基于飞机探测的华北南部低槽冷锋云系宏微物理结构特征 |
| 付娇, 王姝怡, 董晓波, 王晓青, 杨佳帅, 张健南 |
|
Macro and micro physical structure characteristics of a low trough cold front cloud system in southern North China based on aircraft detection |
| FU Jiao, WANG Shuyi, DONG Xiaobo, WANG Xiaoqing, YANG Jiashuai, ZHANG Jiannan |
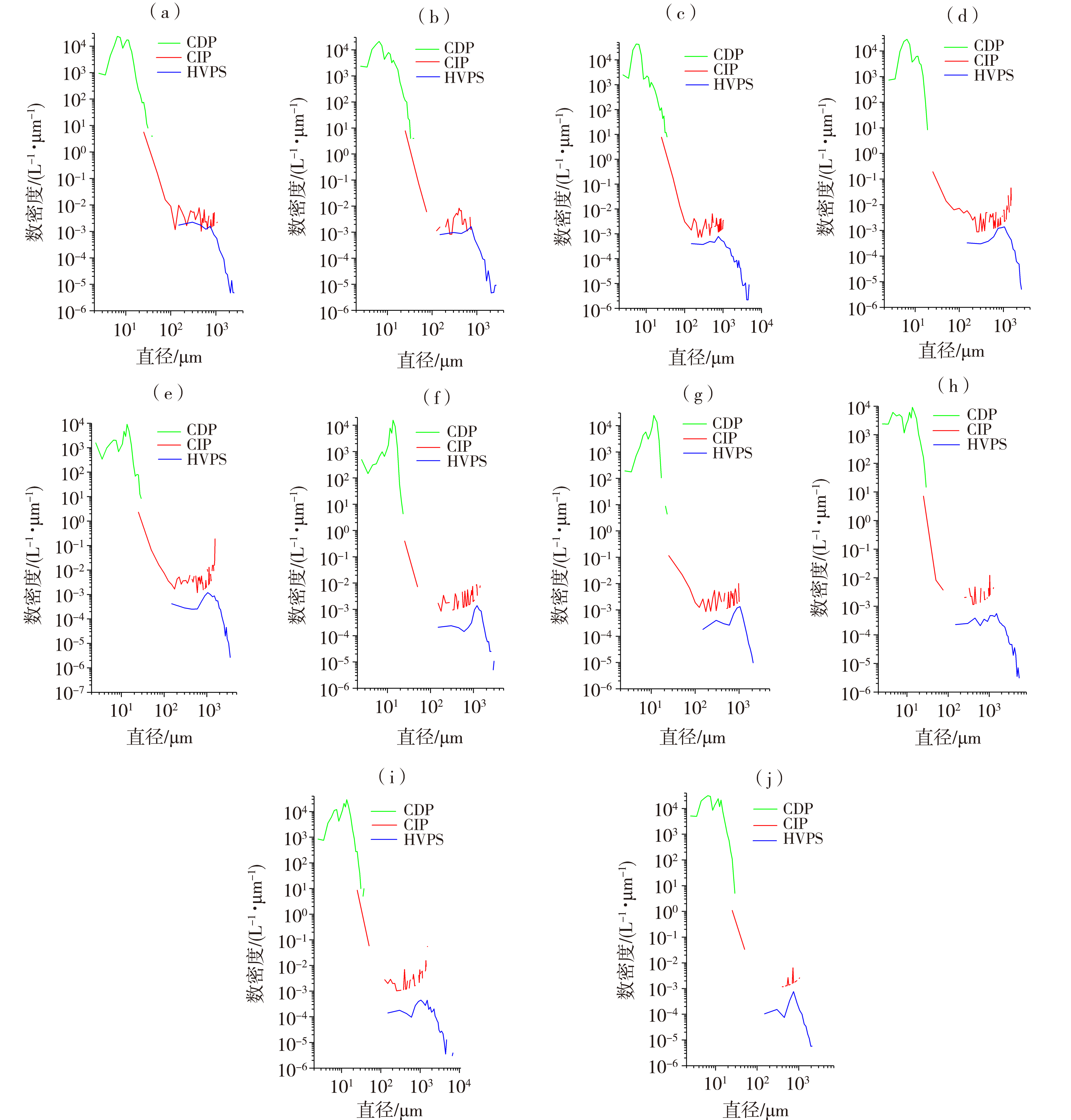
| 图6 不同高度层3种探头探测的粒子谱 (a)5 802 m,(b)5 714 m,(c)5 541 m,(d)4 651 m,(e)4 472 m,(f)4 206 m,(g)4 025 m,(h)1 387 m,(i)1 249 m,(j)997 m |
| Fig.6 The particle spectrum detected by three types of probe at different level (a) 5 802m, (b) 5 714 m, (c) 5 541 m, (d) 4 651 m, (e) 4 472 m, (f) 4 206 m, (g) 4 025 m, (h)1 387 m, (i) 1 249 m, (j) 997 m |
|