有云条件下太阳辐射短临预报订正技术研究 |
| 达选芳, 李照荣, 王小勇, 刘抗, 邸燕君, 闫晓敏 |
|
Correction technology of short-time solar radiation forecast based on cloud cover |
| DA Xuanfang, LI Zhaorong, WANG Xiaoyong, LIU Kang, DI Yanjun, YAN Xiaomin |
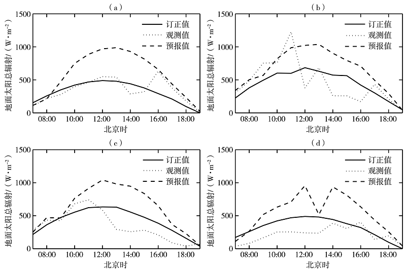
| 图6 2019年6月4日(a)、5日(b)、6日(c)、27日(d)典型云天下HK(b、c)和SY(a、d)光伏电站地面太阳总辐射预报及订正值与观测对比 |
| Fig.6 The comparison of surface total solar radiation forecast and its correction and the observation on typical cloudy days at HK (b, c) and SY (a, d) photovoltaic power stations of Gansu Province on 4 (a), 5 (b), 6 (c) and 27 (d) June 2019 |
|