2021年7—8月四川盆地高温热浪大气环流背景及影响分析 |
| 于浩慧, 周长艳, 陈超, 陈永仁 |
|
Analysis of atmospheric circulation background and main impacts of heatwave in Sichuan Basin from July to August 2021 |
| YU Haohui, ZHOU Changyan, CHEN Chao, CHEN Yongren |
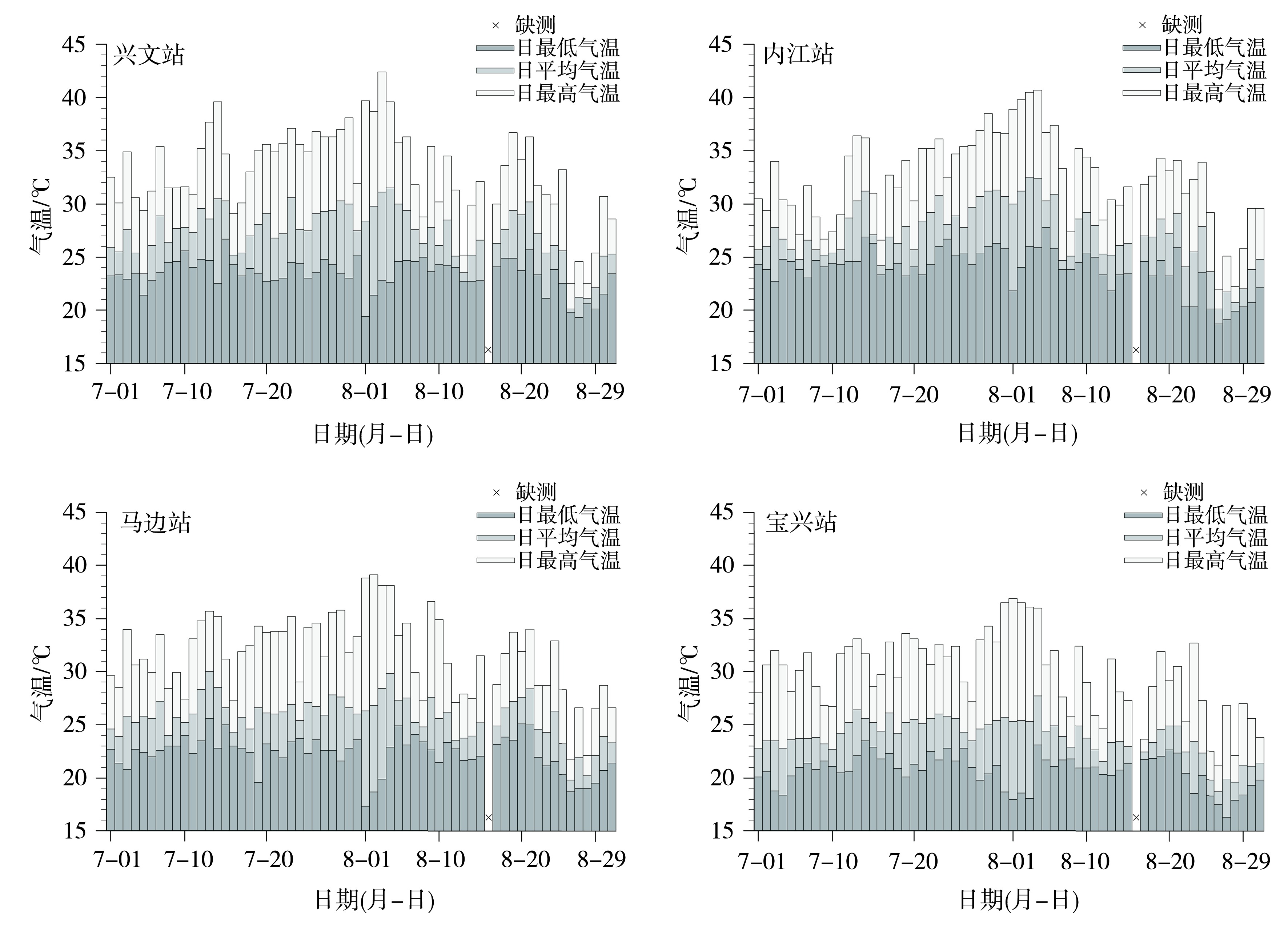
| 图4 2021年7—8月四川各代表站日最高气温、平均气温、最低气温时间序列 |
| Fig.4 The daily maximum, average and minimum temperature time series at representative stations in Sichuan from July to August of 2021 |
|