三种气温插补方法在中国西南地区的应用分析 |
| 盖长松, 曹丽娟, 阳园燕 |
|
The application of three interpolation methods to temperature in southwestern China |
| GAI Changsong, CAO Lijuan, YANG Yuanyan |
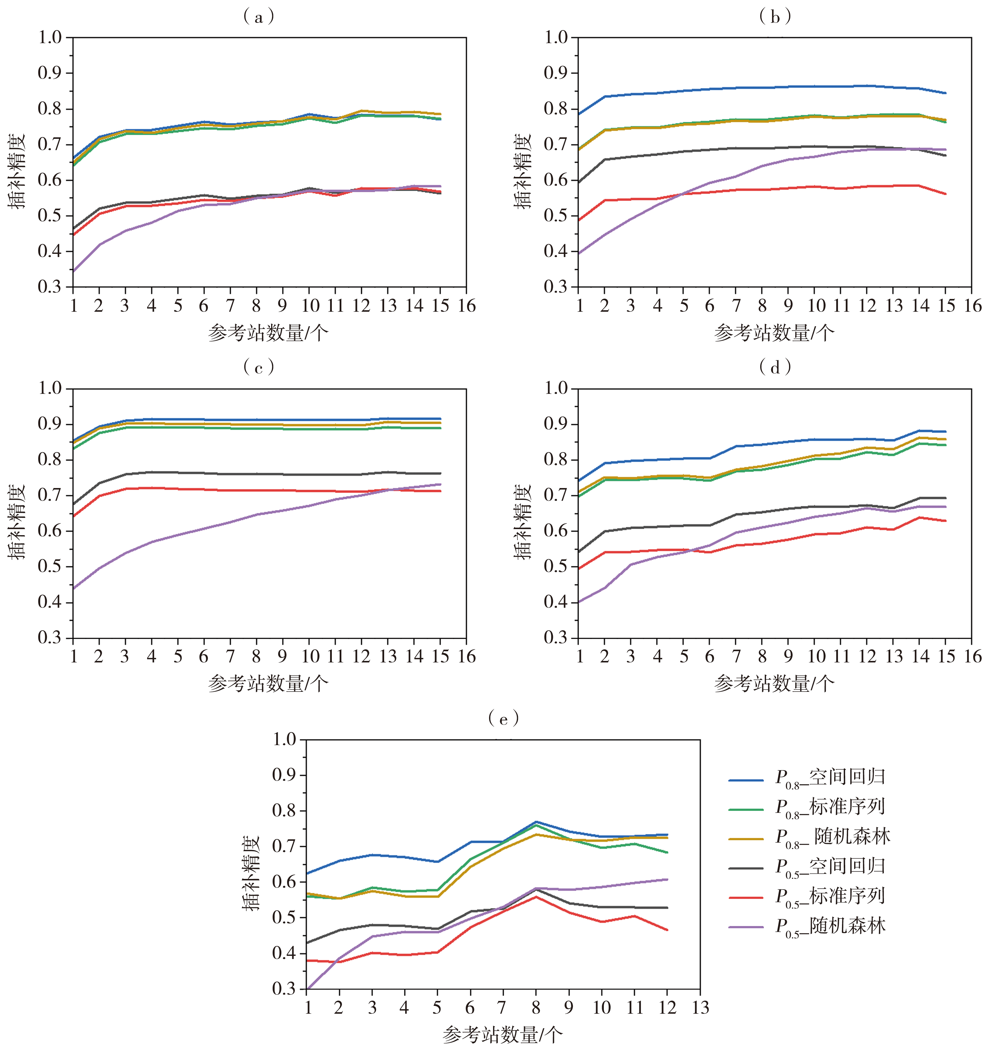
| 图3 1970—2020年中国西南地区5个气候区日平均气温3种方法插补精度与参考站数量的关系 (a)滇西山地滇中高原,(b)贵州高原山地,(c)四川盆地,(d)湘鄂西山地,(e)川西南滇北山地 |
| Fig.3 The relation between the accuracy of daily mean temperature interpolated by three methods and numbers of reference stations in five climatic divisions in southwestern China from 1970 to 2020 (a) western Yunnan mountains and central Yunnan plateau, (b) mountainous region of Guizhou plateau, (c) Sichuan Basin, (d) mountainous region of western Hunan and western Hubei, (e) mountainous region of southwestern Sichuan and northern Yunnan |
|