2021年夏季CMA-MESO模式降水预报评估
Evaluation of precipitation forecast of CMA-MESO model in summer of 2021
通讯作者: 徐枝芳(1977—),女,北京人,研究员,主要从事数值模式与资料同化研究。E-mail:zhifang@cma.gov.cn。
责任编辑: 黄小燕;校对:蔡迪花
收稿日期: 2022-08-23 修回日期: 2022-10-27
| 基金资助: |
|
Received: 2022-08-23 Revised: 2022-10-27
作者简介 About authors
蔡怡(1996—),女,浙江杭州人,助理工程师,主要从事数值模式与资料同化研究。E-mail:281331328@qq.com。
利用中国2021年夏季(6—8月)逐3 h降水预报资料和地面气象站观测资料,从多个角度诊断分析CMA-MESO (China Meteorological Administration Mesoscale Model) 3 km系统模式降水预报性能,为预报员提供参考,为模式系统改进提供依据。结果表明:CMA-MESO 3 km模式能较好地预报出不同地区3 h累积降水量和有效降水频率时空分布特征,区域降水预报能力强于单站,持续性降水预报效果好于局地短时强降水。不同预报时效结果显示,CMA-MESO 3 km模式3 h降水预报值最大且大于观测值,6、9、12 h降水预报最接近实况;短时强降水个例结果显示CMA-MESO 3 km模式短临预报效果较好,3、6 h降水预报接近观测,降水量及其时间变化特征预报与观测基本一致,且8个预报时效的区域降水预报平均值接近观测值,预报效果较好。
关键词:
Based on the 3-hour precipitation forecast data and the observation data at surface meteorological stations in summer (from June to August) of 2021 in China, the precipitation forecast performance of CMA-MESO (China Meteorological Administration Mesoscale Model) with 3 km resolution was diagnosed and analyzed from multiple perspectives, which provides reference for forecasters and basis for model system improvements. The results show that the CMA-MESO 3 km model can better predict the spatial and temporal distribution characteristics of average 3 h cumulative precipitation and effective precipitation frequency in different regions. The prediction ability of regional precipitation is stronger than that of single station, and the prediction effect of continuous precipitation is better than that of local short-term heavy precipitation. According to the statistical results with different forecast leading times, the 3 h precipitation prediction is the largest in 8 period predictions, and it is much larger than the observation. Meanwhile, the 6 h, 9 h and 12 h precipitation predictions are closer to the observation. The analysis results of short-term strong precipitation cases show that the CMA-MESO 3 km model forecast for short-term heavy rainfall is more accurate, and the 3 h and 6 h predictions and their temporal variation characteristics are very close to observation. In addition, the regional average precipitation of the eight-period predictions are very close to the observation.
Keywords:
本文引用格式
蔡怡, 徐枝芳, 龚玺, 钟若嵋, 黄观胜, 龙海川.
CAI Yi, XU Zhifang, GONG Xi, ZHONG Ruomei, HUANG Guansheng, LONG Haichuan.
