宁夏贺兰山东麓葡萄园小气候特征
Microclimate characteristics of vineyards in east foothills region of Helan Mountain in Ningxia
通讯作者: 张晓煜(1968— ),男,宁夏平罗人,博士,研究员,主要从事葡萄气象方面研究. E-mail:Zhang_xynet@163.com。
责任编辑: 刘晓云;校对:蔡迪花
收稿日期: 2021-01-11 修回日期: 2021-04-13
| 基金资助: |
|
Received: 2021-01-11 Revised: 2021-04-13
作者简介 About authors
李芳红(1993—),女,甘肃庄浪人,硕士研究生,主要从事果树生理生态研究.E-mail:lfh_qgm@foxmail.com。
利用贺兰山东麓葡萄产区2019年8套小气候站和银川国家基准站(简称“银川站”)气象资料,对比分析银川站与葡萄园小气候代表站美域酒庄气候差异,以及美域酒庄气象要素垂直变化、同一气候区4个酒庄和5个子产区酒庄小气候差异。结果表明:(1)美域酒庄与同区域银川站各气象要素均存在差异。(2)在典型晴天10 cm地温日波动最大,40 cm最平稳,日平均地温秋、冬季典型晴天表现为10 cm<20 cm<40 cm,春、夏季典型晴天表现为10 cm>20 cm>40 cm。月、生长季和年平均50、150 cm两高度空气相对湿度差异不明显。(3)同一气候区,4个酒庄小气候受地势、海拔和土壤类型影响较大。砾石含量越高,气温越高;海拔越高,相对湿度越小、风速越大;处于山前海拔较低的留世酒庄生长季降水最多,轩尼诗酒庄降水最少。(4)5个子产区酒庄由南至北降水、空气相对湿度和光合有效辐射逐渐减小,气温逐渐升高。
关键词:
Based on the meteorological data of 8 sets of microclimate monitoring stations in the grape producing area in east foothills region of Helan Mountain and Yinchuan national reference station in 2019, the climate difference between Yinchuan station and the representative station was compared and analyzed, and the vertical changes of meteorological elements at Meiyu Winery were analyzed. The microclimate differences at four wineries in the same climate zone and five sub-regions in different climate zones were analyzed. The results are as follows: (1) Meteorological elements at Meiyu Winery and Yinchuan station in the same region were significantly different. (2) The 10 cm soil temperature fluctuated most and 40 cm soil temperature was most stable on a typical sunny day. The daily average soil temperature on a typical sunny day in autumn and winter increased in the order of 10 cm<20 cm<40 cm, and it decreased in the order of 10 cm>20 cm>40 cm in spring and summer. There was no significant difference of relative humidity in each month, growing seasons and the whole year between 50 cm and 150 cm height. (3) In the same climatic zone, the microclimate was greatly affected by topography, altitude and soil type. The higher the gravel content was, the higher the temperature was; the higher the altitude was, the lower the humidity and the greater the wind speed were. precipitation during the growing season was most at Liushi Winery with a lower altitude in front of the mountain, and it was least at Hennessy Winery. (4) The precipitation, air relative humidity and photosynthetic active radiation gradually decreased, and the temperature gradually increased from south to north in five small winery regions in east foothills region of Helan Mountain.
Keywords:
本文引用格式
李芳红, 张晓煜, 冯蕊, 陈仁伟, 张亚红, 卫建国.
LI Fanghong, ZHANG Xiaoyu, FENG Rui, CHEN Renwei, ZHANG Yahong, WEI Jianguo.
