基于毫米波云雷达的黄河流域内蒙古段云宏观特征分析 |
| 李慧, 郑旭程, 苏立娟, 辛悦, 张杰 |
|
Statistical analysis of cloud macrophysical characteristics in the Inner Mongolia section of the Yellow River Basin based on millimeter-wave cloud radar |
| LI Hui, ZHENG Xucheng, SU Lijuan, XIN Yue, ZHANG Jie |
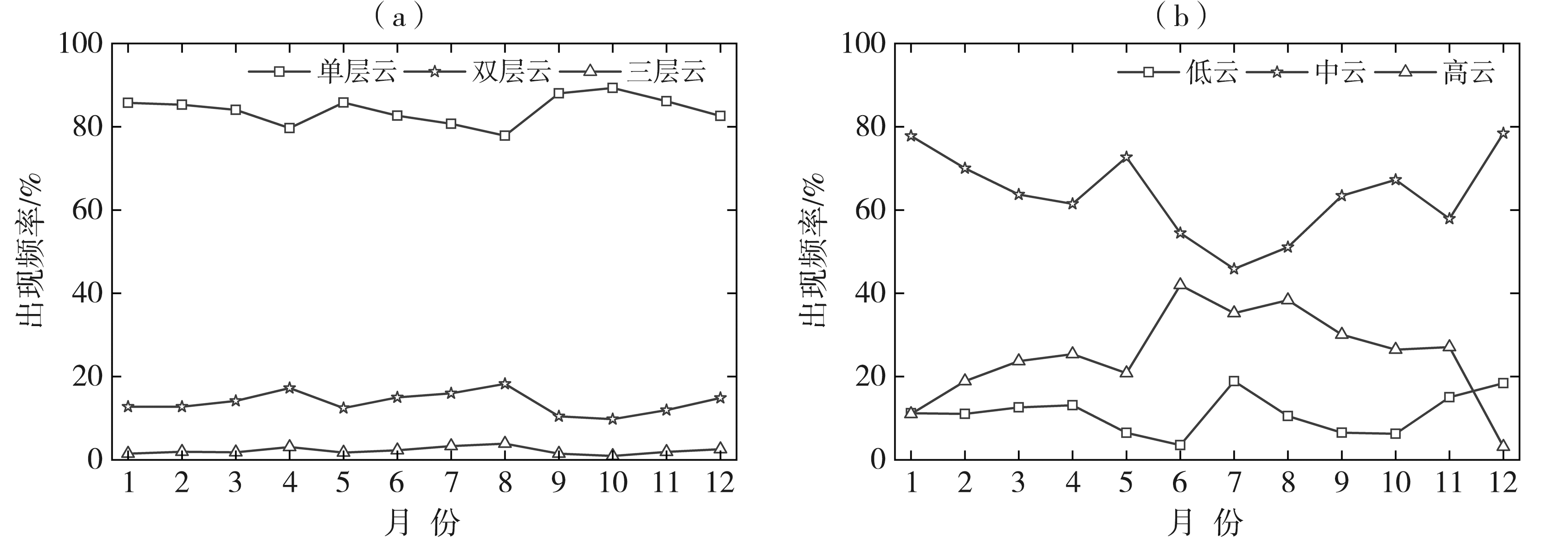
| 图2 2020年8月至2021年7月呼和浩特不同层数(a)、不同类型(b)云出现频率的月际变化 |
| Fig.2 Monthly variation of occurrence frequency of clouds with different layers (a) and types (b) in Hohhot from August 2020 to July 2021 |
|