基于ERA5降水数据的精细化干旱指数在黄河中上游地区的适用性评估 |
| 尹喆, 颜鹏程, 左冬冬, 李淑萍 |
|
Assessment of applicability of a refined drought index based on ERA5 precipitation data for the middle and upper reaches of the Yellow River |
| YIN Zhe, YAN Pengcheng, ZUO Dongdong, LI Shuping |
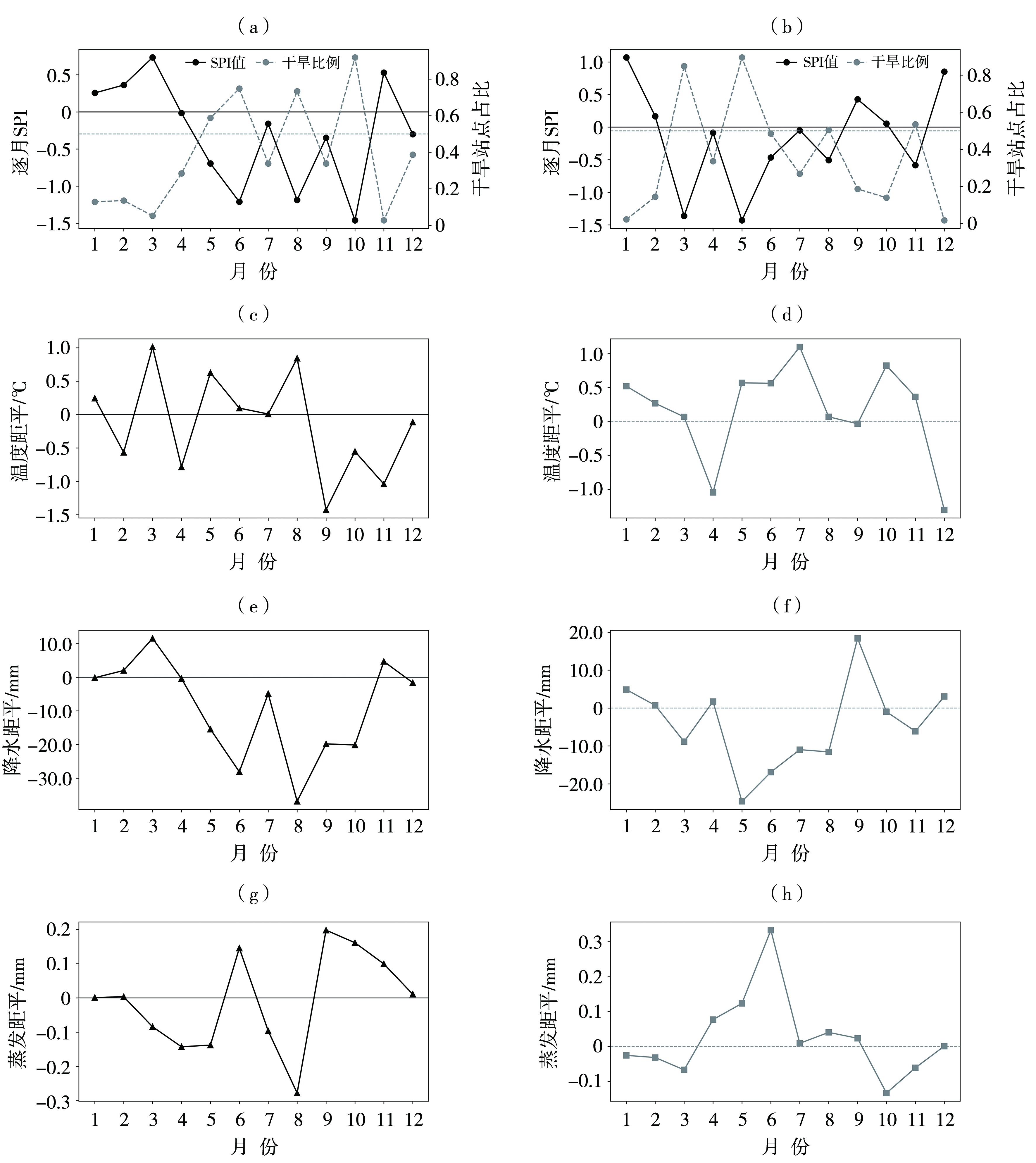
| 图3 1997(a、c、e、g)、2001(b、d、f、h)年黄河中上游地区SPI月均值与轻旱以上等级站点占比(a、b)及温度(c、d)、降水(e、f)和蒸发(g、h)的距平 |
| Fig.3 Monthly mean SPI and the percentage of stations with mild drought or above (a,b),and the anomalies of temperature (c,d),precipitation (e,f),and evaporation (g,h) in the middle and upper reaches of the Yellow River in 1997 (a,c,e,g) and 2001 (b,d,f,h) |
|