引言
宁夏贺兰山东麓作为中国酿酒葡萄优质生态区之一,其独特的自然、地理环境,为酿酒葡萄生长和品质形成提供了最佳的风土条件[14-15]。相比于鲜食葡萄,酿酒葡萄栽培要综合考虑土壤、地形、小气候等多方面条件[16-17],气候因素变化会引起葡萄原料质量和成分结构的波动,特别是生长季4—10月气候条件对葡萄品质影响较大[18],从而引发酒质的改变[19]。葡萄园小气候研究及开发利用对酿酒葡萄栽培管理技术的优化、葡萄与葡萄酒品质的提升至关重要。 葡萄是喜温植物,对热量要求较高,气温是酿酒葡萄生长和安全越冬的关键因素[20],冬季最低气温高于-15 ℃的地区,酿酒葡萄可不埋土越冬,而在低于-15℃的地区必须进行不同程度的覆土,才能安全越冬[21]。空气相对湿度与葡萄的蒸腾作用、光合作用以及果实发育关系密切,会影响果实品质和葡萄酒的质量,酿酒葡萄整个生育期的空气相对湿度适宜范围为50%~70%[22]。温湿条件是作物生长的关键因子,适宜的生态和气候条件是酿酒葡萄生长发育的关键,小气候是基于作物全生育期的生态和气候条件而形成,探索小气候变化特征对酿酒葡萄栽培有重要意义。贺兰山东麓葡萄园小气候监测站安装于2018年10月,文中以其小气候数据为第一批检测资料,基于银川国家基准站气象资料,对比分析葡萄园小气候与大气监测站气候差异、葡萄园气象要素的垂直变化、同一气候区不同地形下小气候特征,总结贺兰山东麓葡萄园小气候特征,以期为研究葡萄园能量和物质交换过程中的消长规律和定量关系提供理论依据,从而提高葡萄园栽培管理科学化水平。
1 研究区概况
宁夏贺兰山东麓(37°43'N—39°23'N、 105°45'E—106°47'E)为贺兰山冲积扇与黄河冲积平原之间的宽阔地带,其南北长200 km,东西宽5~30 km,土地总面积2410.7 km2。该区成土母质以冲积物为主,土壤含砾石、沙粒,主要为灰钙土和淡灰钙土。
2 资料与方法
2.1 数据来源和研究区概况
所用资料为银川国家基准站(简称“银川站”)2019年1月1日至12月31日气象要素日资料;贺兰山东麓葡萄园8套农田自动小气候观测站5 min气象监测资料,包括150 cm气温,50 cm和150 cm空气相对湿度,10、20、40 cm地温,风速,降水量,光合有效辐射等,以上资料均来源于宁夏气象局信息中心,缺测数据采用线性回归法进行插补。宁夏贺兰山东麓属于中温带干旱气候区,选取同一气候区的不同地形高度4个酒庄(留世酒庄、轩尼诗酒庄、玉泉国际酒庄、长城云漠酒庄)及5个产区[石嘴山产区(贺东庄园)、银川产区(美域酒庄)、玉泉营产区(玉泉国际酒庄)、青铜峡产区(御马酒庄)和红寺堡产区(东方裕兴酒庄)]研究小气候差异。文中附图涉及地图基于宁夏地理信息公共服务平台,审图号为宁S[2016]第10号的标准底图制作,底图无修改;银川站和8个小气候站位置及具体信息如图1和表1所示。
图1
图1
贺兰山东麓气象站和小气候站位置分布
Fig.1
Location distribution of meteorology station and microclimate stations in eastern foothills region of Helan Mountain
表1 各酒庄所在产区及地理信息
Tab.1
| 站点编号 | 酒庄 | 所在产区 | 海拔/m | 经度/°E | 纬度/°N |
|---|---|---|---|---|---|
| 1 | 美域酒庄 | 银川产区 | 1178 | 106°00'52″ | 38°37'33″ |
| 2 | 留世酒庄 | 银川产区 | 1134 | 106°01'10″ | 38°30'03″ |
| 3 | 轩尼诗酒庄 | 银川产区 | 1227 | 106°01'12″ | 38°19'30″ |
| 4 | 玉泉国际酒庄 | 玉泉营产区 | 1140 | 105°59'24″ | 38°11'05″ |
| 5 | 长城云漠酒庄 | 银川产区 | 1230 | 105°56'17″ | 38°22'34″ |
| 6 | 贺东庄园 | 石嘴山产区 | 1108 | 106°18'40″ | 38°59'12″ |
| 7 | 东方裕兴酒庄 | 红寺堡产区 | 1388 | 106°05'22″ | 37°19'20″ |
