甘肃康县气候康养资源特征评估 |
| 鲍丽丽, 程鹏, 尹春, 张熙, 赵文婧, 郭艺婷, 李晓琴, 张玥 |
|
Assessment of characteristics of climate-based wellness resources in Kangxian County |
| BAO Lili, CHENG Peng, YIN Chun, ZHANG Xi, ZHAO Wenjing, GUO Yiting, LI Xiaoqin, ZHANG Yue |
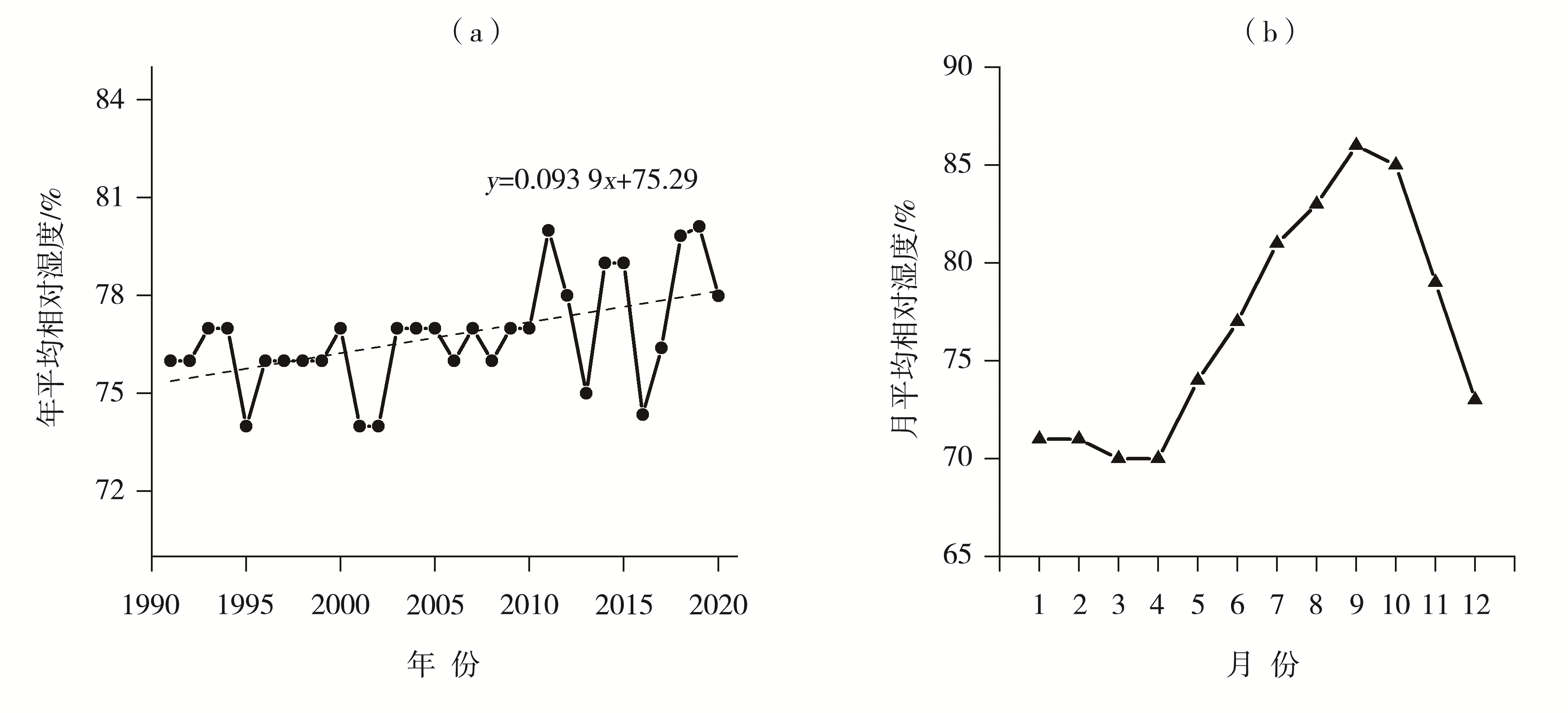
| 图8 1991—2020年康县平均相对湿度年际变化(a)和月际变化(b) |
| Fig.8 Inter-annual (a) and monthly (b) variation of average relative humidity in Kangxian County from 1991 to 2020 |
|