引言
近年来,随着数值模式的不断发展和高性能计算机能力的提升,高分辨率的区域快速更新循环同化系统发展迅速(Benjamin et al.,2004;薛纪善等,2008;陈子通等,2010;王叶红等,2011;傅娜等,2013)。2001年中国气象局开始自主研发新一代全球/区域通用数值天气预报系统GRAPES(Global/Regional Assimilation and Prediction Enhanced System),GRAPES区域数值预报业务系统(GRAPES-MESO,2021年更名为CMA-MESO)于2006年正式投入业务化运行(Ma et al.,2009),经过不断升级改进,要素场和降水预报准确性明显提升(黄丽萍等,2017;徐枝芳等,2013),2015年建成了覆盖中国东部区域3 km水平分辨率的试验系统。2020年覆盖全中国区域业务系统的分辨率从10 km升级为3 km(庄照荣等,2020),每日开展8次同化分析和预报,资料同化种类和资料量大幅增加,CMA-MESO模式在短临预报中发挥越来越重要的作用,极大地提高了降水天气过程的预报准确率,但对极端暴雨和强降水的捕捉能力仍有较大的提升空间。
模式降水预报检验评估不仅可为预报员预报提供参考,还可为模式系统改进提供依据。有研究采用降水确定性预报评分如预报成功指数评分(Threat Score,TS)、公平成功指数评分(Equitable Threat Sore,ETS)和预报偏差Bias,检验评估了CMA-GFS(China Meteorological Administration Global Forecast System)、ECMWF(European Centre for Medium-Range Weather Forecasts)、SMS-WARMS(Shanghai Meteorological Service-WRF ADAS Rapid Refresh System)等不同模式的降水预报性能,发现模式对小雨、中雨、大雨量级预报评分较高,而对暴雨预报评分总体较低(宫宇等,2018;梅钦等,2018;吴秋霞等,2007;张立凤和罗雨,2010)。另外,还有研究采用概率预报检验评分如Brier评分、相对作用特征(Relative Operative Characteristic, ROC)、可靠性评分(Reliability Score, RS)和邻域空间检验(Fraction Skill Score, FSS)对模式降水进行不确定性分析(孙建华等,2018;曹越等,2019;徐同等,2019),发现对于临近降水预报,概率预报效果较集合平均更具有优势,但对极端强降水的指示意义较差(徐致真等,2019;韦青等,2020;吴晶等,2020;王婧卓等,2021)。
针对CMA-MESO模式降水预报的定量统计检验已开展了大量研究:如史文茹等(2021)对“7·20”特大暴雨天气过程的模式预报性能进行检验评估,肯定了数值模式对此次特大暴雨具有一定预报能力;张小雯等(2020)利用降水确定性预报评分评估了CMA-MESO 3 km模式强对流天气预报性能,发现该模式对风暴等强对流天气的预报明显优于其他模式。另外,许晨璐等(2017)、谢漪云和王建捷(2021)对CMA-MESO模式预报降水量、降水频率、降水强度特征等综合表现也进行了检验评估,指出CMA-MESO模式能够很好地捕捉日均降水量和降水频率与地域分布特征的关系,弱降水频率偏低,强降水频率与实况吻合,但强度偏弱。多项研究结果均表明CMA-MESO模式对中国区域强对流天气精细化预报具有明显优势(陈静等,2022;黄丽萍等,2017;刘雪晴等,2020)。但上述研究均基于某一定特定区域范围内(如青藏高原东部及四川西部的高原复杂地形、华南沿海地区等)24 h降水预报产品开展评估,对不同区域范围降水预报的对比分析较少,且对不同起报时间不同预报时效的模式预报评估分析尚未深入展开。因此,本文从中国2021年夏季(6—8月)每日逐3 h降水量和有效降水频率入手,通过划分不同区域及不同降水量级,从多视角定性和定量评估CMA-MESO 3 km模式8个起报时次预报结果,为CMA-MESO 3 km模式预报产品的深度应用和系统改进提供参考。
1 资料和方法
1.1 资料
所用资料为:2021年夏季(6—8月)10 796个国家级地面气象观测站逐3 h累积降水量资料,由于一些观测站降水资料存在缺失,对缺测率大于5%的观测站进行剔除以保证所用资料的完整性;同期CMA-MESO 3 km模式每日8个起报时次(00:00、03:00、06:00、09:00、12:00、15:00、18:00、21:00)逐3 h地面降水预报产品。CMA-MESO 3 km模式的水平分辨率为0.03°×0.03°,预报范围70.00°E—145.00°E、15.00°N—65.00°N,每隔3 h同化一次资料,每日00:00和12:00冷启动一次,00:00和12:00启动的预报时效为72 h,其他时次的预报时效为36 h,为确保诊断分析数据样本一致性,本文仅对前24 h预报产品做诊断分析。文中所有时间均为世界时。文中附图涉及地图均基于中华人民共和国民政部官网提供的审图号为GS(2022)1873号的标准地图制作,底图无修改。