| 8 | 御马酒庄 | 青铜峡产区 | 1176 | 105°52'48″ | 38°05'40″ |
2.2 数据处理与分析
表2 晴天判别标准
Tab.2
| 月份 | 晴天 |
|---|---|
| 1、4 | SS≥7.0且R≤2.0 |
| 7 | SS≥8.0且R≤2.0 |
| 10 | SS≥9.0且R≤2.0 |
3 结果分析
3.1 美域酒庄小气候站与银川站气象要素对比
3.1.1 逐月变化
美域酒庄小气候站与银川站距离最近,因此下文用美域酒庄小气候站(简称“美域酒庄”)作为葡萄园小气候代表站来反映葡萄园气象要素变化特征。
图2
图2
2019年银川站与美域酒庄月平均气温(a)、10 cm地温(b)、风速(c)、空气相对湿度(d)、月降水量(e)和月降水日数(f)的对比
Fig.2
Comparison of monthly average temperature (a), 10 cm soil temperature (b), wind speed (c) and air relative humidity (d),monthly precipitation (e) and monthly precipitation days (f) between Yinchuan station and Meiyu Winery in 2019
表3 2019年及其生长季银川站与美域酒庄各气象要素
Tab.3
| 时间 | 站点 | 最高 气温/ ℃ | 最低 气温/ ℃ | 平均 气温/ ℃ | 平均空 气相对 湿度/% | 降水量/ mm | 降水 日数/ d | 平均 10 cm 地温/℃ | 平均 风速/ (m·s-1) |
|---|---|---|---|---|---|---|---|---|---|
| 2019年 | 美域酒庄 | 37.1 | -17.0 | 10.8 | 42.6 | 186.2 | 56 | 12.2 | 2.2 |
| 银川站 | 36.7 | -15.7 | 10.9 | 47.6 | 145.5 | 51 | 13.9 | 1.6 | |
| 生长季 | 美域酒庄 | 35.9 | 6.0 | 18.7 | 44.7 | 171.5 | 47 | 20.0 | 2.1 |
| 银川站 | 36.7 | 6.5 | 18.7 | 50.9 | 140.4 | 45 | 22.9 | 1.6 |
2019年两站月平均10 cm地温变化[图2(b)]均呈单峰型,两站秋季差异显著, 7月差值最大, 1、2、12月平均10 cm地温美域酒庄略高于银川站,而3—10月美域酒庄低于银川站;2019年及其生长季10 cm地温平均值美域酒庄低于银川站。
2019年两站月平均风速变化[图2(c)]均呈双峰型,整体变化趋势一致,峰值出现在4月和11月,谷值出现在1月和9月;各月平均风速美域酒庄均高于银川站,两站无显著差异。2019年及其生长季平均风速美域酒庄略高于银川站。
2019年两站月平均空气相对湿度变化[图2(d)]趋势一致,月平均空气相对湿度葡萄园高于银川站,但两站差异不显著,两站最大值均出现在9月,最小值出现在3月。 2019年及其生长季平均空气相对湿度均为葡萄园低于银川站,且生长季平均空气相对湿度与年平均空气相对湿度非常接近。
3.1.2 四季典型晴天对比
2019年美域酒庄与银川站四季典型晴天最高、最低和平均气温(图3)的分布基本一致。冬、春、秋季典型晴天两站最高气温值接近,夏季美域酒庄偏低;两站最低气温在冬季接近,春、夏、秋季美域酒庄稍偏高;平均气温冬、春、秋季美域酒庄较银川站偏高,夏季两站接近。
图3
图3
2019年美域酒庄与银川站四季典型晴天最高(a)、最低(b)和平均(c)气温对比
Fig.3
Comparison of the maximum (a), minimum (b) and average (c) temperatures on a typical sunny day in four seasons between Meiyu Winery and Yinchuan station in 2019
图4为2019年美域酒庄与银川站四季典型晴天最大、最小和平均空气相对湿度对比。可以看出,美域酒庄最大空气相对湿度秋季典型晴天最大,春季典型晴天最小,两站最大空气相对湿度差异显著,且四季典型晴天均表现为美域酒庄低于银川站;两站最小空气相对湿度相差较小,而平均空气相对湿度美域酒庄低于银川站。
