多模式动态融合订正方法在青海省大到暴雨预报中的应用与分析 |
| 王倩, 李静, 张青梅, 李金海, 扎西才让, 祁万鹏 |
|
Application and analysis of multi-model synamic fusion correction method in heavy to rainstorm forecast in Qinghai Province |
| WANG Qian, LI Jing, ZHANG Qingmei, LI Jinhai, ZHAXI Cairang, QI Wanpeng |
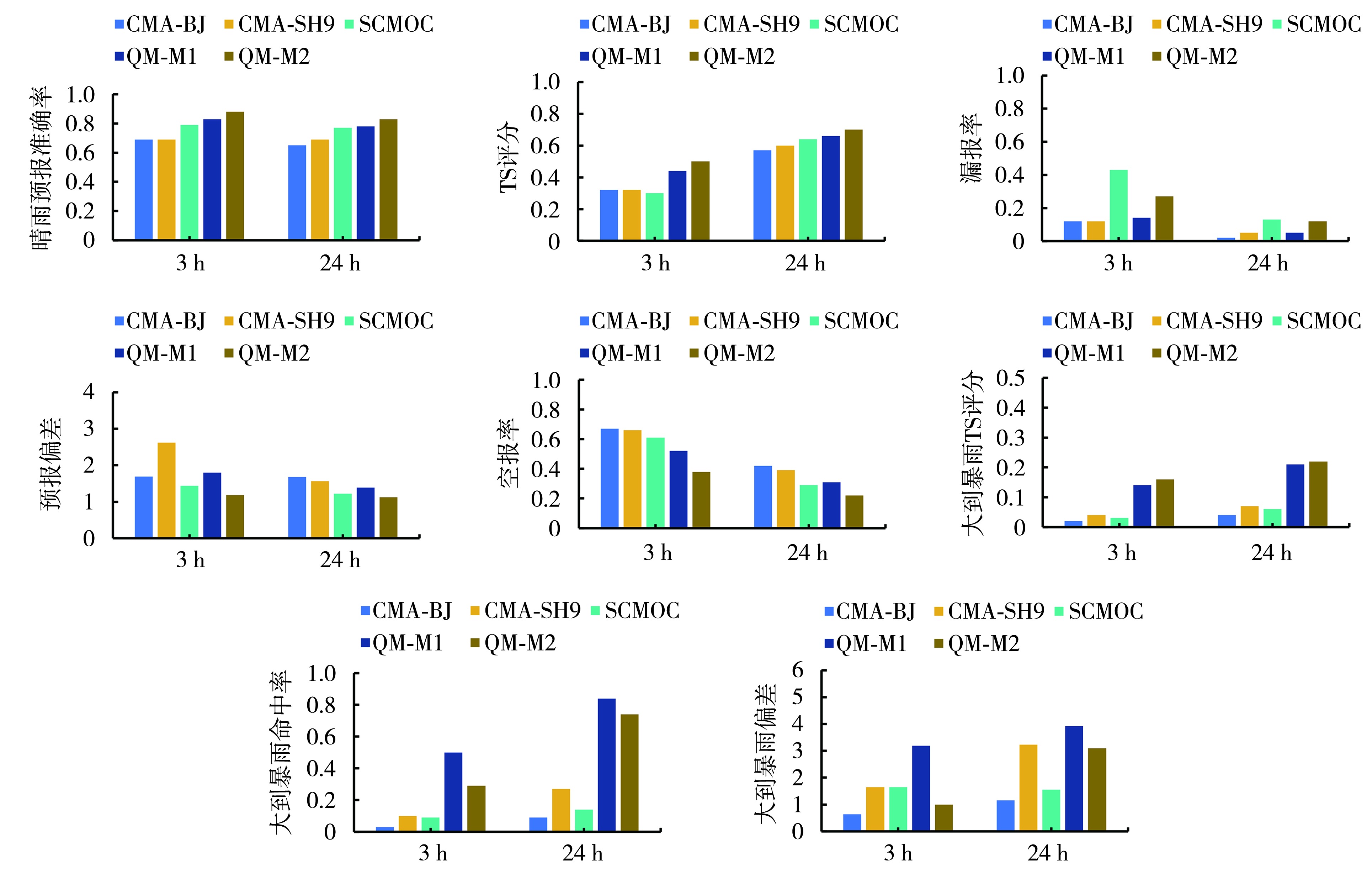
| 图6 青海省2023年7—9月不同预报产品未来24 h时效的3 h和24 h累计降水预报综合检验 |
| Fig.6 Comprehensive verification of 3-hourly and 24-hour cumulative precipitation forecasts at 24-hour lead time from multiple forecast products in Qinghai Province from July to September 2023 |
|