1.2 有效降水频率计算方法
站点平均有效降水频率定义为:将每日00:00—00:00站点观测及模式预报3 h累积降水量分为无降水(RC<0.1 mm)、有效降水(RC≥0.1)和强降水(RC≥10.0 mm)3种情况进行统计。若RC≥0.1 mm,则有效降水次数
区域平均有效降水频率定义为:对所选取区域内站点3 h累积降水量
2 夏季降水实况与预报特征分析
2.1 夏季3 h降水量及降水频率实况时空分布
由2021年夏季国家级地面气象观测站逐3 h累积降水量(图1)和有效降水频率(图2)空间分布可知,站点3 h累积降水量和有效降水频率空间分布不均匀,南方多北方少、东部多西部少,下午至傍晚(06:00—12:00)降水范围最广,且降水量明显大于其他观测时段;白天(21:00至次日09:00)中部地区(28.00°N—35.00°N)沿长江流域有一条明显的雨带。东南沿海地区午后降水次数较多,同时段3 h累积降水量远大于其他地区,部分地区降水达中雨以上量级,说明该地区主要以午后局地短时强降水为主。距离临近的川渝地区东部(103.00°E—108.00°E,28.00°N—33.00°N)和青藏高原东部及四川西部(97.00°E—102.00°E,28.00°N—33.00°N)呈现出不同的降水特征,川渝地区东部降水主要集中在凌晨至上午(18:00至次日03:00),青藏高原东部和四川西部降水主要集中在深夜至清晨(15:00—21:00),有效降水频率大。云南西南地区部分站点有效降水频率高于沿海地区,但降水量远小于东南沿海,说明云南西南地区降水具有区域性、连续性和降水强度小的特征。
图1
图1
2021年夏季逐3 h累积降水量空间分布(单位:mm)
Fig.1
The spatial distribution of 3-hour cumulative precipitation in summer of 2021 (Unit: mm)
图2
图2
2021年夏季逐3 h有效降水频率空间分布
Fig.2
The spatial distribution of 3-hour effective precipitation frequency in summer of 2021
2.2 模式预报夏季3 h降水时空分布
图3是2021年夏季逐3 h累积降水量预报偏差分布。可以看出,模式对不同地区的3 h降水预报表现不一致,以黑河—腾冲为分界,降水量偏差东部较大、西部较小。大部分地区预报的3 h累积降水量高于观测值,而云贵高原和京津冀地区的降水量预报小于观测值,其中云南西南部少数站点的负偏差值较大,其余地区负偏差均在1.0 mm以内。
图3
图3
2021年夏季逐3 h累积降水量预报偏差(预报减去观测)(单位:mm)
Fig.3
The forecast bias of 3-hour cumulative precipitation in summer in 2021 (forecast minus observation) (Unit: mm)
对不同观测时段的预报偏差分析发现,降水偏差小值区在各观测时段的分布特征基本一致,而偏差大值区在各观测时段的分布略有不同。长江中下游地区降水预报偏差大值集中在白天(21:00至次日09:00),东南沿海和海南下午至傍晚(06:00—12:00)的降水量预报偏差大,川西和青藏高原东部预报偏差大值集中在傍晚至凌晨(09:00—15:00),而四川盆地及重庆地区偏差大值出现时间为凌晨至上午(15:00至次日03:00),且为正偏差。结合图1发现,预报偏差大值区与降水观测大值区基本对应。
2021年夏季逐3 h累积降水量预报均方根误差空间分布(图略)与3 h累积降水预报偏差相似,均方根误差大值区偏差也较大,如东南沿海、青藏高原东部、海南及川渝地区,而长江以北内陆夏季降水量偏少地区,其偏差和均方根误差值均较小,说明模式不同预报时效预报均对无雨或弱降水有较好的预报效果。
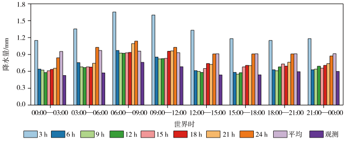
图4为2021年夏季逐3 h累积降水量观测和不同预报时效(3、6、9、12、15、18、21、24 h)预报值对比。可以看出,全国不同观测时段所有预报时效平均降水量均大于观测值,且随着预报时效增长,平均降水量均呈现先减少后增加趋势,其中3 h预报降水量最大,均比观测值大1.0 mm以上,即3 h预报降水量偏多,6、9、12 h预报降水量接近观测值。黄丽萍等(2017)指出CMA-MESO模式预报的中雨以上量级偏差较大,可能是模式预报的水汽含量增加所致。朱立娟等(2017)发现采用云分析的短时降水对背景场有很大的依赖性,而云分析对背景场原因引起的虚假降水很难剔除。张小雯等(2020)通过评估CMA-MESO 3 km模式预报降水发现,因加入云分析,系统spin-up问题不明显,3 h预报TS值最高。由此推断,云分析系统的不完善和模式预报的虚假云水信息可能是造成3 h降水量偏大的原因。