图4
图4
2019年美域酒庄与银川站四季典型晴天最大(a)、最小(b)和平均(c)150 cm空气相对湿度对比
Fig.4
Comparison of the maximum (a), minimum (b) and average (c) 150 cm air relative humidity on a typical sunny day in four seasons between Meiyu Winery and Yinchuan station in 2019
2019年美域酒庄四季典型晴天最高、最低和平均10 cm地温(图5)呈单峰型分布,变化趋势与气温相似;冬、春、秋季典型晴天最高10 cm地温美域酒庄低于银川站,而夏季美域酒庄高于银川站;最低10 cm地温在四季典型晴天均为美域酒庄高于银川站;冬、春季典型晴天平均10 cm地温美域酒庄高于银川站,夏、秋季典型晴天银川站高于美域酒庄,且两站差异显著。
图5
图5
2019年美域酒庄与银川站四季典型晴天最高(a)、最低(b)和平均(c)10 cm地温对比
Fig.5
The comparison of the maximum (a), minimum (b) and average (c) 10 cm soil temperature on a typical sunny day in four seasons between Meiyu Winery and Yinchuan station in 2019
3.2 美域酒庄气象要素垂直变化
3.2.1 空气相对湿度
图6
图6
2019年美域酒庄不同高度月平均空气相对湿度变化
Fig.6
The variation of monthly average relative humidity at different heights at Meiyu Winery in 2019
表4 2019年及其生长季美域酒庄气象要素平均值
Tab.4
| 时段 | 空气相对湿度/% | 地温/℃ | ||||
|---|---|---|---|---|---|---|
| 50 cm | 150 cm | 10 cm | 20 cm | 40 cm | ||
| 2019年 | 43.1 | 42.6 | 12.2 | 12.4 | 12.4 | |
| 生长季 | 45.3 | 44.7 | 20 | 19.8 | 19.2 | |
图7为2019年美域酒庄四季典型晴天不同高度空气相对湿度日变化。可以看出,四季典型晴天两高度空气相对湿度差值均甚小,冬、春季典型晴天空气相对湿度呈“V”型曲线变化,夏、秋季呈“ S”型曲线变化。冬、春、夏季两高度空气相对湿度最大值均出现在00:00(北京时,下同)前后,而秋季出现在19:00;冬、秋季空气相对湿度最小值出现在06:00前后,春、夏季出现在09:00左右。四季典型晴天均表现为平均50 cm高度空气相对湿度略高于150 cm。秋季典型晴天平均空气相对湿度最大(72%),春季最小(11%)。
图7
图7
2019年美域酒庄冬季(a)、春季(b)、夏季(c)和秋季(d)典型晴天不同高度空气相对湿度日变化
Fig.7
The diurnal variation of air relative humidity at different altitudes at Meiyu Winery on a typical sunny day in winter (a), spring (b), summer (c) and autumn (d) of 2019
3.2.2 地温
2019年美域酒庄月平均10、20和40 cm地温(图8)均呈单峰型分布,3个深度月平均值均表现为7月最大, 1月最小,2月3个深度基本相等。2019年地温大小表现为40 cm≈20 cm>10 cm,差值极小;2019年生长季其大小表现为10 cm>20 cm>40 cm。
图8
图8
2019年美域酒庄不同深度月平均地温变化
Fig.8
The variation of monthly average soil temperature at different depthes at Meiyu Winery in 2019
