干旱气象 ›› 2023, Vol. 41 ›› Issue (1): 34-42.DOI: 10.11755/j.issn.1006-7639(2023)-01-0034

• 论文 • 上一篇    下一篇

西北干旱区乌鲁木齐河流域植被生长季降水特征分析

邢红艳1,2(), 何清2,3(), 普宗朝4, 王国胜1,2, 金晨5   

  1. 1.新疆师范大学地理科学与旅游学院,新疆 乌鲁木齐 830054
    2.中国气象局乌鲁木齐沙漠气象研究所,新疆 乌鲁木齐 830002
    3.中国气象局阿克达拉大气本底野外科学试验基地,新疆 阿勒泰 836500
    4.新疆维吾尔自治区乌鲁木齐市气象局,新疆 乌鲁木齐 830002
    5.新疆大学地理科学学院, 新疆 乌鲁木齐 830046
  • 收稿日期:2022-05-16 修回日期:2022-07-26 出版日期:2023-02-28 发布日期:2023-02-28
  • 通讯作者: 何清(1965—),男,研究员,主要从事沙漠气象、陆面过程研究。E-mail: qinghe@idm.cn
  • 作者简介:邢红艳(1998—),女,硕士研究生,研究方向为干旱区环境演变。E-mail: xhy_625@163.com
  • 基金资助:
    第二次青藏高原综合科学研究项目(2019QZKK010206)

Analysis of precipitation characteristics during the vegetation growth season in the Urumqi River Basin in arid region of northwest China

XING Hongyan1,2(), HE Qing2,3(), PU Zongchao4, WANG Guosheng1,2, JIN Chen5   

  1. 1. College of Geography Science & Tourism, Xinjiang Normal University, Urumqi 830054, China
    2. Institute of Desert Meteorology, China Meteorological Administration, Urumqi 830002, China
    3. Field Scientific Experiment Base of Akdala Atmospheric Background, China Meteorological Administration, Altay 836500, Xinjiang, China
    4. Urumqi Meteorological Bureau of Xinjiang Uygur Autonomous Region, Urumqi 830002, China
    5. College of Geographical Science, Xinjiang University, Urumqi 830046, China
  • Received:2022-05-16 Revised:2022-07-26 Online:2023-02-28 Published:2023-02-28

摘要:

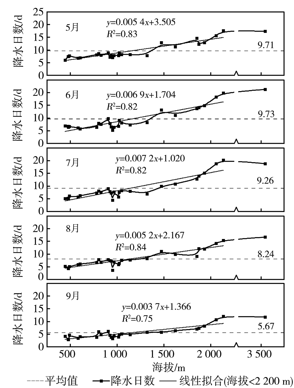
根据乌鲁木齐河流域7个国家气象站和20个自动气象站2013—2021年植被生长季(5—9月)逐日降水量资料,分析植被生长季乌鲁木齐河流域降水量、降水日数、不同量级降水及其贡献率随海拔变化特征,以期为流域的水资源利用、生态环境治理及保护提供一定参考。结果表明:乌鲁木齐河流域植被生长季降水量和降水日数均随海拔升高呈波动增加趋势,分别以17.4 mm·(100 m)-1、2.85 d·(100 m)-1速率增加,其中生长季降水量以海拔1 000 m左右为分界,海拔依赖性由弱转强,在海拔约1 200 m和2 000 m出现降水高值带,并且降水高值带呈现由低海拔山地逐渐抬升至中高山带而后回落的变化规律;降水日数高值地带始终在中高山带(海拔高于1 800 m),且具有较强稳定性。植被生长季降水日数与降水量的月际特征有较好的一致性,均随海拔升高而增加,海拔2 200 m以下区域,6月的降水量和7月的降水日数随海拔升高增速最显著,分别以4.8 mm·(100 m)-1、0.72 d·(100 m)-1的速率增加,二者均在9月增速最不显著,分别为1.1 mm·(100 m)-1、0.37 d·(100 m)-1。流域植被生长季仅小雨、中雨和大雨发生次数具有较强的海拔依赖性且不同强度降水的贡献率与海拔无明显关联。

关键词: 乌鲁木齐河流域, 降水量, 降水日数, 降水强度

Abstract:

Based on the daily precipitation data of 7 national meteorological stations and 20 automatic meteorological stations in the Urumqi River Basin during the vegetation growth season from May to September) from 2013 to 2021, the variation characteristics of precipitation, precipitation days, precipitation with different levels and their contribution rates to total precipitation with altitude are analyzed. It is expected to provide some references for water resources utilization, eco-environmental treatment and protection in the basin. The results show that both precipitation and precipitation days in the Urumqi River Basin presented a fluctuating and increasing trend with elevation at a rate of 17.4 mm·(100 m)-1 and 2.85 d·(100 m)-1, respectively, and the dependence on altitude changed from weak to strong with an altitude of about 1 000 m as a boundary. The high precipitation zones appear in the elevation about 1 200 m and 2 000 m and show a rule of gradual rise from the lower mountain area to the mid-alpine zone and then fall back. The high values of precipitation days are stability and always in the mid-alpine zone (above 1 800 m). The monthly variation characteristics of precipitation days and precipitation in the vegetation growth season are in good agreement, and both are increasing with elevation. In areas below 2 200 m, precipitation in June and precipitation days in July increased most significantly with elevation at a rate of 4.8 mm·(100 m)-1 and 0.72 d·(100 m)-1, and in September the increasing rate of both are 1.1 mm·(100 m)-1 and 0.37 d·(100 m)-1, respectively. The occurring times of light moderate and heavy rainfall in the growth season of vegetation is strongly altitude-dependent and the contribution rate of precipitation with different levels is not significantly correlated with altitude.

Key words: the Urumqi River Basin, precipitation, precipitation days, precipitation intensity

中图分类号: