近62 a甘肃极端降水特征及其关键影响因子 |
| 王鑫, 杨金虎, 王朋岭, 黄鹏程, 卢国阳, 胡婕 |
|
Spatial-temporal variation of extreme precipitation and its key influencing factors in Gansu Province over the past 62 years |
| WANG Xin, YANG Jinhu, WANG Pengling, HUANG Pengcheng, LU Guoyang, HU Jie |
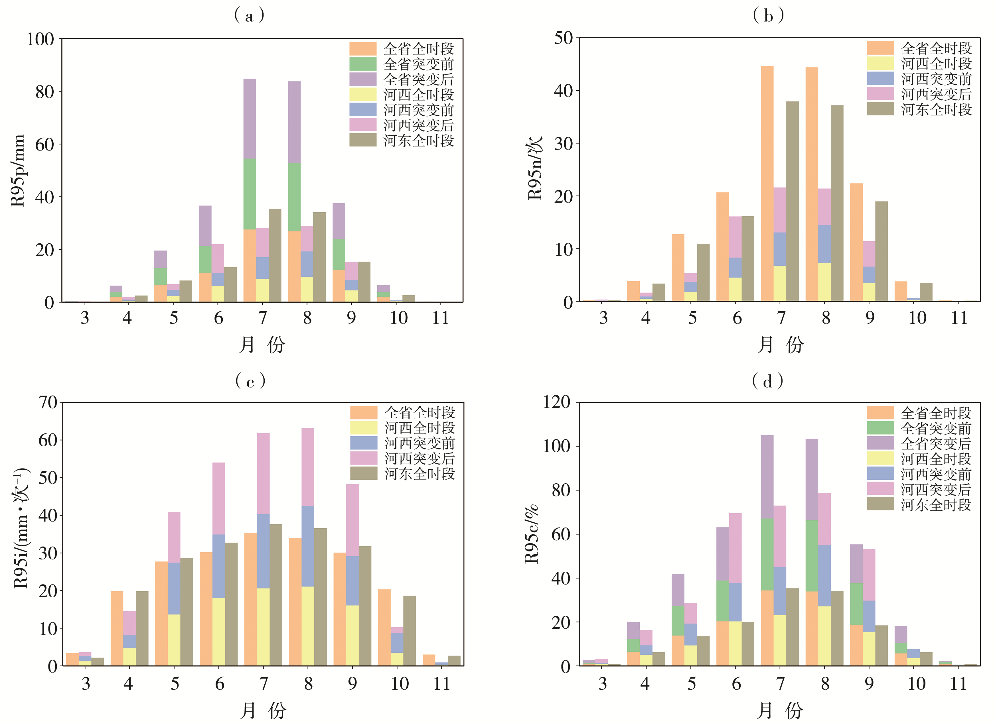
| 图3 1961—2022年甘肃强降水事件降水总量(a)、频次(b)、强度(c)和贡献率(d)及其突变前后逐月分布特征 |
| Fig.3 Monthly variations of R95p (a), R95n (b), R95i (c) and R95c (d) during 1961-2022 and before and after their abrupt changes in Gansu Province |
|