2019年美域酒庄四季典型晴天不同深度地温日变化(图9)呈单峰型,10 cm地温日波动幅度最大、20 cm次之、40 cm最平稳;同一天随土层深度增加,最大、最小值出现时间不断延后。地温均是夏季典型晴天最高,冬季典型晴天最低;日平均地温秋、冬季典型晴天表现为10 cm<20 cm<40 cm,春、夏季典型晴天表现为10 cm>20 cm>40 cm。
图9
图9
2019年美域酒庄冬季(a)、春季(b)、夏季(c)和秋季(d)典型晴天不同深度地温日变化
Fig.9
The diurnal variation of soil temperature at different depths at Meiyu Winery on a typical sunny day in winter (a), spring (b), summer (c) and autumn (d) of 2019
3.3 同一气候区地形小气候
3.3.1 逐月变化
图10为处于坡顶的中粮长城云漠酒庄、山前的留世酒庄、轩尼诗酒庄、玉泉国际酒庄小气候站海拔高度分布。下面将对比分析同一气候区不同海拔高度的4个酒庄小气候站间气象要素的变化特征。
图10
2019年同一气候区4站月平均气温变化[图11(a)]均呈单峰型,最高值出现在7月,最低值出现在1月,且4站每月平均气温相差甚小;2019年及其生长季平均气温均表现为中粮长城云漠酒庄>轩尼诗酒庄>玉泉国际酒庄>留世酒庄(表5)。2019年同一气候区4站月平均空气相对湿度变化[图11(b)]均表现为“ S”曲线,最大值出现在9月,最小值出现在3月,2019年及其生长季平均空气相对湿度表现为玉泉国际酒庄>留世酒庄>轩尼诗酒庄>中粮长城云漠酒庄,山上高海拔酒庄空气相对湿度最小,最低处酒庄空气相对湿度最大。月平均风速变化[图11(c)]显示,4站均呈“N”型曲线,月平均风速最大值出现在4月,最小值出现在9月,且整体上中粮长城云漠酒庄最大、留世酒庄最小;2019年及其生长季平均风速均表现为中粮长城云漠酒庄>轩尼诗酒庄>玉泉国际酒庄>留世酒庄,中粮长城云漠酒庄海拔最高,风速最大,而留世酒庄地势低洼,风速最小。4站月降水量变化[图11(d)]基本呈单峰型正态分布,降水量均集中在生长季。4站月降水日数变化[图11(e)]均呈双峰型,峰值集中在夏、秋季。2019年及其生长季降水量均表现为留世酒庄>中粮长城云漠酒庄>玉泉国际酒庄>轩尼诗酒庄;生长季降水日数表现为玉泉国际酒庄>中粮长城云漠酒庄=轩尼诗酒庄>留世酒庄,而2019年降水日数则表现为玉泉国际酒庄>中粮长城云漠酒庄>轩尼诗酒庄=留世酒庄。
图11
图11
2019年同一气候区各酒庄月平均气温(a)、150 cm空气相对湿度(b)、风速(c)和月降水量(d)、降水日数(e)变化
Fig.11
The variation of monthly average temperature (a), 150 cm air relative humidity (b) and wind speed (c), monthly precipitation (d) and precipitation days (e) at each winery in the same climate zone in 2019
表5 2019年及其生长季同一气候区各酒庄气象要素
Tab.5
| 时间 | 酒庄 | 平均气温/ ℃ | 平均空气 相对湿度/% | 降水量/ mm | 降水日数/ d | 平均风速/ (m·s-1) |
|---|---|---|---|---|---|---|
| 2019年 | 中粮长城云漠酒庄 | 11.3 | 40.3 | 135.5 | 43 | 2.5 |
| 轩尼诗酒庄 | 10.9 | 44.5 | 39.5 | 47 | 1.9 | |
| 玉泉国际酒庄 | 10.2 | 46.9 | 126.2 | 45 | 1.8 | |
| 留世酒庄 | 10.1 | 46.0 | 151.8 | 43 | 1.7 | |
| 生长季 | 中粮长城云漠酒庄 | 19.2 | 42.9 | 134.9 | 39 | 2.6 |
| 轩尼诗酒庄 | 18.8 | 48.6 | 38.5 | 43 | 1.8 | |