图4
图4
2021年夏季逐3 h累积降水量观测和不同预报时效降水预报值对比
Fig.4
Comparison of observed 3-hour cumulative precipitation and forecast values with different timeliness in summer of 2021
2.3 夏季3 h有效降水频率预报时空分布
图5为2021年夏季逐3 h有效降水频率预报偏差空间分布。可以看出,06:00—12:00全国大部分站点夏季3 h有效降水频率预报值高于观测值,说明该时段模式预报的降水日数比观测多。松花江流域东部不同观测时段夏季3 h有效降水频率预报均偏高,云南在凌晨至早上(18:00至次日03:00)有效降水频率偏低,川渝及青藏高原东部边缘地区的有效降水频率偏差在不同时段的分布与降水量预报偏差相似。2021年夏季逐3 h站点有效降水频率均方根误差大值区空间分布与有效降水频率偏差基本一致(图略)。
图5
图5
2021年夏季逐3 h有效降水频率预报偏差空间分布
Fig.5
The spatial distribution of forecast bias of 3-hour effective precipitation frequency in summer of 2021
图6
图6
2021年夏季逐3 h有效降水(a)及强降水(b)频率观测和不同预报时效预报值对比
Fig.6
Comparison of observed 3-hour effective precipitation (a) and heavy precipitation (b) frequency and forecast values with different timeliness in summer of 2021
2.4 不同区域夏季3 h降水量和降水频率特征
选取前文分析的降水特征存在明显差异的5个区域做进一步分析:(1)川西区(97.00°E—102.00°E,28.00°N—33.00°N),即青藏高原东部边缘和四川西部高海拔复杂地形区;(2)川东区(103.00°E—108.00°E,28.00°N—33.00°N),即四川东部盆地区;(3)云南区(97.00°E—102.50°E,21.50°N—26.00°N);(4)华南区(110.00°E—116.50°E,21.50°N—26.00°N);(5)华东区(117.00°E—122.00°E,28.00°N—33.00°N)。综合2021年夏季中国不同区域平均3 h累积降水量及站点平均、区域平均有效降水频率(图7)分析,发现华东和华南地区午后降水量大,同时间站点平均有效降水频率小而区域平均有效降水频率大,表明华东和华南地区主要降水特点为午后局地强降水;川西和川东降水主要发生在深夜至清晨,同时间站点和区域平均有效降水频率都相对较大,说明川西和川东降水为区域性夜雨;云南降水量、站点和区域平均有效降水频率日变化相对较小,为区域连续性降水。
图7
图7
2021年夏季中国不同区域平均3 h累积降水量(a)及区域平均(b)、站点平均(c)有效降水频率的日变化
Fig.7
The diurnal variation of 3-hour cumulative precipitation (a), regional mean (b) and station mean (c) effective precipitation frequency in different regions of China in summer of 2021
不同地区不同预报时效预报的3 h累积降水量及站点平均、区域平均有效降水频率日变化(图8)显示,模式(除川西地区外)基本能预报出不同时效降水量的日变化特征,川西地区预报峰值比观测早约9 h。不同预报时效在不同区域表现不一,总体而言,平均预报效果优于单次预报。华南和华东3 h降水量预报和站点平均有效降水频率远大于观测,表明3 h预报相对较差。从站点平均和区域平均有效降水频率结果看,模式预报的区域平均有效降水频率更接近观测,说明模式能准确预报出区域降水,但精准性略差。云南区域性连续降水模式预报效果相对较好。川西和川东降水过程模式预报效果相对差一些,绝大部分时效预报的降水量比观测值大,其中川西地区预报的降水量和有效降水频次大值均出现在傍晚,和观测有明显差异,而川东地区预报的降水量和有效降水频次比观测高,但日变化趋势和观测较为一致。
图8
图8
2021年夏季中国不同区域站点观测和不同时效预报的3 h累积降水量(左)及站点平均(中)、区域平均(右)有效降水频率日变化
Fig.8
