四川省极端气温事件与城镇化发展的关联影响 |
| 杨静坤, 李谢辉, 雷沁雅, 龚光泽 |
|
Correlation impact of extreme temperature events and urbanization development in Sichuan Province |
| YANG Jingkun, LI Xiehui, LEI Qinya, GONG Guangze |
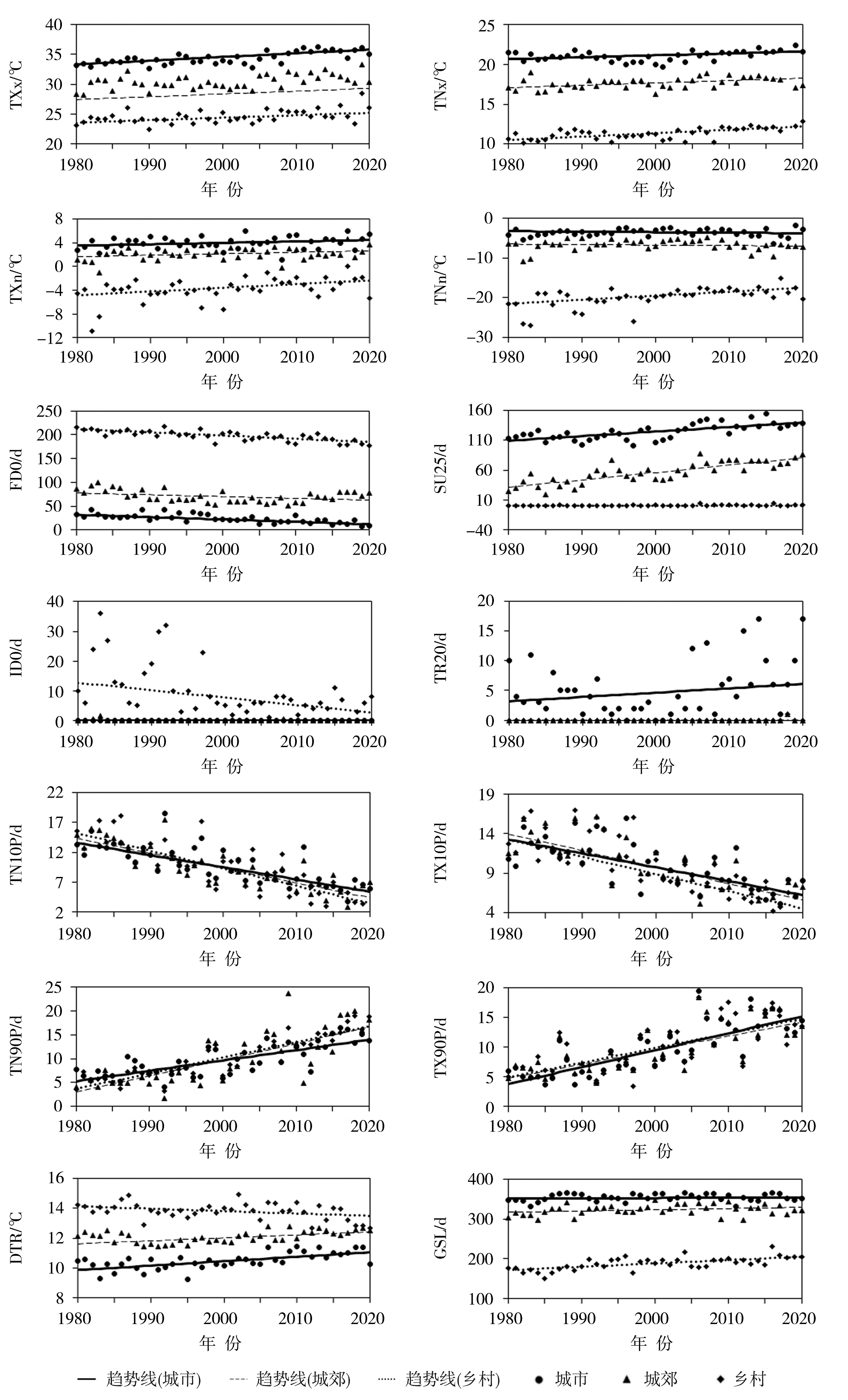
| 图3 四川省1980—2020年3类气象站点极端气温指数年际变化趋势 |
| Fig.3 Interannual change trends of extreme temperature indices in three types of meteorological stations in Sichuan Province during 1980-2020 |
|