四川地区气温转折过程2 m温度变化订正研究 |
| 冯良敏, 周秋雪, 曹萍萍, 王佳津 |
|
Study of 2 m temperature variation correction during transitional processes of temperature in Sichuan |
| FENG Liangmin, ZHOU Qiuxue, CAO Pingping, WANG Jiajin |
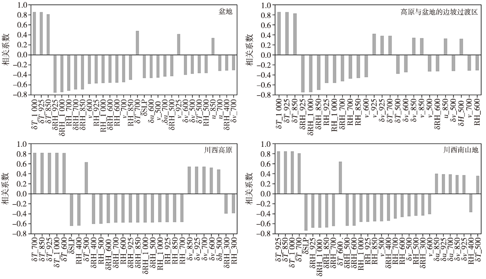
| 图5 四川不同区域与最高温度变化相关系数绝对值达0.3以上的特征因子分布 (横坐标轴δH表示位势高度变化场,δT表示温度变化场,RH和δRH分别表示湿度场及其变化场,u、v和δu、δv分别表示u、v风场及其变化场,短划线后面的数字表示所在的位势高度层次,δSLP表示海平面24 h变压) |
| Fig.5 The distribution of characteristic factors with the absolute value of correlation coefficients over 0.3 between maximum temperature change and characteristic factors in different regions of Sichuan Province (The horizontal axis δH represents the potential height variation field, δT represents the temperature variation field, RH and δRH represent the humidity field and its variation field, respectively, u, v and δu, δv represent the wind fields and their variation fields, respectively, the numbers after the short line represent the geopotential height, δSLP represents the sea level pressure variation in 24 hours) |
|