Diurnal variation of observed and forecasted 3-hour cumulative precipitation (the left), station average (the center) and regional average (the right) effective precipitation frequency with different forecasting timeliness in different regions of China in summer of 2021
结合前文可知,西南地区降水局部差异大、变化复杂,受季风环流和复杂地形的共同影响,常有强降水发生,因此选取川西和川东地区2021年7月17—24日持续一周的降水过程进行深入分析。从图9可以看出,模式3 h累积降水预报值基本都高于观测值,且川东地区降水预报效果优于川西地区。川东地区降水增加和峰值出现时刻预报相对准确,但3 h降水量预报偏大,6、9、12 h降水预报与观测最接近,这与夏季该地区平均降水日变化表现一致。川西地区夜雨较明显,模式对降水峰值出现时间把握不太准确,峰值出现时间较观测明显提前,7月19日提前了12 h。由此可见,模式有较好的降水预报能力,但对川西复杂大地形附近的预报还存在不足,其原因可能是川西地区地形复杂,多高原山地,因此需要进一步优化和完善该区域的资料同化、模式系统的动力框架和物理过程。
图9
图9
2021年7月17—24日川西(a)和川东(b)地区3 h累积降水量观测值和不同预报时效预报值
Fig.9
The 3-hour cumulative precipitation of observation and forecast values with different timeliness in western (a) and eastern (b) Sichuan Province from 17 to 24 July 2021
3 典型强降水过程预报性能评估
选取2021年3个典型暴雨过程考察CMA-MESO 3 km模式对短时区域强降水及单站极端降水的捕捉能力。
3.1 7月11—13日京津冀地区强降水
2021年夏季京津冀地区(114.00°E—117.50°E,37.00°N—41.40°N)整体降水较少,7月11—13日出现一次较强降水过程(图10),7月11—12日,京津冀等地出现入汛以来最强降雨,大部地区出现暴雨到大暴雨。此次降雨具有影响范围广、累积降水量大、大风天气明显、局地雨强破极值等特点。模式较好地预报出了此次强降水过程,不同时效预报平均值与观测值基本一致,3 h降水预报略偏大,7月13日6、9 h预报与观测最接近。此次降水过程中,保定站3 h累积降水量有2次达到大暴雨量级,前3 h预报较好地抓住了降水极值出现时间,其预报趋势与观测基本一致,其余预报时效对于第一次降水峰值未预报出来,12 h及以上时效预报在11日第一次降水峰值出现了漏报,12日和13日出现了空报,可见对于大雨以上量级的短时强降水,应多关注9 h以内的短临预报结果。
图10
图10
2021年7月11—13日京津冀地区(a)及保定站(b)3 h累积降水量观测值和不同预报时效预报值
Fig.10
The 3-hour cumulative precipitation of observation and forecast values with different leading times in Beijing-Tianjin-Hebei (a) and Baoding station (b) from 11 to 13 July 2021
3.2 7·20郑州极端强降水
2021年7月17—22日,河南地区出现罕见的极端强降水天气。由7月19—21日3 h累积降水量演变可知,此次降水主体分布在河南中北部和西部山地的东侧,郑州市及周边地区普遍出现短时超强降水,部分站点3 h累积降水量超过25.0 mm,郑州站出现该区域内降水极大值,3 h累积降水量最大达174.8 mm,打破建站以来历史记录。选取河南地区(113.00°E—114.50°E,34.25°N—35.75°N)及郑州站气象观测和模式预报(图11)进行分析。
图11
图11
2021年7月19—21日河南地区(a)及郑州站(b)3 h累积降水量观测值和不同预报时效预报值
Fig.11
The observed 3-hour cumulative precipitation and forecast values with different leading times in Henan (a) and Zhengzhou station (b) from 19 to 21 July 2021
