布密度(a)和累积概率(b)
Fig.3
The joint distribution density (a) and cumulative probability (b) of drought events based on Gumbel-Copula function in Shaoyang County during 1971-2022
同理,基于上述3种阿基米德型Copula函数对衡邵娄干旱走廊其他市(县)数据进行拟合。经检验,Gumel-Copula函数的拟合效果总体最优,且联合分布特征基本一致。
3.4 基于干旱历时和强度的联合重现期
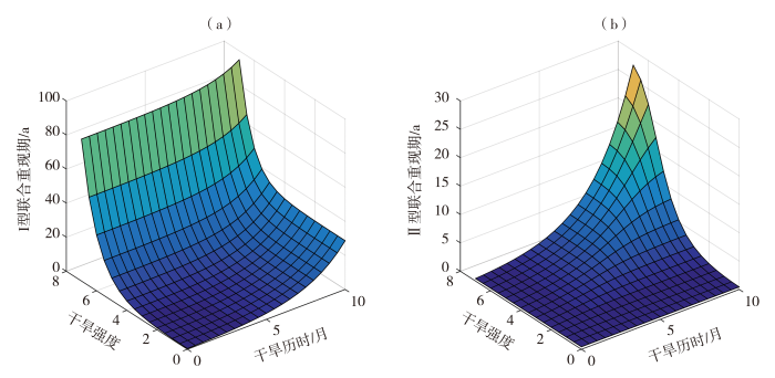
为探寻干旱历时和强度的内在特征,分别计算邵阳县干旱事件历时和强度的Ⅰ型和Ⅱ型联合重现期(图4),发现随着干旱历时和强度的增加,Ⅰ型和Ⅱ型联合重现期均呈上升趋势,但局部存在差异。针对Ⅰ型联合重现期[图4(a)],当干旱强度大于4时,联合重现期随干旱强度增大迅速增加,而随干旱历时变化较小;当干旱强度小于4时,联合重现期则随着干旱历时和强度的同步增大缓慢增加,当干旱历时为5~6个月时影响最大。针对Ⅱ型联合重现期[图4(b)],当干旱历时小于3个月或干旱强度小于4时,联合重现期随着干旱历时或强度增加变化较小;当干旱历时大于3个月且强度大于4时,联合重现期随着干旱历时和强度同步增大迅速上升。另外,Ⅰ型和Ⅱ型理论联合重现期峰值分别约97、27 a,表明发生长历时且高强度干旱事件的概率远比长历时或高强度干旱事件的概率低,即同步发生长历时和高强度干旱事件的概率很低,这是衡邵娄干旱走廊各市(县)干旱事件的共性。
图4
图4
1971—2022年邵阳县干旱事件Ⅰ型(a)和Ⅱ型(b)联合重现期
Fig.4
The joint return periods of drought events for the type Ⅰ (a) and type Ⅱ (b) in Shaoyang County during 1971-2022
根据1971—2022年邵阳县干旱事件强度和历时数据及理论联合重现期绘制分布图(图5),发现随着联合重现期增大,干旱事件发生频次迅速减少,大部分干旱事件的Ⅰ型和Ⅱ型联合重现期分别在5、2 a以内。相比于Ⅰ型,Ⅱ型干旱历时和强度联合重现期对经验(历史)数据的划分更合理,可有效避免单一特征量过大造成的干旱等级判别偏差。
图5
图5
1971—2022年邵阳县干旱事件的I型(a)和Ⅱ型(b)联合重现期分布(单位:a)
Fig.5
Distribution of joint return periods of drought events for the type Ⅰ (a) and type Ⅱ (b) in Shaoyang County during 1971-2022 (Unit: a)
3.5 衡邵娄干旱走廊干旱等级空间分布
表5 基于干旱历时和强度联合重现期的衡邵娄干旱走廊干旱等级划分标准
Tab.5
| 干旱类型 | 干旱重现期/a | 干旱历时/月,强度 | 累积概率/% |
|---|---|---|---|
| 轻旱 | 0~1 | (30.78, 100.00) | |
| 中旱 | >1~2 | (13.43, 30.78] | |
| 重旱 | >2~6 | (4.80, 13.43] | |
| 特旱 | >6 | (0.00, 4.80] |
表6 1971—2022年衡邵娄干旱走廊干旱事件统计
Tab.6
| 干旱类型 | 游程理论整合 | 干旱历时和强度联合重现期 | ||
|---|---|---|---|---|
| 干旱频数 | 干旱 频率/% | 干旱频数 | 干旱 频率/% | |
| 轻旱 | 1 375 | 53.2 | 1 788 | 69.2 |
| 中旱 | 751 | 29.1 | 448 | 17.3 |
| 重旱 | 312 | 12.1 | 223 | 8.6 |
| 特旱 | 145 | 5.6 | 124 | 4.8 |
图6
图6
1971—2022年衡邵娄干旱走廊不同类型干旱频率空间分布(单位:%)
(a)轻旱,(b)中旱,(c)重旱,(d)特旱
Fig.6
Spatial distribution of drought frequency for different types in the Heng-Shao-Lou drought corridor during 1971-2022 (Unit: %)
(a) slight drought, (b) moderate drought, (c) severe drought, (d) extreme drought
4 结论
利用衡邵娄干旱走廊1971—2022年逐月降水量观测资料,以SPI为基础初步判识干旱事件,应用游程理论通过干旱历时与强度判别整合干旱事件,在此基础上采用Copula函数构建干旱历时和强度联合分布函数,计算干旱联合重现期,构建基于干旱历时和强度的干旱等级划分标准,该成果可为衡邵娄干旱走廊的干旱灾害风险评估与管理提供一定的理论依据和技术支撑,主要结论如下:
(1)利用游程理论整合干旱事件时,基于月均SPI的各类干旱事件频次均低于SPI-1监测结果,且这两类指标分割了干旱事件的整体性,判定的干旱事件等级整体存在一定的片面性与局限性。
(2)采用Gumbel-Copula函数构建的干旱历时和强度联合分布,拟合优度最高,且有效降低了单变量判识干旱等级可能产生的偏差。此外,干旱历时并不完全符合指数分布,采用修正后的公式提高了模型的精度。
(3)衡邵娄干旱走廊同步发生长历时、高强度干旱事件的概率很小,远比长历时或高强度干旱事件的发生概率低。