| 玉泉国际酒庄 | 18.3 | 51.4 | 125.8 | 41 | 1.8 | |
| 留世酒庄 | 18.4 | 49.6 | 151.4 | 41 | 1.6 |
3.3.2 日变化
图12为2019年同一气候区4个酒庄四季典型晴天气温日变化。可以看出,气温日变化在秋、冬季典型晴天呈单峰型,春、夏季典型晴天呈近似“N”型分布,夏季典型晴天平均气温最高,冬季最低。冬季典型晴天气温最高值均出现在08:00,日平均气温表现为中粮长城云漠酒庄>轩尼诗酒庄>留世酒庄>玉泉国际酒庄。春季典型晴天气温日变化趋势4站基本一致: 00:00—12:00先增大后减小, 其中09:00最大, 12:00之后各站均有波动。波动最大的是留世,最小的是玉泉国际,由于各酒庄海拔、土壤类型不同,最低气温出现时间先后也不一,留世酒庄、轩尼诗酒庄、玉泉国际酒庄、中粮长城云漠酒庄分别出现在19:00、22:00、21:00和20:00。夏季典型晴天气温日变化4站均呈“N”型分布。秋季典型晴天4站气温在16:00前均呈单峰型分布,16:00之后表现为降低趋势,4站日平均气温表现为中粮长城云漠酒庄>玉泉国际酒庄>轩尼诗酒庄>留世酒庄,高海拔中粮长城酒庄基地土壤的砾石含量超过60%,其气温最高,而低海拔留世酒庄土壤含砾石量不到10%,其气温最低,砾石含量是两园地气温相差显著的主要原因。
图12
图12
2019年同一气候区4个酒庄冬季(a)、春季(b)、夏季(c)和秋季(d)典型晴天气温日变化
Fig.12
The diurnal variation of air temperature on a typical sunny day in winter (a), spring (b), summer (c) and autumn (d) of 2019 at four wineries in the same climate zone
图13为2019年同一气候区4个酒庄四季典型晴天空气相对湿度日变化。可以看出,日平均空气相对湿度秋季典型晴天最大,春季典型晴天最小。冬季典型晴天日平均空气相对湿度表现为玉泉国际酒庄>留世酒庄>轩尼诗酒庄>中粮长城云漠酒庄,一天中最小值和最大值分别出现在07:00和00:00左右;春季典型晴天空气相对湿度日变化呈“V”型,4站日平均空气相对湿度表现为玉泉国际酒庄>留世酒庄>轩尼诗酒庄>中粮长城云漠酒庄,最小值均出现在10:00,10:00之后呈上升态势,且有波动,空气相对湿度最大值出现时间随酒庄海拔高度的升高依次延后;夏季典型晴天空气相对湿度日变化呈“ S”型,与气温有着相反的变化趋势;秋季典型晴天日平均空气相对湿度表现为留世酒庄>轩尼诗酒庄>玉泉国际酒庄>中粮长城云漠酒庄。
图13
图13
2019年同一气候区4个酒庄冬季(a)、春季(b)、夏季(c)和秋季(d)典型晴天150 cm空气相对湿度日变化
Fig.13
The diurnal variation of 150 cm air relative humidity on a typical sunny day in winter (a), spring (b), summer (c) and autumn (d) of 2019 at four wineries in the same climate zone
图14为2019年同一气候区4个酒庄四季典型晴天平均风速日变化。可以看出,小时平均风速春季典型晴天波动最大,秋季典型晴天波动最小,各酒庄日平均风速有明显差异。
图14
图14
2019年同一气候区4个酒庄冬季(a)、春季(b)、夏季(c)和秋季(d)典型晴天平均风速日变化
Fig.14
The diurnal variation of average wind speed on a typical sunny day in winter (a), spring (b), summer (c) and autumn (d) of 2019 at four wineries in the same climate zone
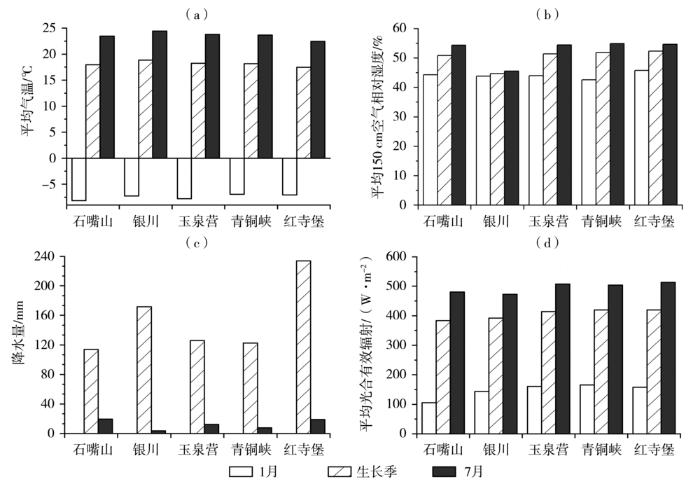
3.4 不同产区酒庄小气候