河南地区降水过程从7月19日06:00起,降水量级逐渐增加,21:00达到暴雨,至20日09:00降水量达到顶峰,强降水一直持续到21日21:00才逐渐减弱为大雨量级。不同预报时效降水预报平均值与区域3 h降水观测值趋势较为接近,均表现为先增后减。在3 d降水过程中,3 h降水量等级预报与实况基本一致,但大部分时段3 h降水量预报值略高于观测值,除极端降水出现时段预报量较观测值偏低20.0 mm外,其余均在6.0 mm以内。同时间段不同时效预报结果差异较大,最大差异可达60.0 mm,且降水量级越高,不同时效间预报结果差异越大。总体而言,3、6 h预报最接近观测。
郑州站逐3 h累积降水量时序结果表明,不同预报时效的模式预报均难以准确预报极端降水量值。3 h预报时效可以较为准确预报出郑州站的特大暴雨量级,短临(3、6 h)预报对降水趋势预报也相对比较准确,而其他预报时效的降水预报效果稍微差一些,且随着预报时效增加预报效果相对更差。由此可见,对于短时强降水过程,CMA-MESO 3 km模式的短临(3、6 h)预报效果更好。
3.3 台风"烟花"强降水
为对比模式在不同天气系统下强降水过程的预报能力,选取2021年7月24—26日台风“烟花”登陆前后降水过程进行分析(图12)。台风“烟花”移动速度慢、风雨强度大、影响范围广,长时间陆上滞留更是打破纪录。
图12
图12
2021年7月24—26日上海地区(a)及浦东站(b)3 h累积降水量观测值和不同预报时效预报值
Fig.12
The observed 3-hour precipitation and forecast values with different leading times in Shanghai (a) and Pudong station (b) from 24 to 26 July 2021
与郑州极端强降水过程相比,此次受台风影响的降水过程雨量略小。从区域(121.00°E—122.00°E,30.75°N—31.50°N)平均降水可知,这次降水过程模式预报效果较好,不同时效预报降水量平均值与观测值差异较小,且部分时段预报量级与观测量级一致,不同时效预报差异较小,都能很好地预报出降水量变化趋势。浦东站降水时序结果和区域降水平均结果较相似,3、6 h短临预报能更好地捕捉降水量短时变化。
由此可见,CMA-MESO 3 km模式对不同降水过程的预报能力均较强,模式的区域降水预报能力强于单站,持续性降水预报效果好于局地短时强降水,局地短时强降水3、6 h等短临降水预报效果较好。
4 结论
本文利用2021年夏季(6—8月)国家级地面气象观测站每日00:00—00:00逐3 h累积降水量观测资料,从多个角度对CMA-MESO 3 km模式降水预报进行评估。得到以下结论:
(1)2021年夏季3 h降水量和有效降水频率时空分布不均,南方多北方少、东部多西部少,下午至傍晚(06:00—12:00)降水范围广、降水量大。云南地区是连续区域性弱降水;东南沿海地区午后降水次数较多,以短时局地强降水为主;川渝地区多为区域性夜雨。
(2)除青藏高原复杂地形附近川西地区外,模式可以较好地预报3 h降水量和降水频率的时空分布特征,区域降水预报能力强于单站,持续性降水预报效果好于局地短时强降水,且不同预报时效均对无雨或弱降水的预报较好。川西地区,模式降水预报时段过长,降水峰值较观测提前约9 h。
(3)CMA-MESO 3 km模式对不同降水过程的预报能力较强。不同预报时效、不同预报量级的降水预报效果存在差异。统计结果显示,对于非短时强降水过程,模式3 h降水量预报最大且远高于观测值,6、9、12 h预报结果接近观测值,因此可重点关注6、9、12 h的模式预报以及8个不同时效平均降水量预报。短时强降水个例结果显示,模式3、6 h降水预报更接近观测值,因此对于短时强降水需重点关注短临(3、6 h预报)。
参考文献
华南复杂地形下GRAPES_Meso 3 km对流尺度模式前汛期精细化降水预报评估
[J].
1901—2014年黄土高原1 km分辨率月均气温和月降水量数据集
[J].
An hourly assimilation-forecast cycle: the RUC
[J].
Using ensembles for short-range forecasting
[J].
Using initial condition and model physics perturbations in short-range ensemble simulations of mesoscale convective systems
[J].
Mesoscale convective systems in weakly forced large-scale environments. Part II: generation of a mesoscale initial condition
[J].
Developments of the three-dimensional variational data assimilation system for the nonhydrostatic GRAPES
[J].
/
| 〈 |
|
〉 |