(4)基于Ⅱ型干旱历时和强度联合重现期,构建了衡邵娄干旱走廊干旱等级划分标准。相较于传统上基于单变量的干旱等级划分标准,它通过表征干旱时间和强度,能够更准确评估干旱的复杂性及大范围影响。
(5)基于联合重现期干旱等级划分标准的衡邵娄干旱走廊干旱类型空间分布显示,随着干旱等级增加,干旱频率减小,同一类型干旱频率空间差异较大。其中,西部轻旱发生最频繁,中旱东部比西部更易发生,重旱多发生在邵阳市西南部及永州市北部,特旱主要分布在邵阳县、邵东县及双峰县一带。
然而,本研究仍有深入探索的空间,为进一步提升干旱灾害风险评估的可靠性,结合多重气象要素从多维度多角度探讨典型旱区的干旱时空特征,将是今后研究的重点内容。
参考文献
基于修订Copula函数的中国干旱特征研究
[J].利用中国613个站点1961~2010年逐月降水数据,基于游程理论从月标准化降水指数(SPI)序列中分离出干旱事件,并通过K-S检验方法对其干旱强度和干旱历时2个特征量的分布函数进行检验。在此基础上,利用Copula函数建立2个特征量的二维联合概率分布函数,对比分析干旱历时分布函数修订前后对不同类型干旱联合概率及重现期的影响。结果表明:干旱强度特征量符合Gamma分布,而干旱历时特征量并非完全符合指数分布,因此需对干旱历时分布函数进行必要的修订。在干旱历时分布函数修订情况下,大部分干旱类型的联合概率减小,少部分干旱类型的联合概率增大;且不同类型干旱的联合重现期增大。在干旱历时尺度相同时,随着干旱强度的增加,最大和最小联合重现期的差异无明显变化;但在干旱强度相同时,最大和最小联合重现期的差异随着干旱历时的增加而明显增大。
中亚地区干旱变化及其影响分析
[J].全球变暖加剧了中亚地区的干旱威胁,使得因干旱引发的水资源短缺、生态退化及跨境河流争端等问题更加突出。研究显示:过去半个多世纪,基于帕默尔干旱指数表征的中亚地区干旱程度整体变化趋势不显著,但伴随着区域的高温波动,中亚地区帕默尔干旱指数自2000年以来呈现明显下降趋势,约65%的区域表现为干旱化程度加剧,且在未来共享社会经济路径下中亚地区干旱强度持续增强。设计“去趋势”数字试验定量解析干旱指标对气候变化中各项因子的敏感性,发现气温对中亚干旱化趋势影响较大,降水变化加大了干旱的变率。从不同干旱亚类来看,中亚地区极端干旱区和干旱区面积以0.02×10<sup>4</sup>和0.22×10<sup>4</sup> km<sup>2</sup>/a的速率增加,主要集中在新疆塔里木盆地北缘和哈萨克斯坦南部等地区。同时,平原荒漠区的植被蒸腾和土壤水耗散量加大,浅层土壤含水量(0~10 和10~40 cm)分别约有84%和81%的区域表现为下降趋势,导致一些依靠地下水和土壤水维系生存的、抗旱性弱的浅根系荒漠植物衰亡,生态农业干旱加剧,且水文干旱呈更加复杂的态势,研究结论为中亚地区水资源规划管理和生态保护提供科学依据。
科学解读“2022年长江流域重大干旱”
[J].今年从6月开始持续到目前的整个长江流域的干旱事件,不仅对农业和能源等各方面影响十分严重,而且干旱发展过程和影响特征还表现出许多与以往不同的独特性,对其进行科学分析十分必要。鉴于此,该文试图在科学与科普同时兼顾的基础上,分别从新常态与反常态两个视角,从干旱的表现特征、形成机制、影响特点及从中得到的启示与思考等方面,对当前还在肆虐的2022年长江流域严重干旱事件进行一些简单的科学解读,以促进社会公众对此次干旱事件的科学认识。
论气候变暖背景下干旱和干旱灾害风险特征与管理策略
[J].干旱是全球影响最广泛的自然灾害, 给人类带来了巨大的危害, 近百年气候显著变暖使干旱灾害及其风险问题更加突出。目前, 对干旱和干旱灾害风险的内在规律理解并不全面, 对气候变暖背景下干旱和干旱灾害风险的表现特征认识也比较模糊。在系统总结国内外已有干旱和干旱灾害风险研究成果的基础上, 归纳了干旱灾害传递过程的基本规律及干旱灾害的本质特征, 综合分析了干旱灾害风险关键要素的主要特点及其相互作用关系, 讨论了气候变暖对干旱和干旱灾害风险的影响特点, 探讨了干旱灾害风险管理的基本要求。在此基础上, 提出了干旱灾害防御的主要措施及干旱灾害风险管理的重点策略。
A technique for the evaluation of drought from rainfall data
[J].
Accelerated dryland expansion under climate change
[J].Drylands are home to more than 38% of the total global population and are one of the most sensitive areas to climate change and human activities(1,2). Projecting the areal change in drylands is essential for taking early action to prevent the aggravation of global desertification(3,4). However, dryland expansion has been underestimated in the Fifth Coupled Model Intercomparison Project (CMIP5) simulations(5) considering the past 58 years (1948-2005). Here, using historical data to bias-correct CMIP5 projections, we show an increase in dryland expansion rate resulting in the drylands covering half of the global land surface