对比分析石嘴山产区(贺东庄园)、银川产区(美域酒庄)、玉泉营产区(玉泉国际酒庄)、青铜峡产区(御马酒庄)和红寺堡产区(东方裕兴酒庄)5个酒庄1月、7月以及生长季平均气温[图15(a)]、降水量[图15(b)]、平均空气相对湿度[图15(c)]和光合有效辐射[图15(d)]。可以看出,1月平均气温石嘴山产区最低(-8.1 ℃),青铜峡产区最高(-6.9 ℃);7月平均气温银川产区最高(24.4 ℃),红寺堡产区最低(22.4 ℃);生长季平均气温为17.5~18.9 ℃,银川产区最高、红寺堡产区最低。平均空气相对湿度5产区整体趋势一致,均为7月最大、生长季次之、1月最小,其中红寺堡产区1月平均空气相对湿度最大(45.79%),青铜峡产区最小(42.58%);生长季平均空气相对湿度表现为红寺堡产区>青铜峡产区>玉泉营产区>石嘴山产区>银川产区。1月各产区均未降水;红寺堡产区生长季降水量最多(234 mm)、银川产区次之(171.5 mm)、石嘴山产区最少(113.7 mm)。生长季平均光合有效辐射表现为红寺堡产区>青铜峡产区>玉泉营产区>银川产区>石嘴山产区,变化范围为383~420 W·m-2。
图15
图15
不同气候区2019年1月、7月、生长季平均气温(a)、150 cm空气相对湿度(b)、降水量(c)和平均光合有效辐射(d)
Fig.15
The average temperature (a), 150 cm air relative humidity (b), precipitation amount (c) and average photosynthetically active radiation (d) in January, July and growing season in 2019 in different climate regions
4 讨论
李颖等[24]曾在研究“台田-浅池系统”小气候温度特征时通过方差分析对比大气监测站和小气候站气温变化特征,认为小气候站数据更具有代表性,本文结论与其一致。陈进等[25]分析黔中地区不同林龄马尾松小气候特征发现地温随土层深度的增加而减小;空气相对湿度随高度的增加有减小趋势,且不同高度相对湿度相差较小;本文结论与其一致。同一气候区葡萄园小气候变化与葡萄园地势、海拔及土壤类型有关。土壤类型以及土壤质地对葡萄园小气候起决定性作用[26]。苏宏新等[27]在山地小气候模拟研究进展中综合国内外学者在不同地势、海拔的小气候特征,通过海拔和地势对气候的影响模拟山地小气候,结果表明不同地形和海拔高度对小气候有一定影响,本文分析的结果与其一致。不同产区葡萄园小气候各不相同,这与葡萄园的地理位置和地形有关。宁夏贺兰山东麓地形复杂,由北至南气温降低,降水逐渐减少,空气相对湿度和光合有效辐射逐渐增大[28]。
5 结论
(1)葡萄园小气候与同气候带银川站的气象要素变化有一定差异,各气象要素日、季节和生长季变化存在显著差异。
(2)贺兰山东麓葡萄园地温随土层深度的增加而减小;空气相对湿度随垂直高度的增加而降低,但50 cm、150 cm两高度相差较小。
(3)同一气候区葡萄园随海拔升高,风速增大,空气相对湿度减小;降水与葡萄园位置有关,处于山前的留世酒庄葡萄园降水最多,处于坡顶的中粮长城云漠酒庄降水最少;园地砾石含量越多,其吸热、散热越多,气温相对越高。
(4)贺兰山东麓5个产区葡萄园由南至北降水量、150 cm空气相对湿度和光合有效辐射逐渐减小,气温逐渐升高。
参考文献
Field microclimate and yield for proso millet intercropping with mung bean in the dryland of Loess Plateau,Northwest China
[J].
Microclimate characteristics and evapotranspiration estimates of cucumber plants in a newly developed sunken solar greenhouse
[J].
Does microclimate under grey hail protection net affect biological and nutritional properties of ‘Duke’ highbush blueberry (Vaccinium corymbosum L.)
[J].
/
| 〈 |
|
〉 |