by the end of this century. Dryland area, projected under representative concentration pathways (RCPs) RCP8.5 and RCP4.5, will increase by 23% and 11%, respectively, relative to 1961-1990 baseline, equalling 56% and 50%, respectively, of total land surface. Such an expansion of drylands would lead to reduced carbon sequestration and enhanced regional warming(6,7), resulting in warming trends over the present drylands that are double those over humid regions. The increasing aridity, enhanced warming and rapidly growing human population will exacerbate the risk of land degradation and desertification in the near future in the drylands of developing countries, where 78% of dryland expansion and 50% of the population growth will occur under RCP8.5.
The relationship of drought frequency and duration to time scales
[C]//
Fitting drought duration and severity with two-dimensional Copulas
[J].
Recurrence analysis of hydrologic droughts of differing severity
[J].
Use of a standardized runoff index for characterizing hydrologic drought
[J].
Fonctions de répartition à n dimensions et leurs marges
[J].
A multi-scalar drought index sensitive to global warming: the standardized precipitation evapotranspiration index
[J].The authors propose a new climatic drought index: the standardized precipitation evapotranspiration index (SPEI). The SPEI is based on precipitation and temperature data, and it has the advantage of combining multiscalar character with the capacity to include the effects of temperature variability on drought assessment. The procedure to calculate the index is detailed and involves a climatic water balance, the accumulation of deficit/surplus at different time scales, and adjustment to a log-logistic probability distribution. Mathematically, the SPEI is similar to the standardized precipitation index (SPI), but it includes the role of temperature. Because the SPEI is based on a water balance, it can be compared to the self-calibrated Palmer drought severity index (sc-PDSI). Time series of the three indices were compared for a set of observatories with different climate characteristics, located in different parts of the world. Under global warming conditions, only the sc-PDSI and SPEI identified an increase in drought severity associated with higher water demand as a result of evapotranspiration. Relative to the sc-PDSI, the SPEI has the advantage of being multiscalar, which is crucial for drought analysis and monitoring.
/
| 〈 |
|
〉 |
